| 查看: 2272 | 回复: 18 | |
阿七不笨金虫 (正式写手)
|
[求助]
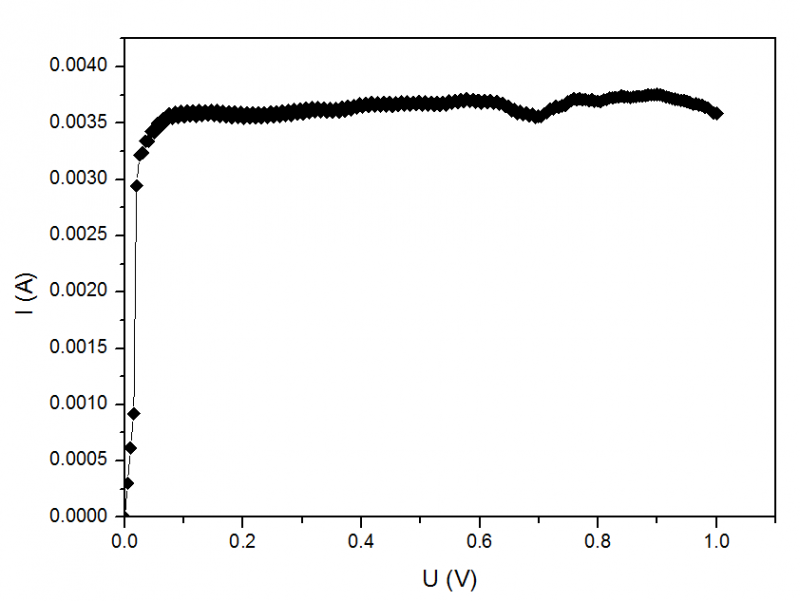
关于I-V曲线的问题已有2人参与
|
![]() |
|
|
|
|
welljay木虫 (正式写手)
|
|
|
2楼2015-01-11 10:07:54
|
|
阿七不笨金虫 (正式写手)
|
|
![]() |
|
|
3楼2015-01-11 10:33:32
|
|
阿七不笨金虫 (正式写手)
|
|
![]() |
|
|
4楼2015-01-11 10:36:40
|
|
welljay木虫 (正式写手)
|
|
|
5楼2015-01-11 10:54:45
|
|
阿七不笨金虫 (正式写手)
|
|
![]() |
|
|
6楼2015-01-11 12:59:30
|
|
![]() |
|
|
7楼2015-01-12 12:02:33
|
|
阿七不笨金虫 (正式写手)
|
|
![]() |
|
|
8楼2015-01-12 13:54:43
|
|
VIMPILE版主 (知名作家)
|
|
|
9楼2015-01-13 10:20:33
|
|
阿七不笨金虫 (正式写手)
|
|
![]() |
|
|
10楼2015-01-13 10:30:32
|
|













回复此楼
