²é¿´: 1514  |  »Ø¸´: 2

°®Ñ§Ï°µÄGG

ľ³æ (ÕýʽдÊÖ)

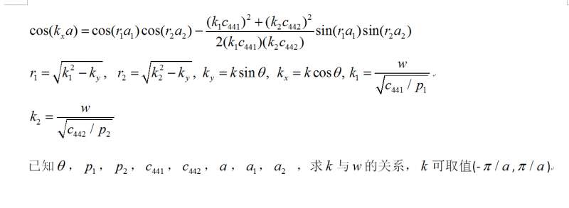
[ÇóÖú] ÇóMATLAB½âÒþº¯Êý·½³Ì ÒÑÓÐ1È˲ÎÓë

£¬ÇóÖúÓÃmatlabµÃµ½kºÍwµÄ¹ØÏµÍ¼

ÇóMATLAB½âÒþº¯Êý·½³Ì
ÉÏ´«.jpg
»Ø¸´´ËÂ¥

» ²ÂÄãϲ»¶

» ±¾Ö÷ÌâÏà¹Ø¼ÛÖµÌùÍÆ¼ö£¬¶ÔÄúͬÑùÓаïÖú:

ÒÑÔÄ   »Ø¸´´ËÂ¥   ¹Ø×¢TA ¸øTA·¢ÏûÏ¢ ËÍTAºì»¨ TAµÄ»ØÌû

°®Ñ§Ï°µÄGG

ľ³æ (ÕýʽдÊÖ)

2Â¥2017-03-05 00:34:51
ÒÑÔÄ   »Ø¸´´ËÂ¥   ¹Ø×¢TA ¸øTA·¢ÏûÏ¢ ËÍTAºì»¨ TAµÄ»ØÌû

chendequan

Ìú³æ (СÓÐÃûÆø)

¡¾´ð°¸¡¿Ó¦Öú»ØÌû

ÄÚÈÝÒÑɾ³ý
QQ£º516477448£¬ÕæÐİïÖú½â¾öMATLABÏà¹ØÎÊÌ⣬ÌṩÏêϸ×ÊÁÏ£¬WordÎĵµÃ÷È·¾ßÌåÎÊÌâ¼°ÒªÇ󣬾¡Á¦¶øÎª£¡
3Â¥2017-03-05 09:38:54
ÒÑÔÄ   »Ø¸´´ËÂ¥   ¹Ø×¢TA ¸øTA·¢ÏûÏ¢ ËÍTAºì»¨ TAµÄ»ØÌû
Ïà¹Ø°æ¿éÌø×ª ÎÒÒª¶©ÔÄÂ¥Ö÷ °®Ñ§Ï°µÄGG µÄÖ÷Ìâ¸üÐÂ
×î¾ßÈËÆøÈÈÌûÍÆ¼ö [²é¿´È«²¿] ×÷Õß »Ø/¿´ ×îºó·¢±í
[¿¼ÑÐ] ÇóÖú +3 ÃÎÀïµÄÎÞÑÔ 2026-03-21 4/200 2026-03-21 15:49 by Î޼ʵIJÝÔ­
[¿¼ÑÐ] Ò»Ö¾Ô¸Î÷°²½»Í¨´óѧ²ÄÁϹ¤³Ìרҵ 282·ÖÇóµ÷¼Á +8 ·ãÇÅZL 2026-03-18 10/500 2026-03-21 15:29 by Shawn0911
[¿¼ÑÐ] 22 350 ±¾¿Æ985Çóµ÷¼Á£¬ÇóÀϵÇÊÕÁô +3 ÀîéóÄÐ003 2026-03-20 3/150 2026-03-21 13:28 by ²«»÷518
[¿¼ÑÐ] Çóµ÷¼Á +3 °×QF 2026-03-21 3/150 2026-03-21 13:12 by zhukairuo
[¿¼ÑÐ] 330Çóµ÷¼Á0854 +3 assdll 2026-03-21 3/150 2026-03-21 13:01 by ²«»÷518
[¿¼ÑÐ] 299Çóµ÷¼Á +4 shxchem 2026-03-20 6/300 2026-03-21 11:54 by Î޼ʵIJÝÔ­
[¿¼ÑÐ] ²ÄÁÏѧѧ˶080502 337Çóµ÷¼Á-Ò»Ö¾Ô¸»ªÖпƼ¼´óѧ +4 ˳˳˳mr 2026-03-18 5/250 2026-03-21 10:22 by luoyongfeng
[¿¼ÑÐ] Çóµ÷¼Á +6 Mqqqqqq 2026-03-19 6/300 2026-03-21 08:04 by JourneyLucky
[¿¼ÑÐ] 354Çóµ÷¼Á +5 Tyoumou 2026-03-18 8/400 2026-03-21 00:35 by JourneyLucky
[¿¼ÑÐ] ²ÄÁÏר˶ӢһÊý¶þ306 +7 z1z2z3879 2026-03-18 7/350 2026-03-20 23:48 by JourneyLucky
[¿¼ÑÐ] 308Çóµ÷¼Á +3 °¢½ã°¢½ã¼Ò°¡ 2026-03-18 3/150 2026-03-20 23:24 by JourneyLucky
[¿¼ÑÐ] 287Çóµ÷¼Á +7 ³¿»èÏßÓëÐǺ£ 2026-03-19 8/400 2026-03-20 22:19 by JourneyLucky
[¿¼ÑÐ] Çóµ÷¼Á£¬Ò»Ö¾Ô¸:ÄϾ©º½¿Õº½Ìì´óѧ´óѧ £¬080500²ÄÁÏ¿ÆÑ§Ó빤³Ìѧ˶£¬×Ü·Ö289·Ö +4 @taotao 2026-03-19 4/200 2026-03-20 22:14 by JourneyLucky
[¿¼ÑÐ] 350Çóµ÷¼Á +5 weudhdk 2026-03-19 5/250 2026-03-20 22:04 by luoyongfeng
[¿¼ÑÐ] 288Çóµ÷¼Á£¬Ò»Ö¾Ô¸»ªÄÏÀí¹¤´óѧ071005 +5 ioodiiij 2026-03-17 5/250 2026-03-19 18:22 by zcl123
[¿¼ÑÐ] 085600²ÄÁÏÓ뻯¹¤µ÷¼Á 324·Ö +10 llllkkkhh 2026-03-18 12/600 2026-03-19 14:33 by llllkkkhh
[¿¼ÑÐ] ²ÄÁÏר˶306Ó¢Ò»Êý¶þ +10 z1z2z3879 2026-03-16 13/650 2026-03-18 14:20 by 007_lilei
[ÂÛÎÄͶ¸å] ÓÐûÓдóÀз¢Ð¡ÂÛÎÄÄÜ´øÎÒ¸ö¶þ×÷ +3 ÔöÈñ©ÈË 2026-03-17 4/200 2026-03-17 09:26 by xs74101122
[¿¼ÑÐ] Ò»Ö¾Ô¸£¬¸£ÖÝ´óѧ²ÄÁÏר˶339·ÖÇóµ÷¼Á +3 ľ×ÓmomoÇàÕù 2026-03-15 3/150 2026-03-17 07:52 by laoshidan
[¿¼ÑÐ] 326Çóµ÷¼Á +4 ŵ±´¶û»¯Ñ§½±êéê 2026-03-15 7/350 2026-03-16 17:11 by ŵ±´¶û»¯Ñ§½±êéê
ÐÅÏ¢Ìáʾ
ÇëÌî´¦ÀíÒâ¼û