²é¿´: 2036  |  »Ø¸´: 9
µ±Ç°Ö»ÏÔʾÂú×ãÖ¸¶¨Ìõ¼þµÄ»ØÌû£¬µã»÷ÕâÀï²é¿´±¾»°ÌâµÄËùÓлØÌû

´óº£µÄÉùÒô

гæ (СÓÐÃûÆø)

[ÇóÖú] MATLABÇóijһʽ×ÓÔõôÇó²»³ö½á¹û ÒÑÓÐ1È˲ÎÓë

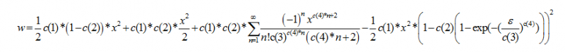
Èçͼ£¬
ÿ¸öx¶ÔÓ¦Ò»¸öw£¬xÓÐÒ»ÁÐÊý£¬ÇóÆä¶ÔÓ¦µÄw£»
x=[    ];  //Êý¾ÝÊäÈë
c=[662.3012161 1.235047160711485 0.003402653539486 -0.421886852153956];
syms n;
u=symsum((-1)^n.*x.^(n*c(4)+2)/((c(4)*n+2)*c(3)^(n*c(4))*prod(n)),n,1,300);
w=c(1).*x.^2*(1-c(2))/2+c(1)*c(2).*x.^2/2+c(1)*c(2).*u-c(1).*x.^2.*(1-c(2)*(1-exp(-(x/c(3)).^c(4)))).^2/2;
plot(x,y,'*');
Ò»Ö±Busy£¬ÔõôûÓз´Ó¦£¬Çó¸÷λָµãÃÔ½ò£¡

MATLABÇóijһʽ×ÓÔõôÇó²»³ö½á¹û
chuan.jpg
»Ø¸´´ËÂ¥

» ²ÂÄãϲ»¶

» ±¾Ö÷ÌâÏà¹Ø¼ÛÖµÌùÍÆ¼ö£¬¶ÔÄúͬÑùÓаïÖú:

ÒÑÔÄ   »Ø¸´´ËÂ¥   ¹Ø×¢TA ¸øTA·¢ÏûÏ¢ ËÍTAºì»¨ TAµÄ»ØÌû

´óº£µÄÉùÒô

гæ (СÓÐÃûÆø)

ÒýÓûØÌû:
2Â¥: Originally posted by kabaisun at 2015-01-16 19:28:31
ÄãÕâ¸öʽ×ÓÇóuʱºÜ·Ñʱ£¬ËùÒÔÒ»Ö±³ö²»À´½á¹û£¬ÄãÒª¿´Ôõô°Ñ¼ÆËãuµÄʱ¼äËõ¶Ì¡£Èç¹ûx¸öÊý¸øµÄ±È½ÏÉٵϰ£¬Ïñȡʮ¸öx¾Í±È½Ï¿ì£»ÌáÉýËÙ¶È»¹¿ÉÒÔ°Ñnµ÷СЩ¡£

ÒÔÏÂÊÇÐ޸ĵĴúÂ룬

c=;
x=1:10;
syms n ;
u=single ...

лл£¬ÎÒÕâ¸öx=[0.000006 0.000008 0.00001 0.000012 0.000014 0.00003 .....]ÓÉСµ½´óÎÞ¹æÂÉÅÅÁеÄÒ»ÁÐÊý£¬ÓÐ14000¶à¸öÊý£¬¿´À´Ö»ÄܰÑnËõСµãÁË£¬ËäÈ»ÕâÑùÊÇÓÐÎó²îµÄ¡£
3Â¥2015-01-16 19:35:37
ÒÑÔÄ   »Ø¸´´ËÂ¥   ¹Ø×¢TA ¸øTA·¢ÏûÏ¢ ËÍTAºì»¨ TAµÄ»ØÌû
²é¿´È«²¿ 10 ¸ö»Ø´ð

kabaisun

ר¼Ò¹ËÎÊ (ÕýʽдÊÖ)

¡¾´ð°¸¡¿Ó¦Öú»ØÌû

¡ï ¡ï ¡ï ¡ï
¸Ðл²ÎÓ룬ӦÖúÖ¸Êý +1
´óº£µÄÉùÒô: ½ð±Ò+4, ¡ï¡ï¡ïºÜÓаïÖú 2015-01-16 20:28:03
ÄãÕâ¸öʽ×ÓÇóuʱºÜ·Ñʱ£¬ËùÒÔÒ»Ö±³ö²»À´½á¹û£¬ÄãÒª¿´Ôõô°Ñ¼ÆËãuµÄʱ¼äËõ¶Ì¡£Èç¹ûx¸öÊý¸øµÄ±È½ÏÉٵϰ£¬Ïñȡʮ¸öx¾Í±È½Ï¿ì£»ÌáÉýËÙ¶È»¹¿ÉÒÔ°Ñnµ÷СЩ¡£

ÒÔÏÂÊÇÐ޸ĵĴúÂ룬
CODE:
c=[662.3012161 1.235047160711485 0.003402653539486 -0.421886852153956];
x=1:10;
syms n ;
u=single(symsum((-1)^n.*x.^(n*c(4)+2)/((c(4)*n+2)*c(3)^(n*c(4))*prod(n)),n,1,100));
w=c(1).*x.^2*(1-c(2))/2+c(1)*c(2).*x.^2/2+c(1)*c(2).*u-c(1).*x.^2.*(1-c(2)*(1-exp(-(x/c(3)).^c(4)))).^2/2;
plot(x,w,'*');

ÑÏʵ³ÏÓÂ
2Â¥2015-01-16 19:28:31
ÒÑÔÄ   »Ø¸´´ËÂ¥   ¹Ø×¢TA ¸øTA·¢ÏûÏ¢ ËÍTAºì»¨ TAµÄ»ØÌû

kabaisun

ר¼Ò¹ËÎÊ (ÕýʽдÊÖ)

ÒýÓûØÌû:
3Â¥: Originally posted by ´óº£µÄÉùÒô at 2015-01-16 19:35:37
лл£¬ÎÒÕâ¸öx=ÓÉСµ½´óÎÞ¹æÂÉÅÅÁеÄÒ»ÁÐÊý£¬ÓÐ14000¶à¸öÊý£¬¿´À´Ö»ÄܰÑnËõСµãÁË£¬ËäÈ»ÕâÑùÊÇÓÐÎó²îµÄ¡£...

xÊý¾ÝÌ«¶à¿ÉÒÔÊÔÊÔ°ÑuµÄ¼ÆËãʽ»»³É¾ØÕó³Ë·¨£¬°Ñsyms·ûºÅ¼ÆËãÈ¥µô¡£
ÑÏʵ³ÏÓÂ
4Â¥2015-01-16 20:28:37
ÒÑÔÄ   »Ø¸´´ËÂ¥   ¹Ø×¢TA ¸øTA·¢ÏûÏ¢ ËÍTAºì»¨ TAµÄ»ØÌû

´óº£µÄÉùÒô

гæ (СÓÐÃûÆø)

ÒýÓûØÌû:
4Â¥: Originally posted by kabaisun at 2015-01-16 20:28:37
xÊý¾ÝÌ«¶à¿ÉÒÔÊÔÊÔ°ÑuµÄ¼ÆËãʽ»»³É¾ØÕó³Ë·¨£¬°Ñsyms·ûºÅ¼ÆËãÈ¥µô¡£...

Õâ¸ö²»ºÃ»»°É£¿ÎÒÕâÀïÃæu±íʾµÄÊÇÎÞÇî¼¶ÊýÇóºÍ¡£
5Â¥2015-01-16 20:31:51
ÒÑÔÄ   »Ø¸´´ËÂ¥   ¹Ø×¢TA ¸øTA·¢ÏûÏ¢ ËÍTAºì»¨ TAµÄ»ØÌû
×î¾ßÈËÆøÈÈÌûÍÆ¼ö [²é¿´È«²¿] ×÷Õß »Ø/¿´ ×îºó·¢±í
[¿¼ÑÐ] 288Çóµ÷¼Á +15 ÓÚº£º£º£º£ 2026-03-19 15/750 2026-03-19 22:41 by ѧԱ8dgXkO
[¿¼ÑÐ] 085601²ÄÁϹ¤³Ìר˶Çóµ÷¼Á +10 Ľº®mio 2026-03-16 10/500 2026-03-19 15:26 by ¶¡¶¡*
[¿¼ÑÐ] 085600²ÄÁÏÓ뻯¹¤µ÷¼Á 324·Ö +10 llllkkkhh 2026-03-18 12/600 2026-03-19 14:33 by llllkkkhh
[¿¼ÑÐ] Ò»Ö¾Ô¸ Î÷±±´óѧ £¬070300»¯Ñ§Ñ§Ë¶£¬×Ü·Ö287£¬Ë«·ÇÒ»±¾£¬Çóµ÷¼Á¡£ +3 ³¿»èÏßÓëÐǺ£ 2026-03-19 3/150 2026-03-19 13:36 by houyaoxu
[¿¼ÑÐ] 346Çóµ÷¼Á[0856] +3 WayneLim327 2026-03-16 6/300 2026-03-19 11:21 by WayneLim327
[¿¼ÑÐ] 328Çóµ÷¼Á£¬Ó¢ÓïÁù¼¶551£¬ÓпÆÑо­Àú +3 ÉúÎ﹤³Ìµ÷¼Á 2026-03-17 7/350 2026-03-18 20:41 by Wangjingyue
[¿¼ÑÐ] 085600²ÄÁÏÓ뻯¹¤ +5 °²È«Éϰ¶£¡ 2026-03-16 5/250 2026-03-18 15:33 by cmz0325
[¿¼ÑÐ] 0854¿É¿çµ÷¼Á£¬Ò»×÷Ò»ÏîºËÐÄÂÛÎÄÎåÏîרÀû£¬Ê¡¡¢¹ú¼¶Ö¤Êé40+ÊýÒ»Ó¢Ò»287 +8 СÀî0854 2026-03-16 8/400 2026-03-18 14:35 by ²«»÷518
[¿¼ÑÐ] ²ÄÁÏר˶306Ó¢Ò»Êý¶þ +10 z1z2z3879 2026-03-16 13/650 2026-03-18 14:20 by 007_lilei
[¿¼ÑÐ] »·¾³¹¤³Ìµ÷¼Á +8 ´ó¿Édigkids 2026-03-16 8/400 2026-03-18 09:36 by zhukairuo
[¿¼ÑÐ] 265Çóµ÷¼Á +3 ÁºÁºÐ£Ð£ 2026-03-17 3/150 2026-03-18 09:12 by zhukairuo
[¿¼ÑÐ] 301Çóµ÷¼Á +9 yyÒªÉϰ¶Ñ½ 2026-03-17 9/450 2026-03-18 08:58 by Î޼ʵIJÝÔ­
[¿¼²©] 26²©Ê¿ÉêÇë +3 1042136743 2026-03-17 3/150 2026-03-17 23:30 by ÇáËɲ»ÉÙËæ
[¿¼ÑÐ] 268Çóµ÷¼Á +8 Ò»¶¨ÓÐѧÉÏ- 2026-03-14 9/450 2026-03-17 17:47 by laoshidan
[¿¼ÑÐ] ²ÄÁϹ¤³Ìר˶274Ò»Ö¾Ô¸211Çóµ÷¼Á +6 Ñ¦ÔÆÅô 2026-03-15 6/300 2026-03-17 11:05 by ѧԱh26Tkc
[¿¼ÑÐ] »úеר˶325£¬Ñ°ÕÒµ÷¼ÁԺУ +3 y9999 2026-03-15 5/250 2026-03-16 19:58 by y9999
[¿¼ÑÐ] 326Çóµ÷¼Á +4 ŵ±´¶û»¯Ñ§½±êéê 2026-03-15 7/350 2026-03-16 17:11 by ŵ±´¶û»¯Ñ§½±êéê
[¿¼ÑÐ] 327Çóµ÷¼Á +6 ʰ¹âÈÎȾ 2026-03-15 11/550 2026-03-15 22:47 by ʰ¹âÈÎȾ
[¿¼ÑÐ] 080500£¬²ÄÁÏѧ˶302·ÖÇóµ÷¼ÁѧУ +4 ³õʶ¿ÉÀÖ 2026-03-14 5/250 2026-03-14 21:08 by peike
[¿¼ÑÐ] 289Çóµ÷¼Á +4 ÕâôÃû×ÖÕ¦Ñù 2026-03-14 6/300 2026-03-14 18:58 by userper
ÐÅÏ¢Ìáʾ
ÇëÌî´¦ÀíÒâ¼û