| ²é¿´: 2705 | »Ø¸´: 8 | ||
fbfeng_1988½ð³æ (Ö°Òµ×÷¼Ò)
|
[ÇóÖú]
BET ʵÑé½á¹û³öÀ´ÁË£¬¼øÓÚ²»»á·ÖÎö£¬»¹Íû¸÷λ´óÉñÖ¸½Ì ÒÑÓÐ2È˲ÎÓë
|
|
ÀûÓÃBETʵÑé½á¹û×öÁ˼¸·ùͼ£¬µ«ÊDz»ÖªµÀÔõô·ÖÎö£¬»¹Íû¸÷λ´óÉñ²»Áߴͽ̣¬Ð¡µÜÔÚ´Ëл¹ý¡£¡£¡£ ͼƬ1.png ͼƬ2.png ͼƬ3.png |
» ²ÂÄãϲ»¶
0817Ò»Ö¾Ô¸ËÕÖÝ´óѧ280¸´ÊÔµ÷¼Á
ÒѾÓÐ9È˻ظ´
0817ÕÒµ÷¼Á
ÒѾÓÐ6È˻ظ´
»¯Ñ§¹¤³Ì¼°¹¤Òµ»¯Ñ§ÂÛÎÄÈóÉ«/·ÒëÔõôÊÕ·Ñ?
ÒѾÓÐ249È˻ظ´
PDFÔÚÏßѹËõÈí¼þ
ÒѾÓÐ5È˻ظ´
²ÄÁÏ/»¯Ñ§Ïà¹Ø×¨Òµ2026¼¶Ñ§Êõ/רҵÐÍ˶ʿÑо¿Éú
ÒѾÓÐ19È˻ظ´
Çó´ß»¯×÷Óûù´¡µÚÈý°æ £¨Õ翪¼ª) ¿Î¼þ
ÒѾÓÐ3È˻ظ´
26Äê²ÄÁÏ/»¯Ñ§Ïà¹Ø×¨Òµ²©Ê¿Ñо¿ÉúÕÐÉú ÎÂÖÝ´óѧ»¯Ñ§Óë²ÄÁϹ¤³ÌѧԺ(26ÄêÇï¼¾Èëѧ)
ÒѾÓÐ0È˻ظ´
ÇóÖúµç´ß»¯¼ÁÖÆ±¸£¬ÔõôÔÚ̼²¼±íÃæÉú³¤PdCoºÏ½ð
ÒѾÓÐ0È˻ظ´
ÇóÖúµç´ß»¯¼ÁÖÆ±¸£¬ÔõôÔÚ̼²¼±íÃæÉú³¤PdCoºÏ½ð
ÒѾÓÐ0È˻ظ´
304Çóµ÷¼Á
ÒѾÓÐ3È˻ظ´
» ±¾Ö÷ÌâÏà¹Ø¼ÛÖµÌùÍÆ¼ö£¬¶ÔÄúͬÑùÓаïÖú:
С°×ÇóÖúBET·ÖÎö
ÒѾÓÐ5È˻ظ´
¼±¼±¼±¼±¼±¼±£¬TEM²âÊÔµÄͼ̫ģºýÁË£¬Çó´óÉñ°ïæ·ÖÎöÔÒò£¡
ÒѾÓÐ19È˻ظ´
°ïæ¿´ÏÂBET½á¹û£¬Õ¦·ÖÎö°¡£¬Ð»Ð»
ÒѾÓÐ13È˻ظ´
¹¤×÷»¹ÊÇÔõÑù£¿Çë´óÉñ°ïæ·ÖÎö·ÖÎö¡£
ÒѾÓÐ6È˻ظ´
BET ÎüÍѸ½ÇúÏß·ÖÎö£¬Çó´óÉñ°ïæ
ÒѾÓÐ6È˻ظ´
BETÊý¾Ý±¨¸æµ¥³öÀ´ÁË Ôõô´¦Àí
ÒѾÓÐ7È˻ظ´
BET²âÊÔ£¬¹ØÓÚ¿×¾¶·Ö²¼µÄ¼ÆËãÎÊÌâ
ÒѾÓÐ4È˻ظ´
Çë½ÌSBA-15¼°Æä¸´ºÏ²ÄÁϵĵªÆøÎü¸½½á¹û·ÖÎö
ÒѾÓÐ3È˻ظ´
һƪºÜ²»´íµÄ¹ØÓÚBET¡¢BJH¡¢H-K¡¢T-PlotµÈÀíÂÛÄ£Ð͵ÄPPT
ÒѾÓÐ262È˻ظ´
BET ¿×¾¶·Ö²¼Í¼·ÖÎö
ÒѾÓÐ10È˻ظ´
2014Ä꿼ÑÐ Ï뿼ÄϾ©´óѧ»·¾³¹¤³Ì Íû´óÉñÖ¸½Ì
ÒѾÓÐ6È˻ظ´
°ïæ·ÖÎöһϵÈÎÂÎüÍѸ½ÇúÏß
ÒѾÓÐ10È˻ظ´
Çó¸÷λ´óϺ¶ÔÎÒ×öµÄµªÆøÎü¸½ÇúÏß·ÖÎöһϣ¬Íò·Ö¸Ðл£¡
ÒѾÓÐ11È˻ظ´
ÇëÎÊ£¬ÈçºÎÔÚBETʵÑéÊý¾ÝÖÐѰÕÒ¿×Ìå»ý£¬Æ½¾ù¿×¾¶ºÍ¼ÆËã¿×϶ÂÊ£¿Ï£ÍûÄÄλ´óÉñ½â´ð¡£
ÒѾÓÐ16È˻ظ´
½ô¼±ÇóÖú£¡¹ØÓÚBET µªÆøÎüÍѸ½ÇúÏߵķÖÎö
ÒѾÓÐ9È˻ظ´
Çë½Ì̼²ÄÁϵĵªÆøÎü¸½ÍѸ½ÇúÏß·ÖÎö£¡Çë¸÷λ´óÉñ²»Áߴͽ̣¡~~
ÒѾÓÐ5È˻ظ´
¡¾Çë½Ì¡¿ÄÉÃײÄÁÏBET½á¹û·ÖÎö
ÒѾÓÐ18È˻ظ´

ÉϹÙСÏÉ
ľ³æ (ÖøÃûдÊÖ)
ǰÊÀ½ñÉú
- C-EPI: 2
- Ó¦Öú: 291 (´óѧÉú)
- ¹ó±ö: 0.038
- ½ð±Ò: 4190.1
- É¢½ð: 2000
- ºì»¨: 94
- Ìû×Ó: 1334
- ÔÚÏß: 187.1Сʱ
- ³æºÅ: 1730712
- ×¢²á: 2012-04-01
- ÐÔ±ð: GG
- רҵ: µç»úÓëµçÆ÷
¡¾´ð°¸¡¿Ó¦Öú»ØÌû
¡ï ¡ï ¡ï ¡ï ¡ï ¡ï ¡ï ¡ï ¡ï ¡ï ¡ï
fbfeng_1988(jiangyun2´ú·¢): ½ð±Ò+1, лл»ØÌû½»Á÷£¬»¶Ó³£À´~ 2014-04-23 12:22:38
cxqtitan: ½ð±Ò+1, лл½»Á÷ 2014-04-24 07:59:48
fbfeng_1988(jiangyun2´ú·¢): ½ð±Ò+9 2014-04-25 16:52:01
fbfeng_1988(jiangyun2´ú·¢): ½ð±Ò+1, лл»ØÌû½»Á÷£¬»¶Ó³£À´~ 2014-04-23 12:22:38
cxqtitan: ½ð±Ò+1, лл½»Á÷ 2014-04-24 07:59:48
fbfeng_1988(jiangyun2´ú·¢): ½ð±Ò+9 2014-04-25 16:52:01
|
Õâ¶¼Êǿ׾¶·Ö²¼Í¼£¬ÎÒ¹À¼ÆÄã¶¼ÊÇÓÃÍѸ½ÇúÏßÈ¥»µÄͼ£¬¿ÉÒԵϰ½¨ÒéÄã°ÑµÈÎÂÎüÍѸ½ÇúÏßÌù³öÀ´£¬ÒÔ±ã½øÒ»²½·ÖÎö¡£ µÚÒ»¸öͼºÍµÚÈý¸öͼÀ´¿´£¬4¸öÑùµÄ×ÜÌå¿×¾¶·Ö²¼Çé¿öÊDz¶àµÄ£¬»ù±¾ÊÇ´ó¿×£¬Ö»ÊÇ´ÓÉÏÍùÏ¿׵ÄÊýÁ¿ÓÐËù²»Ò»Ñù£¬ºÚÏßËù´ø±íµÄ¿×ÒªÏà¶ÔÓÚÆäËûµÄÒª¶àЩ¡£ µÚ¶þ¸öͼÊǽé¿×£¬×î¸ß·å¶ÔÓ¦µÄµØ·½¾ÍÊÇ×î¿É¼¸¿×¾¶£¬ËµÃ÷Õâ¿éµÄ¿×±È½Ï¼¯ÖС£ÄãÕâ¸ö¿×ÊǾùÔȿס£Ò²¾ÍÊǿ׵À±È½Ï¼¯ÖÐÔÚ5nm×óÓÒ£¬ÆäËû·¶Î§µÄ¿×¾¶¾ÍºÜÉÙ¡£ |

2Â¥2014-04-23 09:28:31
fbfeng_1988
½ð³æ (Ö°Òµ×÷¼Ò)
- Ó¦Öú: 10 (Ó×¶ùÔ°)
- ½ð±Ò: 623.5
- É¢½ð: 3537
- ºì»¨: 27
- Ìû×Ó: 3240
- ÔÚÏß: 368.4Сʱ
- ³æºÅ: 1824229
- ×¢²á: 2012-05-18
- ÐÔ±ð: GG
- רҵ: ¹¤³ÌµØÖÊѧ

3Â¥2014-04-23 16:15:16
ÉϹÙСÏÉ
ľ³æ (ÖøÃûдÊÖ)
ǰÊÀ½ñÉú
- C-EPI: 2
- Ó¦Öú: 291 (´óѧÉú)
- ¹ó±ö: 0.038
- ½ð±Ò: 4190.1
- É¢½ð: 2000
- ºì»¨: 94
- Ìû×Ó: 1334
- ÔÚÏß: 187.1Сʱ
- ³æºÅ: 1730712
- ×¢²á: 2012-04-01
- ÐÔ±ð: GG
- רҵ: µç»úÓëµçÆ÷

4Â¥2014-04-23 18:25:47
fbfeng_1988
½ð³æ (Ö°Òµ×÷¼Ò)
- Ó¦Öú: 10 (Ó×¶ùÔ°)
- ½ð±Ò: 623.5
- É¢½ð: 3537
- ºì»¨: 27
- Ìû×Ó: 3240
- ÔÚÏß: 368.4Сʱ
- ³æºÅ: 1824229
- ×¢²á: 2012-05-18
- ÐÔ±ð: GG
- רҵ: ¹¤³ÌµØÖÊѧ

5Â¥2014-04-23 19:33:09
hhxxa
½ð³æ (ÕýʽдÊÖ)
- Ó¦Öú: 8 (Ó×¶ùÔ°)
- ½ð±Ò: 1326.2
- ºì»¨: 1
- Ìû×Ó: 350
- ÔÚÏß: 251.3Сʱ
- ³æºÅ: 1525258
- ×¢²á: 2011-12-05
- רҵ: ÎïÀí»¯Ñ§
6Â¥2014-04-23 22:26:15
fbfeng_1988
½ð³æ (Ö°Òµ×÷¼Ò)
- Ó¦Öú: 10 (Ó×¶ùÔ°)
- ½ð±Ò: 623.5
- É¢½ð: 3537
- ºì»¨: 27
- Ìû×Ó: 3240
- ÔÚÏß: 368.4Сʱ
- ³æºÅ: 1824229
- ×¢²á: 2012-05-18
- ÐÔ±ð: GG
- רҵ: ¹¤³ÌµØÖÊѧ

7Â¥2014-04-24 08:13:58
ÉϹÙСÏÉ
ľ³æ (ÖøÃûдÊÖ)
ǰÊÀ½ñÉú
- C-EPI: 2
- Ó¦Öú: 291 (´óѧÉú)
- ¹ó±ö: 0.038
- ½ð±Ò: 4190.1
- É¢½ð: 2000
- ºì»¨: 94
- Ìû×Ó: 1334
- ÔÚÏß: 187.1Сʱ
- ³æºÅ: 1730712
- ×¢²á: 2012-04-01
- ÐÔ±ð: GG
- רҵ: µç»úÓëµçÆ÷
¡¾´ð°¸¡¿Ó¦Öú»ØÌû
¡ï ¡ï ¡ï ¡ï ¡ï ¡ï ¡ï ¡ï ¡ï ¡ï
fbfeng_1988: ½ð±Ò+10, ¡ï¡ï¡ïºÜÓаïÖú 2014-04-25 18:56:38
fbfeng_1988: ½ð±Ò+10, ¡ï¡ï¡ïºÜÓаïÖú 2014-04-25 18:56:38
|
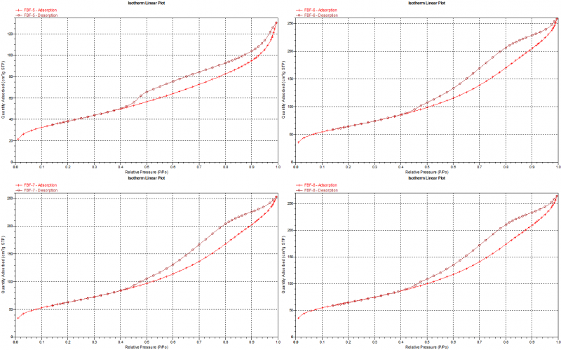
²»ºÃÒâ˼£¬×òÍíÍüÁËÕâÊÂÁË µÚÒ»×éËĸöͼ£¬´ÓͼÀ´¿´£¬Æäʵ²î²»¶à¡£¿×·Ö²¼£¬»ØÖÍ»·µÈ»ù±¾ÀàÐÍ£¬ÕâҲ˵Ã÷ËûÃǵĿ׷ֲ¼Ò²ÊDZȽÏÀàËÆµÄ£¬Õâ¸öºÍÄãµÚÒ»´Î·¢µÄ¿×¾¶·Ö²¼Í¼¶ÔÓ¦£¬»ùÓÚÔÚ3.6nm´¦³öµÄ·å£¬ÕýÈçÂ¥ÉÏÐÖµÜËù˵£¬¹À¼ÆÊǼٷ壨ÓÃÍѸ½Ö§µÄʱºò¶à°ë»á³öÏÖÕâÑùµÄÇé¿ö£©¡£Í¬Ê±£¬ÓÉÓÚÎü¸½Á¿Æäʵ¶¼²»Ëã´ó£¬ËµÃ÷¿×Èݲ»´ó£¬¿×Ò²²»ÊǺܶࡣËûÃDz»Í¬µÄÊÇ£¬µÚÒ»¸öͼµÄÎü¸½Á¿Ã÷ÏÔÒª±ÈÆäËûÈý¸öµÄÒª¶àЩ£¬¿ÉÄÜÊDzÄÁϵĿ׶àЩ£¨²»¹ÜÊǼä϶¿×»¹ÊDzÄÁÏ×ÔÉíµÄ¿×£©¡£Õâ¸ö¿ÉÒÔ½áºÏÄ㻵Ŀ׾¶·Ö²¼Í¼À´¿´¡£ µÚ¶þ×éͼ£¬4¸öÑùÒ²¶¼²î²»¶à£¬»ù±¾¶¼Êǽé¿×£¬»¹Óв¿·ÖµÄ´ó¿×´æÔÚ¡£Õâ¸öÅжÏÒÀ¾ÝÖ÷ÒªÊÇ£ºÖиßÑ¹Çø»ØÖÍ»·Ã÷ÏÔ£¬Îü¸½Á¿Ôö¼ÓÃ÷ÏÔ¡£ËµÃ÷ÊÇÓнé¿×µÄ£¬¸ßÑ¹ÇøÓÐÍùÉÏ×ßµÄÇ÷ÊÆ£¬ËµÃ÷ÊÇÓдó¿×µÄ¡£ÔÙ´Ó¿×¾¶·Ö²¼ÇúÏßÀ´¿´£¬²ÄÁÏÖ÷Òª¼¯Öеؿ×ÔÚ´ó¸Å10nm£¨·åËù¶ÔÓ¦µÄ¿×¾¶£©×óÓÒ£¬¿×¾¶·Ö²¼±È½Ï¼¯ÖС£Ïà±ÈÓÚ10nmµÄ¿×£¬ÆäËûÇøÓòµÄ¿×¾ÍºÜÉÙÁË¡£ µÚÈý×éͼ£¬ÏȲ»ËµÇúÏßµÄÎÊÌâ¡£ÕâËĸö²ÄÁ϶¼ÊǷǶà¿×²ÄÁÏ£¬¸ßÑ¹ÇøÖ®ËùÒÔ³öÏÖÎü¸½Á¿ÉÏÉý£¬¹À¼ÆÊǼä϶¿×Ôì³É¡£Í¬Ê±ËûÃǵıȱíÃæ»ý²»´ó¡£¿×Ìå»ýÒ²ºÜС£¬Ò»¶¨³Ì¶ÈÉÏҲ˵Ã÷¿×ÉÙ£¬Èç¹ûÒª±íÕ÷ÆäûÓп׻òÕߺÜÉٿ׵ϰ£¬ÎÒµ¹Êǽ¨ÒéÄã¿×¾¶·Ö²¼ÇúÏßÓÃdv/dDºÃЩ¡£ µ«ÊÇ£¬µÚÈý×éͼ¶¼ÊÇÓдíÎóµÄ£¬ÍѸ½ÇúÏß²»Ó¦¸ÃºÍÎü¸½½»²æ¡£Õâ¶à°ëÊÇÑùÆ·³ÆÁ¿Ì«ÉÙÔì³É£¬½¨Ò鳯ÑùÁ¿²»µÍÓÚ1g°É¡£ |

8Â¥2014-04-25 08:22:56
fbfeng_1988
½ð³æ (Ö°Òµ×÷¼Ò)
- Ó¦Öú: 10 (Ó×¶ùÔ°)
- ½ð±Ò: 623.5
- É¢½ð: 3537
- ºì»¨: 27
- Ìû×Ó: 3240
- ÔÚÏß: 368.4Сʱ
- ³æºÅ: 1824229
- ×¢²á: 2012-05-18
- ÐÔ±ð: GG
- רҵ: ¹¤³ÌµØÖÊѧ

9Â¥2014-04-25 19:02:53













»Ø¸´´ËÂ¥
£¬Ã÷Íí°É