| 查看: 263 | 回复: 0 | |||
[交流]
求助质谱分析
|
|
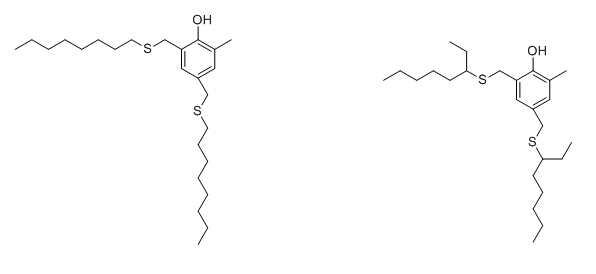
最近做了一个化合物,HNMR和HPLC分析了纯度没有问题,质谱的大部分峰也都OK,就是基峰是一个m/z=193的碎片,让小弟很不解,请教各位,可能是怎么断裂的? 化合物结构如下(左),由于合成原料辛醇中可能会含有一些异辛醇,所以可能有右边结构的产物: 1.png |
» 猜你喜欢
面上可以超过30页吧?
已经有8人回复
体制内长辈说体制内绝大部分一辈子在底层,如同你们一样大部分普通教师忙且收入低
已经有18人回复
网上报道青年教师午睡中猝死、熬夜猝死的越来越多,主要哪些原因引起的?
已经有5人回复
“人文社科而论,许多学术研究还没有达到民国时期的水平”
已经有6人回复
版面费该交吗
已经有13人回复
为什么中国大学工科教授们水了那么多所谓的顶会顶刊,但还是做不出宇树机器人?
已经有10人回复
什么是人一生最重要的?
已经有4人回复
找到一些相关的精华帖子,希望有用哦~
质谱分析求助-答案是A还是B,给出原因,谢谢。
已经有9人回复
关于热质联用质谱分析
已经有6人回复
求帮忙分析4个质谱子离子图
已经有20人回复
质谱分析蛋白质
已经有5人回复
质谱软件mzmine求助
已经有4人回复
求助分析两张ESI质谱图
已经有5人回复
关于质谱分析解析原理的问题
已经有6人回复
液相-质谱分析中的一个问题求助各位大侠
已经有10人回复
懂质谱的高人请进,质谱分析蛋白质后的结果看不懂
已经有13人回复
Waters质谱求助
已经有3人回复
求助,高分辨率质谱图解析
已经有21人回复
多糖质谱分析求助,差68
已经有8人回复
一级质谱与二级质谱
已经有10人回复
求助一张ESI-MS质谱图的解析
已经有3人回复
质谱数据分析原则
已经有6人回复
【求助】求助质谱解析
已经有9人回复
【求助】急求质谱模拟图的做法!
已经有4人回复
【讨论】如何解析质谱?
已经有16人回复
【求助】急求电喷雾质谱谱图的处理,谢谢!
已经有9人回复
【资源】质谱分析法
已经有13人回复
【求助】质谱分析 三级 四级
已经有10人回复
【求助】怎样看懂质谱图
已经有21人回复
科研从小木虫开始,人人为我,我为人人













回复此楼
点击这里搜索更多相关资源