| 查看: 897 | 回复: 5 | |
ZZCQQ木虫 (正式写手)
早起哒虫砸有鸟吃(⊙o⊙)
|
[求助]
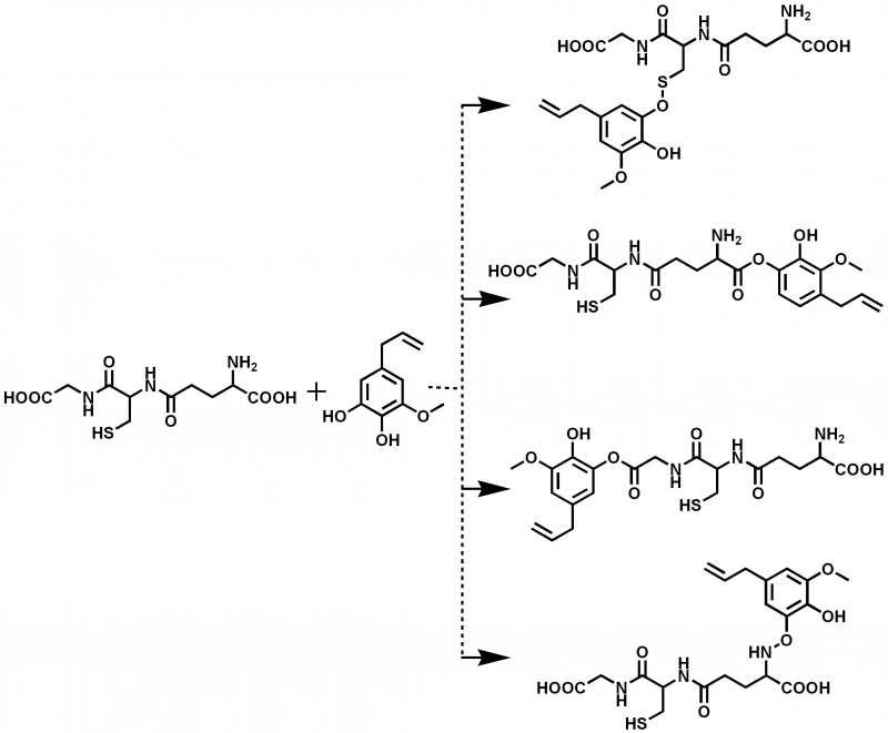
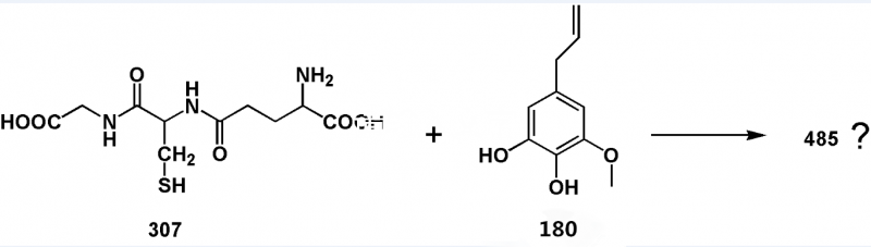
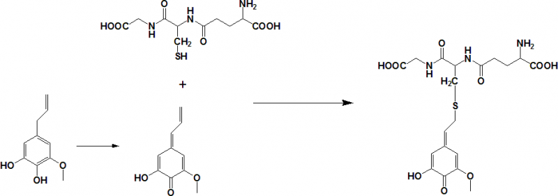
求教大侠这两个结构是怎么结合的呀?结合之后分子量少了2,谢谢~ 已有1人参与
|
![]() |
|
|
|
|
wy19871124新虫 (职业作家)
质谱首席顾问
|
|
|
2楼2014-07-12 13:20:42
|
|
ZZCQQ木虫 (正式写手)
早起哒虫砸有鸟吃(⊙o⊙)
|
|
![]() |
|
|
3楼2014-07-12 15:18:17
|
|
ZZCQQ木虫 (正式写手)
早起哒虫砸有鸟吃(⊙o⊙)
|
|
![]() |
|
|
4楼2014-07-12 15:24:00
|
|
wy19871124新虫 (职业作家)
质谱首席顾问
|
|
|
5楼2014-07-12 15:25:47
|
|
ZZCQQ木虫 (正式写手)
早起哒虫砸有鸟吃(⊙o⊙)
|
|
![]() |
|
|
6楼2014-07-12 15:30:27
|
|














回复此楼
