Znn3bq.jpeg
²é¿´: 805  |  »Ø¸´: 4

muchmuchmuch

гæ (СÓÐÃûÆø)

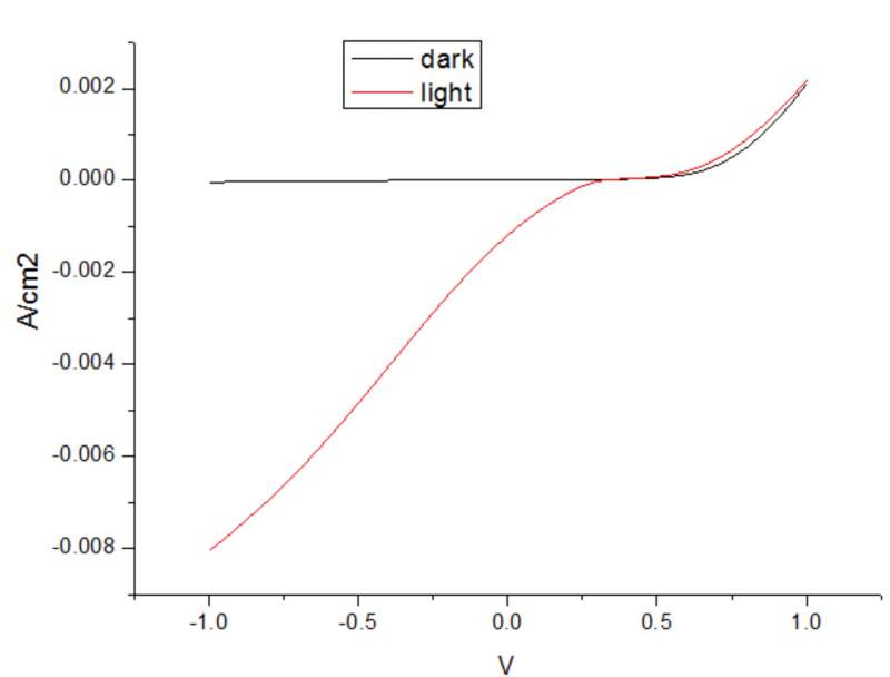
[ÇóÖú] solar cell µÄÆæ¹ÖI-VÇúÏßÇó½âÊÍ£¡£¡

ÈçͼËùʾ ×î½ü×ö¹èºÍPEDOTSS µÄÌ«ÑôÄÜµç³Ø×ÜÊdzöÏÖÕâÑùµÄÇúÏߣ¬ÒѾ­Öظ´ºÜ¶à´ÎÁË£¬ÕÒ²»µ½Ô­Òò£¬Çó´óÅ£ÃǰïæָµãÃÔ½ò£¡£¡

solar cell µÄÆæ¹ÖI-VÇúÏßÇó½âÊÍ£¡£¡
DB[}DEO7MBCWGD60@25FG0P.jpg
»Ø¸´´ËÂ¥

» ²ÂÄãϲ»¶

» ±¾Ö÷ÌâÏà¹Ø¼ÛÖµÌùÍÆ¼ö£¬¶ÔÄúͬÑùÓаïÖú:

ÒÑÔÄ   »Ø¸´´ËÂ¥   ¹Ø×¢TA ¸øTA·¢ÏûÏ¢ ËÍTAºì»¨ TAµÄ»ØÌû

muchmuchmuch

гæ (СÓÐÃûÆø)

ÔõôûÓÐÈ˻ظ´ÄØ£¿£¿£¿
2Â¥2015-03-05 14:50:48
ÒÑÔÄ   »Ø¸´´ËÂ¥   ¹Ø×¢TA ¸øTA·¢ÏûÏ¢ ËÍTAºì»¨ TAµÄ»ØÌû

ÊÅË®aa

ľ³æ (ÖøÃûдÊÖ)

ÇëÎÊÏÂÂ¥Ö÷ÓÃPEDOT×öµÄÊÇÕýÃæµç¼«»¹ÊDZ³Ãæµç¼«°¡£¿
ŬÁ¦°É
3Â¥2015-06-26 20:00:07
ÒÑÔÄ   »Ø¸´´ËÂ¥   ¹Ø×¢TA ¸øTA·¢ÏûÏ¢ ËÍTAºì»¨ TAµÄ»ØÌû

chengkeji

гæ (ÖªÃû×÷¼Ò)

¡¾´ð°¸¡¿Ó¦Öú»ØÌû

ÄãºÃ£¬ÎÒÊÇÒ»ÃûÑÐÒ»µÄͬѧ£¬ÎÒÏëÇë½ÌÄã¹ØÓÚÌ«ÑôÄÜµç³Ø·½ÃæµÄÎÊÌ⣬·½ÃæÁô¸öÁªÏµ·½Ê½Âð£¿
4Â¥2016-05-27 16:19:38
ÒÑÔÄ   »Ø¸´´ËÂ¥   ¹Ø×¢TA ¸øTA·¢ÏûÏ¢ ËÍTAºì»¨ TAµÄ»ØÌû

chengkeji

гæ (ÖªÃû×÷¼Ò)

¡¾´ð°¸¡¿Ó¦Öú»ØÌû

ÒýÓûØÌû:
2Â¥: Originally posted by muchmuchmuch at 2015-03-05 14:50:48
ÔõôûÓÐÈ˻ظ´ÄØ£¿£¿£¿

ÄãºÃ£¬ÎÒÊÇÒ»ÃûÑÐÒ»µÄͬѧ£¬ÎÒÏëÇë½ÌÄã¹ØÓÚÌ«ÑôÄÜµç³Ø·½ÃæµÄÎÊÌ⣬·½ÃæÁô¸öÁªÏµ·½Ê½Âð£¿
5Â¥2016-05-27 16:20:05
ÒÑÔÄ   »Ø¸´´ËÂ¥   ¹Ø×¢TA ¸øTA·¢ÏûÏ¢ ËÍTAºì»¨ TAµÄ»ØÌû
Ïà¹Ø°æ¿éÌø×ª ÎÒÒª¶©ÔÄÂ¥Ö÷ muchmuchmuch µÄÖ÷Ìâ¸üÐÂ
×î¾ßÈËÆøÈÈÌûÍÆ¼ö [²é¿´È«²¿] ×÷Õß »Ø/¿´ ×îºó·¢±í
[¿¼ÑÐ] Ò»Ö¾Ô¸085502£¬267·ÖÇóµ÷¼Á +14 ÔÙæҲҪ³Ô·¹°¡ 2026-04-08 15/750 2026-04-12 22:33 by fqwang
[¿¼ÑÐ] 2±¾£¬³õÊÔ303£¬0860Çóµ÷¼Á +6 floriea 2026-04-12 8/400 2026-04-12 18:13 by zhouxiaoyu
[¿¼ÑÐ] µç×ÓÐÅÏ¢270Çóµ÷¼Á +18 terminal469 2026-04-07 18/900 2026-04-12 16:23 by ajpv·çÀ×
[¿¼ÑÐ] 086000µ÷¼Á +6 Ê®Æßsa 2026-04-07 6/300 2026-04-12 11:05 by ´óÁ¦Ë®ÊÖÁ¦´óÎÞÇ
[¿¼ÑÐ] 347Çóµ÷¼Á +4 mhyqyy 2026-04-06 4/200 2026-04-12 02:27 by Çï¶¹²ËÑ¿
[¿¼ÑÐ] 271Çóµ÷¼Á +20 2261744733 2026-04-11 22/1100 2026-04-11 23:14 by labixiaoqiao
[¿¼ÑÐ] ¿¼ÑÐÇóµ÷¼Á +3 ban°àСÆß 2026-04-11 3/150 2026-04-11 20:48 by may_ÐÂÓî
[¿¼ÑÐ] 11408¡£358Çóµ÷¼Á +3 TMYzds 2026-04-07 3/150 2026-04-11 17:10 by µªÆøÆøÆø
[¿¼ÑÐ] Çóµ÷¼Á£¬Ò»Ö¾Ô¸´óÁ¬Àí¹¤´óѧ354·Ö +5 ÓêÉùÓàÉú 2026-04-11 6/300 2026-04-11 16:12 by ÓêÉùÓàÉú
[¿¼ÑÐ] 085501»úеר˶ 302·Ö ²»ÌôרҵÇóµ÷¼Á +7 Íôij. 2026-04-09 7/350 2026-04-11 14:37 by luhong1990
[¿¼ÑÐ] ũѧ0904 312Çóµ÷¼Á +6 Say Never 2026-04-10 6/300 2026-04-11 10:33 by wwj2530616
[¿¼ÑÐ] 293Çóµ÷¼Á +6 ÓÂÔ¶¿â°®314 2026-04-08 6/300 2026-04-11 10:08 by zhq0425
[¿¼ÑÐ] 311Çóµ÷¼Á +13 xypÏë¶ÁÊé 2026-04-10 14/700 2026-04-11 09:41 by Öí»á·É
[¿¼ÑÐ] 314Çóµ÷¼Á +18 xhhdjdjsjks 2026-04-09 19/950 2026-04-10 18:53 by HPUCZ
[¿¼ÑÐ] 293µ÷¼Á +25 yj1221 2026-04-08 26/1300 2026-04-10 15:02 by ²ñС°×
[¿¼ÑÐ] µ÷¼ÁÉêÇë086000Ò»Ö¾Ô¸Î÷±±Å©ÁֿƼ¼´óѧÉúÎïÓëÒ½Ò©320·Ö-±¾¿ÆÆë³¹¤Òµ´óѧ +3 ÃÀÃÀŮʿ 2026-04-09 3/150 2026-04-10 10:31 by liuhuiying09
[¿¼ÑÐ] ±¾¿ÆÖ£ÖÝ´óѧ£¬Ò»Ö¾Ô¸»ª¶«Ê¦·¶´óѧ282Çóµ÷¼Á +23 Ðܸçxtk 2026-04-07 26/1300 2026-04-09 17:17 by 18446523
[¿¼ÑÐ] Çóµ÷¼Á +13 Æâluck 2026-04-07 13/650 2026-04-08 22:46 by Öí»á·É
[¿¼ÑÐ] Èí¼þ¹¤³ÌÇóµ÷¼Á22Èí¹¤296·ÖÇóµ÷¼Á£¬½ÓÊÜ¿çµ÷ +4 yangchen2017 2026-04-08 5/250 2026-04-08 21:56 by ÍÁľ˶ʿÕÐÉú
[¿¼ÑÐ] Ò»Ö¾Ô¸ÄϿƴóÉúÎïѧ297·Ö£¬Çóµ÷¼ÁÍÆ¼ö +8 Y-yyusx 2026-04-06 9/450 2026-04-07 19:38 by biomichael
ÐÅÏ¢Ìáʾ
ÇëÌî´¦ÀíÒâ¼û