版块导航
正在加载中...
客户端APP下载
论文辅导
调剂小程序
登录
注册
帖子
帖子
用户
本版
应《网络安全法》要求,自2017年10月1日起,未进行实名认证将不得使用互联网跟帖服务。为保障您的帐号能够正常使用,请尽快对帐号进行手机号验证,感谢您的理解与支持!
24小时热门版块排行榜
>
论坛更新日志
(638)
>
虫友互识
(64)
>
考博
(26)
>
导师招生
(15)
>
文献求助
(12)
>
硕博家园
(8)
>
基金申请
(7)
>
教师之家
(7)
>
找工作
(7)
>
考研
(7)
>
论文投稿
(7)
>
休闲灌水
(7)
>
博后之家
(6)
>
论文道贺祈福
(6)
>
公派出国
(3)
>
竞技体育
(1)
小木虫论坛-学术科研互动平台
»
化学化工区
»
电化学
»
电分析测试
»
求大神帮忙看cv图
10
1/1
返回列表
查看: 1621 | 回复: 9
只看楼主
@他人
存档
新回复提醒
(忽略)
收藏
在APP中查看
S颖~~
金虫
(正式写手)
应助: 0
(幼儿园)
金币: 987.4
散金: 113
红花: 2
帖子: 351
在线: 74.3小时
虫号: 2278772
注册: 2013-02-10
性别:
MM
专业: 纤维
[
求助
]
求大神帮忙看cv图
已有5人参与
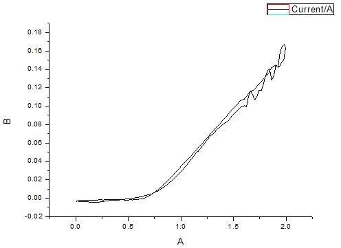
扫描速率5mv/s,感觉这都是什么啊?是不是我的图扫描范围错了,或者有其他什么可能的问题呢,下边分别是第一圈第二圈第三圈
1.jpg
2.jpg
3.jpg
回复此楼
» 猜你喜欢
德国Karlsruhe Institute of Technology招收电化学储能及联合培养CSC博士等
已经有20人回复
德国Karlsruhe Institute of Technology招收电化学储能及联合培养CSC博士
已经有24人回复
分析化学论文润色/翻译怎么收费?
已经有64人回复
德国Karlsruhe Institute of Technology招收电化学储能及联合培养CSC博士
已经有1人回复
固态锂金属电池迁移数计算求助
已经有1人回复
荷兰奈梅亨大学赵文博与Galimberti课题组招收理论计算CSC博士 2000 欧元/月+房补
已经有0人回复
26储能博士申请自荐
已经有22人回复
上海交通大学--宁波东方理工大学电池方向博士招生
已经有10人回复
海南大学全国重点实验室杨金霖老师招收储能电池方向博士生(2026年3月报名,9月入学)
已经有0人回复
海南师范大学2026年博士研究生招收 (在职想提升学历人员可报考) 申请考核制+普通招考
已经有0人回复
申博求助
已经有0人回复
» 本主题相关价值贴推荐,对您同样有帮助:
哪位大神帮忙鉴定下我这是什么状况
已经有15人回复
求大神帮忙分析一下这些透射图。。。菜鸟级别,越通俗易懂越好。多谢!
已经有7人回复
求助numeca大神
已经有11人回复
哪位大神看看这是什么组织,怎么分析
已经有4人回复
Tecplot新手求各位大神指导
已经有6人回复
求大神帮忙翻译
已经有2人回复
求助,,急求,,,大神 ,人命关天
已经有17人回复
求助各位大神指点迷津,CV曲线为啥是这个样子了?
已经有11人回复
急急急急急急,TEM测试的图太模糊了,求大神帮忙分析原因!
已经有19人回复
求大神分析EIS图
已经有6人回复
新手,第一次IF试验结果,求大神分析
已经有9人回复
CV测试时的问题,请各位大神进来看下帮帮我这个新手
已经有15人回复
有没有人通过scholar one系统投稿,真心求大神指教。关于第一作者和通讯作者
已经有8人回复
初入电化学,求大神指教这个CV图的意义
已经有4人回复
BET 吸脱附曲线分析,求大神帮忙
已经有6人回复
求翻译这份简历,谢谢各位大神!!
已经有3人回复
CV作图求助,大神们,急急急求
已经有14人回复
【求助】这样的CV曲线反映了什么过程?
已经有7人回复
大神来帮忙解释一下,上下两个图是什么意思
已经有10人回复
求大神帮我分析下胶带~
已经有9人回复
大神帮我分析分析CV曲线吧,小妹跪求
已经有5人回复
1楼
2014-08-28 12:20:48
已阅
回复此楼
关注TA
给TA发消息
送TA红花
TA的回帖
zztl1987
捐助贵宾
(小有名气)
应助: 24
(小学生)
金币: 60.3
散金: 140
红花: 1
帖子: 178
在线: 71.7小时
虫号: 2163301
注册: 2012-12-03
性别: GG
专业: 电化学分析
【答案】应助回帖
★ ★ ★ ★
感谢参与,应助指数 +1
S颖~~: 金币+4
2014-10-04 12:46:58
你得说明一下你的测试环境才行,比如什么电极,电解液是什么
[ 发自小木虫客户端 ]
赞
一下
回复此楼
2楼
2014-08-28 12:51:28
已阅
回复此楼
关注TA
给TA发消息
送TA红花
TA的回帖
langzhizhou
版主
(职业作家)
ECEPI: 13
应助: 1072
(博后)
贵宾: 1.631
金币: 32033.8
散金: 6372
红花: 305
帖子: 3172
在线: 409.1小时
虫号: 507377
注册: 2008-02-19
性别: GG
专业: 电化学
管辖:
电化学
【答案】应助回帖
感谢参与,应助指数 +1
你做个仔细的图,横纵轴的单位也列上,有相似的参考图吗?
对比一下,看看LZ的图有可能哪里的问题;
赞
一下
回复此楼
何处高楼无可醉,谁家红袖不相怜!
3楼
2014-08-28 21:09:13
已阅
回复此楼
关注TA
给TA发消息
送TA红花
TA的回帖
124962319
铁虫
(初入文坛)
应助: 3
(幼儿园)
金币: 22.9
帖子: 9
在线: 5.4小时
虫号: 656491
注册: 2008-11-17
性别: GG
专业: 无机材料化学
【答案】应助回帖
★ ★ ★
感谢参与,应助指数 +1
S颖~~: 金币+3,
★★★
很有帮助
2014-09-10 10:24:38
你的样品通电后不稳定,会自身反应或分解?
赞
一下
回复此楼
4楼
2014-08-29 11:05:10
已阅
回复此楼
关注TA
给TA发消息
送TA红花
TA的回帖
MBI-Al
银虫
(小有名气)
应助: 36
(小学生)
金币: 367.7
红花: 3
帖子: 251
在线: 67.9小时
虫号: 3341179
注册: 2014-07-27
专业: 电化学
【答案】应助回帖
★ ★ ★
感谢参与,应助指数 +1
S颖~~: 金币+3,
★★★
很有帮助
2014-09-10 10:31:20
不稳定可能 下一次的氧化过程把上次回扫过程中辛苦建立起来的电极表面界面膜又给氧化掉了,导致下次循环反应又持续的进行,
赞
一下
回复此楼
5楼
2014-08-29 15:32:35
已阅
回复此楼
关注TA
给TA发消息
送TA红花
TA的回帖
S颖~~
金虫
(正式写手)
应助: 0
(幼儿园)
金币: 987.4
散金: 113
红花: 2
帖子: 351
在线: 74.3小时
虫号: 2278772
注册: 2013-02-10
性别:
MM
专业: 纤维
引用回帖:
4楼
:
Originally posted by
124962319
at 2014-08-29 11:05:10
你的样品通电后不稳定,会自身反应或分解?
对的,我是利用循环伏安的电压变化,以期待看出工作电极的表面变化,可是为什么我的图这么多峰呢,我就很郁闷了,你还能指点几句么?谢谢
赞
一下
回复此楼
6楼
2014-09-10 10:27:37
已阅
回复此楼
关注TA
给TA发消息
送TA红花
TA的回帖
S颖~~
金虫
(正式写手)
应助: 0
(幼儿园)
金币: 987.4
散金: 113
红花: 2
帖子: 351
在线: 74.3小时
虫号: 2278772
注册: 2013-02-10
性别:
MM
专业: 纤维
引用回帖:
5楼
:
Originally posted by
MBI-Al
at 2014-08-29 15:32:35
不稳定可能 下一次的氧化过程把上次回扫过程中辛苦建立起来的电极表面界面膜又给氧化掉了,导致下次循环反应又持续的进行,
对的,我是把碳纤维作为工作电极,放在溶液中,看能有什么反应的,但是,有什么办法能让它稳定呢?难道是我的溶液不行?
赞
一下
回复此楼
7楼
2014-09-10 10:30:47
已阅
回复此楼
关注TA
给TA发消息
送TA红花
TA的回帖
S颖~~
金虫
(正式写手)
应助: 0
(幼儿园)
金币: 987.4
散金: 113
红花: 2
帖子: 351
在线: 74.3小时
虫号: 2278772
注册: 2013-02-10
性别:
MM
专业: 纤维
引用回帖:
5楼
:
Originally posted by
MBI-Al
at 2014-08-29 15:32:35
不稳定可能 下一次的氧化过程把上次回扫过程中辛苦建立起来的电极表面界面膜又给氧化掉了,导致下次循环反应又持续的进行,
还有,我感觉那些峰过多啊?可能是什么原因呢?
赞
一下
回复此楼
8楼
2014-09-10 10:35:10
已阅
回复此楼
关注TA
给TA发消息
送TA红花
TA的回帖
3.1415926535
铁杆木虫
(著名写手)
应助: 18
(小学生)
金币: 9993.1
散金: 591
红花: 4
帖子: 1910
在线: 454.9小时
虫号: 551278
注册: 2008-04-26
专业: 电化学分析
【答案】应助回帖
你具体是上面体系下做的,结果相差非常大
赞
一下
回复此楼
9楼
2014-09-10 14:09:23
已阅
回复此楼
关注TA
给TA发消息
送TA红花
TA的回帖
YAN16070982
金虫
(著名写手)
126
应助: 4
(幼儿园)
金币: 2387
散金: 491
红花: 13
帖子: 1168
在线: 127.3小时
虫号: 2324237
注册: 2013-03-06
性别:
MM
专业: 碳素材料与超硬材料
是不是气体通的原因啊
赞
一下
回复此楼
10楼
2014-12-14 10:29:37
已阅
回复此楼
关注TA
给TA发消息
送TA红花
TA的回帖
相关版块跳转
有机交流
有机资源
高分子
无机/物化
分析
催化
工艺技术
化工设备
石油化工
精细化工
电化学
环境
SciFinder/Reaxys
我要订阅楼主
S颖~~
的主题更新
10
1/1
返回列表
如果回帖内容含有宣传信息,请如实选中。否则帐号将被全论坛禁言
普通表情
龙
兔
虎
猫
百度网盘
|
360云盘
|
千易网盘
|
华为网盘
在新窗口页面中打开自己喜欢的网盘网站,将文件上传后,然后将下载链接复制到帖子内容中就可以了。
信息提示
关闭
请填处理意见
关闭
确定