24小时热门版块排行榜    

查看: 426  |  回复: 1

anathma

新虫 (初入文坛)

[求助] 用matlab拟合积分方程- 急用!坐等!非常感谢!

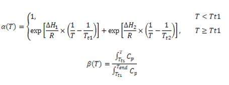
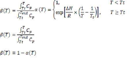
方程如下,

用matlab拟合积分方程- 急用!坐等!非常感谢!
自变量是T,因变量是Cp。Tt 和ΔH 是拟合常数。请用 β(T) 对T作图,并根据以上方程拟合得出Tt 和ΔH的值。(Tend是数据的最后一个T值。)

以上是对于曲线只有一个峰值的情况,对于两个峰的情况,方程有一点小改动,如下,
用matlab拟合积分方程- 急用!坐等!非常感谢!-1
作图要求跟第一种情况一样。因为本人对于matlab知之甚少,哪怕是一点小改动对于我来说都是座高山,所以只能劳烦高手了。附件里有单峰和双峰的数据举例。第一列是T值,第二列是Cp值。

另外以下是我曾经找一个朋友帮忙做的程序,当时对方程的理解错误,把Cp完全积分出来作为Y值拟合的,结果在Tt转折点附近总是积分不好,程序和拟合结果如下,(相应的数据也在附件里面,data.txt)。希望能有参考价值。
clc
clear all
close all

d = load('data.txt',  '-ASCII');


XX = d(:,1);
YY = d(:,2);

%idx = (XX>280);
idx = (XX>304);
X = XX(idx)
Y = YY(idx);

R = 8.314;

f = @(a,x)a(1)*(1-exp( a(2)/R * (1./x - 1/a(3)))  ) ;
% hyperbolic-like
%f = @(a,x)a(1) * (1-(1-exp( a(2)/R * (1./x - 1/a(3))) ) ./ (1 + exp( a(2)/R * (1./x-1/a(3))) )) ;

a0 = [1400 220000 304]
[a1,r] = nlinfit(X, Y, f, a0);
A = a1(1)
B = a1(2)
T = a1(3)


mse = sum(r.^2)/(length(r)-length(a1))

plot(XX,YY,'k', XX, f(a1,XX), 'r')
ylabel('$\Delta \hat{H}(T) \quad / \quad kCal \cdot mol^{-1} \cdot K^{-1}$','Interpreter','LaTex')
xlabel('$T \quad / \quad K$','interpreter','latex')
legend('data', 'fitted param')
axis([XX(1), XX(end), YY(1), YY(end)])

用matlab拟合积分方程- 急用!坐等!非常感谢!-2
回复此楼

» 本帖附件资源列表

  • 欢迎监督和反馈:小木虫仅提供交流平台,不对该内容负责。
    本内容由用户自主发布,如果其内容涉及到知识产权问题,其责任在于用户本人,如对版权有异议,请联系邮箱:xiaomuchong@tal.com
  • 附件 1 : 双峰.txt
  • 2014-08-21 02:26:38, 12.11 K
  • 附件 2 : 单峰.txt
  • 2014-08-21 03:16:56, 6.1 K
  • 附件 3 : data.txt
  • 2014-08-21 03:17:38, 9.51 K

» 猜你喜欢

» 本主题相关价值贴推荐,对您同样有帮助:

已阅   回复此楼   关注TA 给TA发消息 送TA红花 TA的回帖

anathma

新虫 (初入文坛)

各位大神帮帮忙啊
2楼2014-08-21 22:29:33
已阅   回复此楼   关注TA 给TA发消息 送TA红花 TA的回帖
相关版块跳转 我要订阅楼主 anathma 的主题更新
最具人气热帖推荐 [查看全部] 作者 回/看 最后发表
[考研] 材料292调剂 +3 橘颂思美人 2026-03-23 3/150 2026-03-23 19:36 by pswait
[考研] 070300化学求调剂 +7 苑豆豆 2026-03-20 7/350 2026-03-23 18:38 by macy2011
[考研] 0854电子信息求调剂 324 +3 Promise-jyl 2026-03-23 3/150 2026-03-23 13:43 by wangkm
[考研] 石河子大学(211、双一流)硕博研究生长期招生公告 +3 李子目 2026-03-22 3/150 2026-03-22 21:01 by 怎么释怀
[考研] 315分,诚求调剂,材料与化工085600 +3 13756423260 2026-03-22 3/150 2026-03-22 20:11 by edmund7
[考研] 306求调剂 +5 来好运来来来 2026-03-22 5/250 2026-03-22 16:17 by BruceLiu320
[考研] 材料求调剂 +5 @taotao 2026-03-21 5/250 2026-03-21 20:55 by lbsjt
[考研] 材料工程专硕 348分求调剂 +3 冬辞. 2026-03-17 5/250 2026-03-21 18:47 by 学员8dgXkO
[考研] 一志愿南大,0703化学,分数336,求调剂 +3 收到VS 2026-03-21 3/150 2026-03-21 18:42 by 学员8dgXkO
[考研] 求调剂 +3 13341 2026-03-20 3/150 2026-03-21 18:28 by 学员8dgXkO
[考研] 【考研调剂】化学专业 281分,一志愿四川大学,诚心求调剂 +11 吃吃吃才有意义 2026-03-19 11/550 2026-03-21 18:23 by 学员8dgXkO
[考研] 313求调剂 +4 肆叁贰壹22 2026-03-19 4/200 2026-03-21 17:33 by ColorlessPI
[考研] 299求调剂 +5 shxchem 2026-03-20 7/350 2026-03-21 17:09 by ColorlessPI
[考研] 266求调剂 +3 哇呼哼呼哼 2026-03-20 3/150 2026-03-21 16:46 by barlinike
[考研] 材料与化工(0856)304求 B区 调剂 +3 邱gl 2026-03-21 3/150 2026-03-21 13:47 by lature00
[考研] 085601调剂 358分 +3 zzzzggh 2026-03-20 4/200 2026-03-21 10:21 by luoyongfeng
[考研] 求调剂 +6 Mqqqqqq 2026-03-19 6/300 2026-03-21 08:04 by JourneyLucky
[考研] 303求调剂 +5 睿08 2026-03-17 7/350 2026-03-21 03:11 by JourneyLucky
[考研] 材料 336 求调剂 +3 An@. 2026-03-18 4/200 2026-03-21 01:39 by JourneyLucky
[考研] 考研调剂 +3 淇ya_~ 2026-03-17 5/250 2026-03-17 09:25 by Winj1e
信息提示
请填处理意见