| 查看: 1648 | 回复: 12 | |||
liuxiao0108金虫 (正式写手)
|
[求助]
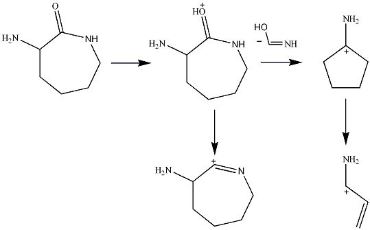
实验得到一张质谱图,麻烦各位大哥帮忙解析一下这,含有结构式。 已有3人参与
|
||
|
|
|||
liuxiao0108金虫 (正式写手)
|
|||
|
2楼2014-03-07 18:03:11
|
|
||
lifucheng专家顾问 (知名作家)
|
|||
|
3楼2014-03-07 20:42:09
|
|
||
liuxiao0108金虫 (正式写手)
|
|||
|
4楼2014-03-07 21:01:42
|
|
||
lifucheng专家顾问 (知名作家)
|
|||
|
5楼2014-03-07 21:07:07
|
|
||
liuxiao0108金虫 (正式写手)
|
|||
|
6楼2014-03-07 21:31:20
|
|
||
phoenix_leo新虫 (小有名气)
|
|||
![]() |
|||
|
7楼2014-03-07 22:29:13
|
|
||
wy19871124新虫 (职业作家)
质谱首席顾问
|
|||
|
8楼2014-03-08 13:57:57
|
|
||
liuxiao0108金虫 (正式写手)
|
|||
|
9楼2014-03-08 20:01:26
|
|
||
liuxiao0108金虫 (正式写手)
|
|||
|
10楼2014-03-08 20:02:47
|
|













回复此楼


liuxiao0108
5