| 查看: 347 | 回复: 1 | |
luoshh06铁虫 (小有名气)
|
[求助]
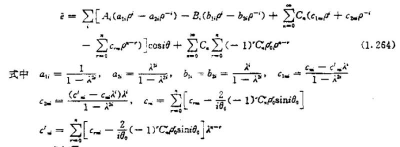
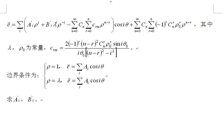
这个方程怎么求解哈,跪求啦
|
|
|
|
luoshh06铁虫 (小有名气)
|
|
|
2楼2014-04-04 17:16:10
|
|













回复此楼