| ²é¿´: 1349 | »Ø¸´: 5 | ||
moriningͳæ (³õÈëÎÄ̳)
|
[ÇóÖú]
»Ø´ðÉó¸åÈËÎÊÌ⣨³¬¼¶µçÈÝÆ÷£© ÒÑÓÐ3È˲ÎÓë
|
³¬µç+﮵ç |
» ²ÂÄãϲ»¶
Çóµ÷¼Á£¬±¾¿Æ¼ª´ó£¬Ò»Ö¾Ô¸»ª¹¤339
ÒѾÓÐ2È˻ظ´
Òâ´óÀû²©ÂåÄáÑÇ´óѧÕÐÆ¸Ñо¿ÖúÀí2Ãû£¨2D²ÄÁÏ/ï®Àë×ÓÓëÄÆÀë×Óµç³Ø·½Ïò£©
ÒѾÓÐ1È˻ظ´
·ÖÎö»¯Ñ§ÂÛÎÄÈóÉ«/·ÒëÔõôÊÕ·Ñ?
ÒѾÓÐ166È˻ظ´
¹ØÓÚ̼Á¿×ӵ㿹¾úµÄÑо¿
ÒѾÓÐ15È˻ظ´
ÄÏ´ó»¯Ñ§µ÷¼Á
ÒѾÓÐ11È˻ظ´
ÁòËáÄÆÈÜҺŨ¶ÈÓëÃܶÈÇúÏß
ÒѾÓÐ0È˻ظ´
0703µ÷¼Á
ÒѾÓÐ2È˻ظ´
1
ÒѾÓÐ14È˻ظ´
0703 µ÷¼Á
ÒѾÓÐ4È˻ظ´
ÕÐÊÕ
ÒѾÓÐ0È˻ظ´
» ±¾Ö÷ÌâÏà¹ØÉ̼ÒÍÆ¼ö: (ÎÒÒ²ÒªÔÚÕâÀïÍÆ¹ã)
» ±¾Ö÷ÌâÏà¹Ø¼ÛÖµÌùÍÆ¼ö£¬¶ÔÄúͬÑùÓаïÖú:
Çë½ÌIEEEÆÚ¿¯»Ø¸´Éó¸åÈËÖеÄÒ»¸öÎÊÌâ
ÒѾÓÐ8È˻ظ´
ÎÄÕ´óÐÞ£¬Éó¸åÈËÎÊÌâ±È½Ï¼âÈñ
ÒѾÓÐ31È˻ظ´
²»Í¬Éó¸åÈ˵ÄÉó¸åÒâ¼ûÔÙÎÒÃǻظ´ºóÊÇ·ñÄܱ˴˿´µ½
ÒѾÓÐ4È˻ظ´
SCIÂÛÎÄ·µÐ޻شðÉó¸åÈ˵ÄÎÊÌâ
ÒѾÓÐ5È˻ظ´
²¹³äʵÑéÎÞ·¨Íê³É£¬ÈçºÎ»Ø´ðÉó¸åÈ˵ÄÒâ¼û£¿
ÒѾÓÐ11È˻ظ´
ÈçºÎ»Ø¸´Éó¸åÈËÒâ¼û
ÒѾÓÐ17È˻ظ´
²»ÄÜÂú×ãÉó¸åÈËÒªÇó£¬Ôõô»Ø¸´£¿
ÒѾÓÐ8È˻ظ´
Éó¸åÈ˵ÄÒâ¼û¸ÃÔõô»Ø¸´
ÒѾÓÐ9È˻ظ´
ÔõÑù»Ø´ðÉó¸åÈ˵ÄÎÊÌâ
ÒѾÓÐ8È˻ظ´
Ð޸ĺóÉÏ´«ÎÄÕ¸ñʽ¼°»Ø¸´Éó¸åÈ˽¨Òé¸ñʽÎÊÌâ
ÒѾÓÐ6È˻ظ´
Éó¸åÈ˵ÄÎÊÌâÐèÒª¶¼»Ø´ðÂð
ÒѾÓÐ42È˻ظ´
Éó¸åÈËÌáµÄÎÊÌâÌ«´ó£¬½â¾ö²»ÁË£¬ÈçºÎ»Ø¸´Éó¸åÈË£¿
ÒѾÓÐ11È˻ظ´
ÈçºÎ»Ø´ðÉó¸åÈËÎÊÌâ
ÒѾÓÐ4È˻ظ´
ÇëÎÊ ¶ÔÓÚÖ»Óп佱µÄÉó¸åÈËÒâ¼û£¬ÈçºÎ»Ø¸´ÄØ
ÒѾÓÐ8È˻ظ´
¶ÔÉó¸åÈËÌá³öµÄÎÊÌâʵÔÚÎÞ·¨»Ø´ð£¬Äܲ»ÄÜɾµôÄDz¿·ÖÄÚÈÝ£¿
ÒѾÓÐ14È˻ظ´
СÐÞûÓÐÍêÈ«»Ø´ðÉó¸åÈËÒâ¼û£¬»á²»»á±¯¾ç°¡£¿
ÒѾÓÐ21È˻ظ´
Éó¸åÈ˵ÄÒâ¼ûÎÞ·¨Âú×㣬Ôõô»Ø´ð£¿£¿£¿
ÒѾÓÐ5È˻ظ´
Çë½Ì£º»Ø¸´Éó¸åÈË
ÒѾÓÐ7È˻ظ´
ÈçºÎ»Ø´ðÉó¸åÈ˵ÄÕâ¸öÎÊÌâ
ÒѾÓÐ9È˻ظ´
»Ø´ðÉó¸åÈËÒâ¼ûÀïÓÐͼºÍ±í£¬µ«Í¶¸åÒ³ÃæÖ»ÓÐÕ³Ìù£¬Í¼ºÍ±íÏÔʾ²»³öÀ´£¬Ôõô°ì
ÒѾÓÐ9È˻ظ´
Ôõô»Ø¸´Éó¸åÈË£¿
ÒѾÓÐ16È˻ظ´
Çë½ÌÈçºÎ»Ø´ðÕâ¸öÉó¸åÈ˵ÄÒâ¼û
ÒѾÓÐ11È˻ظ´
ÎҵĻشðÉó¸åÈËÎÊÌâµÄÎÄÊéÀý×Ó
ÒѾÓÐ79È˻ظ´
hyt365dn
ľ³æ (ÕýʽдÊÖ)
- Ó¦Öú: 123 (¸ßÖÐÉú)
- ½ð±Ò: 2833.7
- É¢½ð: 124
- ºì»¨: 8
- Ìû×Ó: 624
- ÔÚÏß: 905.8Сʱ
- ³æºÅ: 2199707
- ×¢²á: 2012-12-21
- רҵ: µç»¯Ñ§
2Â¥2015-02-17 21:13:52
suman
ľ³æ (ÖøÃûдÊÖ)
- Ó¦Öú: 8 (Ó×¶ùÔ°)
- ½ð±Ò: 2867.1
- É¢½ð: 110
- ºì»¨: 5
- Ìû×Ó: 1093
- ÔÚÏß: 528.2Сʱ
- ³æºÅ: 165799
- ×¢²á: 2006-01-13
- ÐÔ±ð: GG
- רҵ: »¯Ñ§·´Ó¦¹¤³Ì
¡¾´ð°¸¡¿Ó¦Öú»ØÌû
¡ï ¡ï
¸Ðл²ÎÓ룬ӦÖúÖ¸Êý +1
MyTavel: ½ð±Ò+2, ¸Ðл»ØÌû 2015-04-12 10:19:24
¸Ðл²ÎÓ룬ӦÖúÖ¸Êý +1
MyTavel: ½ð±Ò+2, ¸Ðл»ØÌû 2015-04-12 10:19:24
|
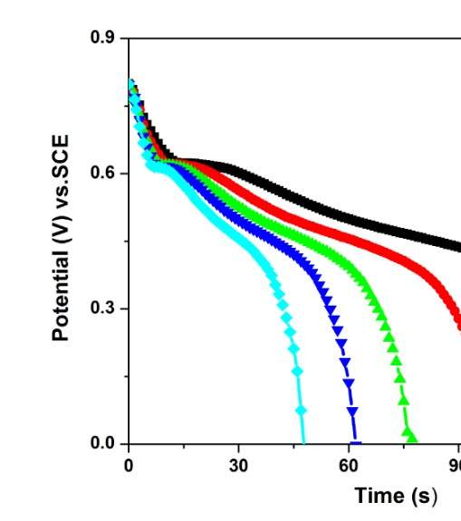
Äã´ó¸Å¿ÉÒÔÕâô»Ø´ð¡· is the initial voltage drop due to resistance, or the redox character of the material? The initial voltage drop is not due to the resistance because the resistance resulted voltage drop is very fast. Therefore, it might be attributed to the redox character of the material. Do the authors know the conductivity of the electrolyte or can it be referenced from the literature? Õâ¾ÍÒª¿´ÄãÓõÄʲôµç½âÒºÁË¡£ Æäʵ»Ø´ðÕâ¸öÎÊÌâµÄ×îÓÐ˵·þÁ¦µÄ°ì·¨ÊÇ×öimpedance. |
3Â¥2015-02-17 23:57:24
morining
ͳæ (³õÈëÎÄ̳)
- Ó¦Öú: 0 (Ó×¶ùÔ°)
- ½ð±Ò: 29.5
- Ìû×Ó: 16
- ÔÚÏß: 177.8Сʱ
- ³æºÅ: 2013138
- ×¢²á: 2012-09-19
- רҵ: ½ðÊô»ù¸´ºÏ²ÄÁÏ
4Â¥2015-02-20 18:11:10
zhhmi
Òø³æ (ÕýʽдÊÖ)
- Ó¦Öú: 34 (СѧÉú)
- ½ð±Ò: 226.9
- É¢½ð: 86
- Ìû×Ó: 432
- ÔÚÏß: 313.4Сʱ
- ³æºÅ: 1096893
- ×¢²á: 2010-09-12
- ÐÔ±ð: GG
- רҵ: µç»¯Ñ§

5Â¥2015-04-12 06:09:45
gs1980
Òø³æ (СÓÐÃûÆø)
- Ó¦Öú: 22 (СѧÉú)
- ½ð±Ò: 2466.9
- ºì»¨: 4
- Ìû×Ó: 146
- ÔÚÏß: 148.3Сʱ
- ³æºÅ: 1463753
- ×¢²á: 2011-10-27
- ÐÔ±ð: GG
- רҵ: ÎÞ»úÄÉÃ×»¯Ñ§
¡¾´ð°¸¡¿Ó¦Öú»ØÌû
¡ï ¡ï ¡ï ¡ï ¡ï ¡ï ¡ï ¡ï ¡ï ¡ï
morining: ½ð±Ò+10 2015-04-13 01:42:42
morining: ½ð±Ò+10 2015-04-13 01:42:42
| Éó¸åÈ˵ÄÒâ˼ÊÇÔÚ˵ѹ½µ£¬ºÍÕû¸öµç¼«µÄÄÚ×èÃÜÇÐÏà¹Ø£¬Ç°Ò»¶Î·Ç·¨ÀµÚÇøÊôÓÚÄã×ÔÉíµÄ²ÄÁÏÓëµç½âÒºÒÔ¼°»ùµ×µÄ½Ó´¥µç×裬µ«ÊÇϽµ»¹ÊǺÜÂýµÄ£¬ËµÃ÷ÄãµÄµç¼«ÄÚ×軹ÊǺÜСµÄ£¬²¹Ò»¸öimpedence½øÒ»²½ËµÃ÷ÎÊÌ⣬ºóÃæµÄÎÊÌâÕÒÎÄÏ׾ͿÉÒÔÁË¡£ |
6Â¥2015-04-12 09:55:43













»Ø¸´´ËÂ¥
