| ²é¿´: 3259 | »Ø¸´: 6 | ||
ÊæÌ쳯»Ôľ³æ (ÕýʽдÊÖ)
|
[½»Á÷]
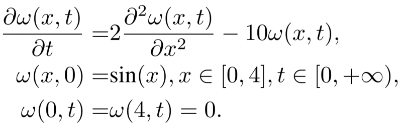
ƫ΢·Ö·½³ÌϵͳµÄMATLAB/simulink·ÂÕæ
|
» ±¾Ö÷ÌâÏà¹Ø¼ÛÖµÌùÍÆ¼ö£¬¶ÔÄúͬÑùÓаïÖú:
ƫ΢·Ö·½³ÌMatlabÇó½â
ÒѾÓÐ7È˻ظ´
±äϵÊýƫ΢·Ö·½³ÌmatlabÇó½â
ÒѾÓÐ6È˻ظ´
matlab/simulink
ÒѾÓÐ5È˻ظ´
matlab/simulink
ÒѾÓÐ5È˻ظ´
matlab-Simulink ·ÂÕæ»·¾³»ù´¡½Ì³Ì
ÒѾÓÐ89È˻ظ´
matlab½âƫ΢·Ö·½³ÌÇóÖú
ÒѾÓÐ12È˻ظ´
¡¾½Ì³Ì¡¿ÐÂʵÓÃmatlabʵÀý½Ì³Ì
ÒѾÓÐ73È˻ظ´
Çó½âÒ»¸ö¶þ½×ƫ΢·Ö·½³Ì~~Óнá¹û£¬µ«ÊDz»ÖªµÀÖмä¹ý³Ì£¨ÍêÃÀ½â¾öÕß´ðл100£¤£©~
ÒѾÓÐ4È˻ظ´
ÓÃmatlabÈçºÎ½â·½³Ì£¿
ÒѾÓÐ6È˻ظ´
matlabʵÀý±à³Ì100¸öÔ´³ÌÐò.rar
ÒѾÓÐ449È˻ظ´
ÈçºÎÓÃmatlabÇó½â¾ØÕóϵÊýµÄ¶þ½×΢·Ö·½³Ì
ÒѾÓÐ13È˻ظ´
ÇóÖú£ºÈçºÎÓÃMATLABµÄƫ΢·Ö·½³Ì¹¤¾ßÏ仳ö²»Í¬ÇøÓòÄÚµÄζȷֲ¼Í¼£¿
ÒѾÓÐ5È˻ظ´
matlabÓÐÏÞ²î·Ö·¨Çó½â¸´Ôӵį«Î¢·Ö·½³Ì×é
ÒѾÓÐ19È˻ظ´
ƫ΢·Ö·½³ÌÊýÖµ½âÓлù±¾ÀíÂÛºÍһЩÀý×Ó£¨»¯¹¤ÀࣩMATLABÔ´³ÌÐò
ÒѾÓÐ296È˻ظ´
ÇóÖúmatlab-simulinkÔËÐÐʱ±¨´íÎÊÌâ
ÒѾÓÐ3È˻ظ´
¡¾ÇóÖú¡¿Ïò¸÷λ´óÏÀÇóÖúmatlabÇó½â΢·Ö·½³Ì×éÓöµ½µÄÒ»¸öÎÊÌâ
ÒѾÓÐ21È˻ظ´
¡¾ÇóÖú¡¿matlabÔõôÇó½âƫ΢·Ö·½³Ì×é°¡£¬ÏÈллÁË
ÒѾÓÐ13È˻ظ´
umxiao
Ìú¸Ëľ³æ (ÕýʽдÊÖ)
- Ó¦Öú: 13 (СѧÉú)
- ½ð±Ò: 7129.1
- É¢½ð: 50
- ºì»¨: 6
- Ìû×Ó: 877
- ÔÚÏß: 184.9Сʱ
- ³æºÅ: 2203165
- ×¢²á: 2012-12-24
- רҵ: »ú¹¹Ñ§Óë»úÆ÷ÈË
¡ï ¡ï ¡ï ¡ï ¡ï ¡ï ¡ï ¡ï ¡ï ¡ï
ÊæÌ쳯»Ô: ½ð±Ò+10, ÇëÌṩ˼· 2015-02-07 17:08:16
ÊæÌ쳯»Ô: ½ð±Ò+10, ÇëÌṩ˼· 2015-02-07 17:08:16
| ¿´×źܸ´ÔÓ°¡ |
2Â¥2015-01-08 22:21:04
ÊæÌ쳯»Ô
ľ³æ (ÕýʽдÊÖ)
- Ó¦Öú: 2 (Ó×¶ùÔ°)
- ½ð±Ò: 2632.2
- É¢½ð: 71
- ºì»¨: 6
- Ìû×Ó: 559
- ÔÚÏß: 348.6Сʱ
- ³æºÅ: 2023407
- ×¢²á: 2012-09-23
- רҵ: ÌåÓýÊ·
3Â¥2015-01-12 10:43:32
4Â¥2015-01-12 10:52:49
idlerlestat
½ð³æ (³õÈëÎÄ̳)
- Ó¦Öú: 3 (Ó×¶ùÔ°)
- ½ð±Ò: 552.2
- Ìû×Ó: 14
- ÔÚÏß: 7.5Сʱ
- ³æºÅ: 3629498
- ×¢²á: 2015-01-06
- ÐÔ±ð: GG
- רҵ: µØÕðѧ
5Â¥2015-01-12 13:21:29
|
6Â¥2015-01-12 13:58:17
×øÆïÉϵĹúÍõ
гæ (³õÈëÎÄ̳)
- Ó¦Öú: 0 (Ó×¶ùÔ°)
- ½ð±Ò: 69.8
- Ìû×Ó: 17
- ÔÚÏß: 3.8Сʱ
- ³æºÅ: 6677735
- ×¢²á: 2017-06-03
- רҵ: µçÆø¿ÆÑ§Ó빤³Ì
7Â¥2018-08-26 20:25:56














»Ø¸´´ËÂ¥