| ²é¿´: 4018 | »Ø¸´: 8 | |||
Ó£ÂäÇåÇïÒø³æ (³õÈëÎÄ̳)
|
[ÇóÖú]
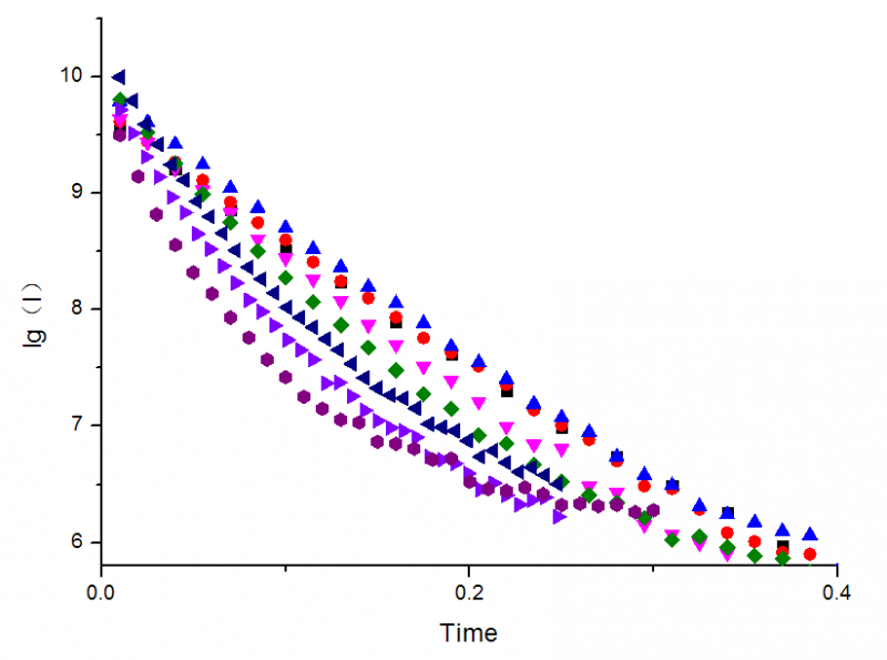
Ó«¹âÊÙÃüÖ¸ÊýºÍ¶ÔÊýת»»ÄâºÏµÄÎÊÌâ~~
|
²Ø¾¸ó | ѧÊõ |
» ²ÂÄãϲ»¶
ɽÎ÷´óͬ´óѧÎïÀíѧ˶ʿÑо¿ÉúÕÐÊÕµ÷¼ÁÉú
ÒѾÓÐ0È˻ظ´
[µ÷¼ÁÐÅÏ¢]211ÖÇÄÜÈ˹¤¸ÐÖª·½Ïò¹ú¼ÒÇàÄêÌØÆ¸×¨¼Ò¿ÎÌâ×éÕÐÊÕµ÷¼ÁÑо¿Éú
ÒѾÓÐ0È˻ظ´
ÎïÀíѧIÂÛÎÄÈóÉ«/·ÒëÔõôÊÕ·Ñ?
ÒѾÓÐ283È˻ظ´
£Ûµ÷¼ÁÐÅÏ¢£Ý211ÖÇÄÜÈ˹¤¸ÐÖª·½Ïò¹ú¼ÒÇàÄêÌØÆ¸×¨¼Ò¿ÎÌâ×éÕÐÊÕµ÷¼ÁÑо¿Éú
ÒѾÓÐ0È˻ظ´
[µ÷¼ÁÐÅÏ¢]211ÖÇÄÜÈ˹¤¸ÐÖª·½Ïò¹ú¼ÒÇàÄêÌØÆ¸×¨¼Ò¿ÎÌâ×éÕÐÊÕµ÷¼ÁÑо¿Éú
ÒѾÓÐ0È˻ظ´
0702Ò»Ö¾Ô¸¼ª´óBÇøÇóµ÷¼Á ±¾¿ÆÆÚ¼ä·¢±íһƪSci
ÒѾÓÐ2È˻ظ´
070200Çóµ÷¼Á£¬Ò»Ö¾Ô¸Ä³211£¬288·Ö
ÒѾÓÐ18È˻ظ´
·¨¹ú²©Ê¿ºóְλ
ÒѾÓÐ0È˻ظ´
ÖØÇì½»´ó26Äê˶ʿÉúÕÐÉúÄâµ÷¼Á֪ͨÒѳö£¡»¶Ó¼ÓÈë»úÆ÷ÊÓ¾õÓë3D¹âѧ³ÉÏñ¿ÎÌâ×é¡£
ÒѾÓÐ0È˻ظ´
» ±¾Ö÷ÌâÏà¹Ø¼ÛÖµÌùÍÆ¼ö£¬¶ÔÄúͬÑùÓаïÖú:
origin Ö¸ÊýË¥¼õÄâºÏ
ÒѾÓÐ9È˻ظ´
MATLABÇúÏßÄâºÏ
ÒѾÓÐ10È˻ظ´
ÈçºÎ¸ù¾Ý΢ÉúÎï×ǶÈDO600£¬¼ÆËãÉú³¤ËÙÂʳ£Êý
ÒѾÓÐ3È˻ظ´
ÇëÎÊ1stopt ÄâºÏ³öÀ´µÄÇúÏßÔõô°ÑËüµÄ×ø±ê»»³ÉË«¶ÔÊý×ø±ê£¿
ÒѾÓÐ5È˻ظ´
ÈçºÎ¼ÆËã¶ÔÊýº¯ÊýºÍÖ¸Êýº¯Êý³Ë»ýµÄ»ý·Ö
ÒѾÓÐ38È˻ظ´
¡¾ÇóÖú¡¿ Á¿×Óµã ÊÙÃü ˫ָÊýÄâºÏ¶ÔÓ¦µÄÎïÀí¹ý³Ì ¡¾ÇóÖú¡¿
ÒѾÓÐ8È˻ظ´
ÇóÖúoriginÇúÏßÄâºÏµÄÒ»¸öÎÊÌâ
ÒѾÓÐ6È˻ظ´
ÇóÖú×îС¶þ³Ë·¨ÄâºÏ
ÒѾÓÐ4È˻ظ´
±àд×îС¶þ³Ë·¨µÄ³ÌÐòÎÊÌâ
ÒѾÓÐ8È˻ظ´
Ö¸ÊýµÄÖ¸Êýº¯Êýy£½exp(exp(-x))
ÒѾÓÐ10È˻ظ´
origin ²»ÄÜÄâºÏÖ¸Êýº¯Êýô£¿
ÒѾÓÐ5È˻ظ´
×îС¶þ³Ë·¨·ÇÏßÐÔÄâºÏµÄ²ÎÊýÎó²îÈçºÎÈ·¶¨£¿
ÒѾÓÐ3È˻ظ´
Ï¡ÍÁÀë×ÓÓ«¹âÊÙÃüÄâºÏÎÊÌâ
ÒѾÓÐ8È˻ظ´
¡¾ÇóÖú¡¿Ë«Ö¸ÊýÇúÏßÄâºÏ
ÒѾÓÐ8È˻ظ´
¡¾ÇóÖú¡¿ÇóÖú¸÷λ³æÓÑoringin 8 ¶ÔÊý×ø±êÏßÐÔÄâºÏÎÊÌâ
ÒѾÓÐ5È˻ظ´
¡¾ÇóÖú¡¿×îС¶þ³Ë·¨±àдָÊýÄâºÏ·½³Ì
ÒѾÓÐ19È˻ظ´
¡¾ÇóÖú¡¿ÈÈËÜÐÔËÜÁÏÈÛÈÚÖ¸Êý¶àÉÙÒÔÉϲÅÊʺÏ×¢Éä³ÉÐÍ
ÒѾÓÐ17È˻ظ´
¡¾ÇóÖú¡¿×îС¶þ³Ë·¨Çó²ÎÊý
ÒѾÓÐ6È˻ظ´
¡¾ÇóÖú¡¿×îС¶þ³Ë·¨µÄÄâºÏÎÊÌâ
ÒѾÓÐ4È˻ظ´
rayquazasnow
ľ³æ (СÓÐÃûÆø)
- Ó¦Öú: 4 (Ó×¶ùÔ°)
- ½ð±Ò: 4151.9
- ºì»¨: 7
- Ìû×Ó: 81
- ÔÚÏß: 248.5Сʱ
- ³æºÅ: 1491074
- ×¢²á: 2011-11-14
- ÐÔ±ð: GG
- רҵ: °ëµ¼Ìå²ÄÁÏ
2Â¥2014-07-03 17:51:00
Ó£ÂäÇåÇï
Òø³æ (³õÈëÎÄ̳)
- Ó¦Öú: 1 (Ó×¶ùÔ°)
- ½ð±Ò: 745
- É¢½ð: 10
- Ìû×Ó: 21
- ÔÚÏß: 23.4Сʱ
- ³æºÅ: 2414130
- ×¢²á: 2013-04-12
- רҵ: °ëµ¼Ìå²ÄÁÏ
3Â¥2014-07-04 17:24:31
luojian88
гæ (ÕýʽдÊÖ)
- Ó¦Öú: 15 (СѧÉú)
- ½ð±Ò: 1518.1
- É¢½ð: 109
- ºì»¨: 11
- Ìû×Ó: 434
- ÔÚÏß: 199.3Сʱ
- ³æºÅ: 1540049
- ×¢²á: 2011-12-16
- ÐÔ±ð: GG
- רҵ: ÎÞ»úÄÉÃ×»¯Ñ§

4Â¥2014-09-30 13:38:10
Ó£ÂäÇåÇï
Òø³æ (³õÈëÎÄ̳)
- Ó¦Öú: 1 (Ó×¶ùÔ°)
- ½ð±Ò: 745
- É¢½ð: 10
- Ìû×Ó: 21
- ÔÚÏß: 23.4Сʱ
- ³æºÅ: 2414130
- ×¢²á: 2013-04-12
- רҵ: °ëµ¼Ìå²ÄÁÏ
5Â¥2014-10-05 19:56:25
yaxiao
Òø³æ (³õÈëÎÄ̳)
- Ó¦Öú: 0 (Ó×¶ùÔ°)
- ½ð±Ò: 365.5
- É¢½ð: 50
- Ìû×Ó: 22
- ÔÚÏß: 23.1Сʱ
- ³æºÅ: 1727575
- ×¢²á: 2012-03-30
- ÐÔ±ð: MM
- רҵ: Åäλ»¯Ñ§

6Â¥2018-04-12 10:54:09
yaxiao
Òø³æ (³õÈëÎÄ̳)
- Ó¦Öú: 0 (Ó×¶ùÔ°)
- ½ð±Ò: 365.5
- É¢½ð: 50
- Ìû×Ó: 22
- ÔÚÏß: 23.1Сʱ
- ³æºÅ: 1727575
- ×¢²á: 2012-03-30
- ÐÔ±ð: MM
- רҵ: Åäλ»¯Ñ§

7Â¥2018-04-12 10:55:06
yaxiao
Òø³æ (³õÈëÎÄ̳)
- Ó¦Öú: 0 (Ó×¶ùÔ°)
- ½ð±Ò: 365.5
- É¢½ð: 50
- Ìû×Ó: 22
- ÔÚÏß: 23.1Сʱ
- ³æºÅ: 1727575
- ×¢²á: 2012-03-30
- ÐÔ±ð: MM
- רҵ: Åäλ»¯Ñ§

8Â¥2018-04-12 10:57:12
WitchÓÀ
гæ (СÓÐÃûÆø)
- Ó¦Öú: 1 (Ó×¶ùÔ°)
- ½ð±Ò: 196.1
- ºì»¨: 2
- Ìû×Ó: 54
- ÔÚÏß: 46.2Сʱ
- ³æºÅ: 4081687
- ×¢²á: 2015-09-18
- ÐÔ±ð: MM
- רҵ: Äý¾Û̬ÎïÐÔ II £ºµç×ӽṹ
9Â¥2019-05-21 15:50:25














»Ø¸´´ËÂ¥