| 查看: 615 | 回复: 1 | ||
[求助]
多层膜阻抗分析求助
|
|
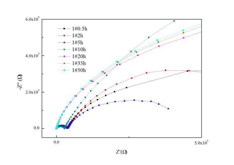
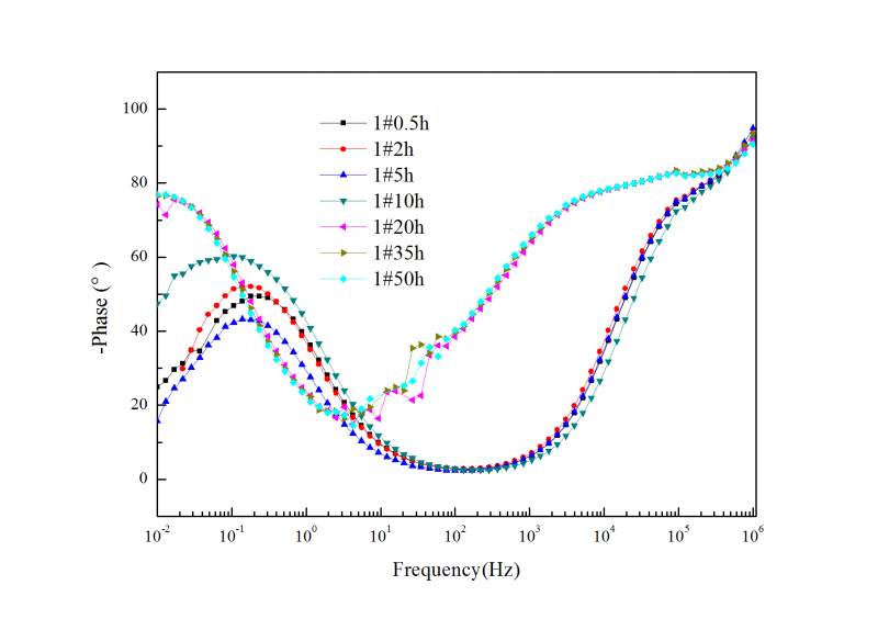
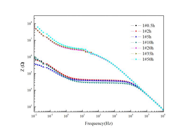
EIS1-2是EIS1-1的截图,请问各位大神通过Nyquist图和Bode图能看出什么,该怎么分析,怎么拟合等效电路呢? EIS-1#-1.jpg EIS-1#-2.jpg bode-1#-1.jpg Bode-1#-2.jpg |
» 猜你喜欢
求调剂,本科吉大,一志愿华工339
已经有2人回复
意大利博洛尼亚大学招聘研究助理2名(2D材料/锂离子与钠离子电池方向)
已经有1人回复
分析化学论文润色/翻译怎么收费?
已经有59人回复
关于碳量子点抗菌的研究
已经有15人回复
南大化学调剂
已经有11人回复
硫酸钠溶液浓度与密度曲线
已经有0人回复
0703调剂
已经有2人回复
1
已经有14人回复
0703 调剂
已经有4人回复
招收
已经有0人回复
» 本主题相关价值贴推荐,对您同样有帮助:
超级电容器交流阻抗分析交流
已经有5人回复
求助交流阻抗谱分析
已经有10人回复
电化学阻抗谱分析
已经有11人回复
阻抗拟合W的分析
已经有7人回复
压电厚膜用阻抗分析仪测介电常数
已经有16人回复
请高手推荐几个新手学习交流阻抗分析的资料,谢谢啦O(∩_∩)O
已经有23人回复
交流阻抗图谱分析
已经有23人回复
交流阻抗图谱的分析
已经有15人回复
半导体电化学阻抗图谱分析
已经有25人回复
电化学阻抗谱的分析,请高手指教,万分感谢!!
已经有32人回复
求助,阻抗谱图分析,低频区出现严重的阻抗实部收缩!
已经有16人回复
请问这样的阻抗复平面图怎么分析???
已经有7人回复
【求助】请教这个交流阻抗图普中的高频部分
已经有12人回复
【求助】请教阻抗谱图分析
已经有7人回复
【求助】交流阻抗谱图分析
已经有8人回复
【求助】请教交流阻抗图谱分析
已经有7人回复
【讨论】交流阻抗图分析起点、拐点以及直径
已经有10人回复
【求助】电化学阻抗分析
已经有16人回复
【求助】交流阻抗谱分析
已经有25人回复
Embraciiing
新虫 (初入文坛)
- 应助: 0 (幼儿园)
- 金币: 138.4
- 散金: 90
- 红花: 1
- 帖子: 37
- 在线: 23.5小时
- 虫号: 3949873
- 注册: 2015-07-02
- 专业: 药物化学
2楼2019-10-17 15:24:43













回复此楼
20