| 查看: 2857 | 回复: 1 | |
[求助]
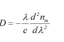
已知有效折射率和波长,已知色散的公式,求教一个程序,关于色散的。 已有1人参与
|
|
![]() |
|
|
|
|
|
2楼2018-05-15 17:33:30
|
|













回复此楼