| ²é¿´: 5122 | »Ø¸´: 9 | |||
±ÌË®ãöãö½ð³æ (ÕýʽдÊÖ)
|
[ÇóÖú]
¿ªÂ·µçλºÍEIS ÒÑÓÐ3È˲ÎÓë
|
µç»¯Ñ§²âÊÔ | ·À¸¯ |
» ²ÂÄãϲ»¶
ºþÄÏũҵ´óѧÄÜÔ´²ÄÁÏ´´ÐÂÍŶÓÕÐÊÕ2025»¯Ñ§×¨ÒµÑо¿Éú£¨Ñ§Ë¶£©µ÷¼Á
ÒѾÓÐ0È˻ظ´
2026ÄêÎ÷»ª´óѧ²ÄÁÏѧԺ-²ÄÁϽü¾»³ÉÐÎÓë±íÃæ¼¼ÊõÑо¿ÍŶÓ-ÕÐÊÕµ÷¼ÁÑо¿Éú
ÒѾÓÐ8È˻ظ´
·ÖÎö»¯Ñ§ÂÛÎÄÈóÉ«/·ÒëÔõôÊÕ·Ñ?
ÒѾÓÐ147È˻ظ´
µ÷¼ÁÐÅÏ¢
ÒѾÓÐ0È˻ظ´
»ªÄÏÀí¹¤0703»¯Ñ§£¬×Ü·Ö336Çóµ÷¼Á
ÒѾÓÐ1È˻ظ´
ºÓ±±Å©´óÉúÎïÓëҽҩרҵÕÐÊÕµ÷¼Á£¬Ãû¶î³ä×ã
ÒѾÓÐ0È˻ظ´
Æë³¹¤Òµ´óѧ ¹ú¼ÒÖØµãʵÑéÊÒ-ÐÂÄÜÔ´¡¢ï®Àë×Óµç³Ø¡¢²ÄÁÏ¡¢»¯Ñ§·½Ïò
ÒѾÓÐ0È˻ظ´
һ־Ըǰ4λ´úÂë0703¾ù¿É±¨Ãû-ºÓ±±´óѧ·ÖÎö»¯Ñ§×¨ÒµÕÐÊÕµ÷¼Á¿¼Éú
ÒѾÓÐ37È˻ظ´
¡ï¡ï±¬¡ï¡ï0860ÉúÎïÓëÒ½Ò©µ÷¼Á¿¼Éú¿´¹ýÀ´£¬ºÓ±±´óѧ»¯Ñ§Óë²ÄÁÏ¿ÆÑ§Ñ§Ôº
ÒѾÓÐ51È˻ظ´
½ÜÇà/³¤½ÍŶÓÕÐÊÕµ÷¼Á
ÒѾÓÐ0È˻ظ´
ÖÐÄÏÁÖÒµ¿Æ¼¼´óѧÂÞÓ·æ½ÌÊÚÍŶÓ2026ÄêÕÐÊÕ²ÄÁÏÀàµ÷¼ÁÑо¿Éú
ÒѾÓÐ0È˻ظ´
» ±¾Ö÷ÌâÏà¹Ø¼ÛÖµÌùÍÆ¼ö£¬¶ÔÄúͬÑùÓаïÖú:
autolabµç»¯Ñ§Õ¾²Ù×÷
ÒѾÓÐ8È˻ظ´
þºÏ½ð¶¯µçλÇúÏßÖл÷´©µçλ
ÒѾÓÐ8È˻ظ´
µç»¯Ñ§×迹ÎÊÌâEIS
ÒѾÓÐ6È˻ظ´
¼«»¯ÇúÏß½á¹ûºÍ×迹Æ×½á¹û²»Ò»ÖÂÔõô»ØÊ£¿
ÒѾÓÐ21È˻ظ´
Gamry Reference 600µç»¯Ñ§¹¤×÷Õ¾EIS²âÊÔ¹ýÔØ
ÒѾÓÐ8È˻ظ´
Çë½ÌORRµç´ß»¯¼ÁµÄEIS²âÊÔ
ÒѾÓÐ8È˻ظ´
ï®µç³Ø²»Í¬¼«»¯µçλϵÄEIS²âÁ¿
ÒѾÓÐ20È˻ظ´
ÈçºÎ·ÖÎöÕâ¸öCVͼºÍÏà¶ÔÓ¦µÄEISͼ£¬½á¹û²»Ò»Ö°¡£¬ÇóÖú£¡£¡
ÒѾÓÐ23È˻ظ´
µç»¯Ñ§¹¤×÷Õ¾CHI660
ÒѾÓÐ5È˻ظ´
EISͼÔõôÕâôÂÒ
ÒѾÓÐ57È˻ظ´
EIS²âÊÔµÄÖØÏÖÐÔ
ÒѾÓÐ9È˻ظ´
²âcvºÍitÓбØÒª²â¿ªÂ·µçѹÂð£¿
ÒѾÓÐ11È˻ظ´
²âµç¼«²ÄÁϵÄÔÚ²»Í¬µÄµçλϵĽ»Á÷×迹Æ×Ôõô²â£¿
ÒѾÓÐ4È˻ظ´
ÇëÎÊ£ºCHIµç»¯Ñ§¹¤×÷Õ¾²âÊÔ¿Ûʽµç³ØµÄÑ»··ü°²ºÍ½»Á÷×迹Ïà¹ØÎÊÌâ
ÒѾÓÐ12È˻ظ´
¿ªÂ·µç벨¶¯´ó
ÒѾÓÐ16È˻ظ´
¡¾ÇóÖú¡¿¿ªÂ·µçλ²âÊÔ·½·¨
ÒѾÓÐ4È˻ظ´
¡¾ÇóÖú¡¿±ÉÈËÇë½ÌÒ»¸öºÜ»ù´¡µÄÎÊÌ⣺¿ªÂ·µçλºÍ¸¯Ê´µç룬¼«»¯µçλ
ÒѾÓÐ14È˻ظ´
¡¾ÇóÖú¡¿Çó½Ìï®Àë×Óµç³ØEIS²âÊÔ²ÎÊýµÄÉèÖÃ
ÒѾÓÐ8È˻ظ´
ljyljy1801
ľ³æ (СÓÐÃûÆø)
- Ó¦Öú: 23 (СѧÉú)
- ½ð±Ò: 2403.7
- ºì»¨: 5
- Ìû×Ó: 117
- ÔÚÏß: 86.9Сʱ
- ³æºÅ: 1462051
- ×¢²á: 2011-10-26
- ÐÔ±ð: GG
- רҵ: ÎÞ»úºÏ³ÉºÍÖÆ±¸»¯Ñ§
¡¾´ð°¸¡¿Ó¦Öú»ØÌû
¡ï ¡ï ¡ï ¡ï ¡ï ¡ï ¡ï
¸Ðл²ÎÓ룬ӦÖúÖ¸Êý +1
±ÌË®ãöãö: ½ð±Ò+3, ¡ïÓаïÖú 2014-03-26 18:59:51
±ÌË®ãöãö: ½ð±Ò+4, ¡ï¡ï¡ïºÜÓаïÖú 2014-05-14 11:04:11
¸Ðл²ÎÓ룬ӦÖúÖ¸Êý +1
±ÌË®ãöãö: ½ð±Ò+3, ¡ïÓаïÖú 2014-03-26 18:59:51
±ÌË®ãöãö: ½ð±Ò+4, ¡ï¡ï¡ïºÜÓаïÖú 2014-05-14 11:04:11
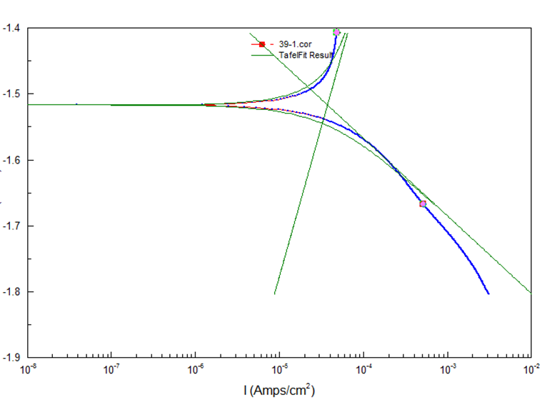
| ¿ªÂ·µçλһ°ãÐèÒªµÈ´ý30min»òÒÔÉÏ£¬ËùʹÓõÄÒÇÆ÷ÉÏÓ¦¸ÃÓв¨¶¯·ù¶ÈÔÚʲô·¶Î§ÄÚËãÎȶ¨ÁË¡£ÁíÍ⣬¿ªÂ·µçλ¶ÔEIS¿Ï¶¨ÊÇÓÐÓ°ÏìµÄ£¬Õâ¸öÒª´Ó×迹²âÊÔµÄÔÀí·ÖÎö£¬¿ÉÒÔÈ¥··Êé |
2Â¥2014-03-26 10:40:59
±ÌË®ãöãö
½ð³æ (ÕýʽдÊÖ)
- Ó¦Öú: 2 (Ó×¶ùÔ°)
- ½ð±Ò: 2070
- É¢½ð: 3021
- ºì»¨: 10
- Ìû×Ó: 353
- ÔÚÏß: 87.5Сʱ
- ³æºÅ: 2218541
- ×¢²á: 2013-01-02
- רҵ: ½ðÊô½á¹¹²ÄÁÏ
3Â¥2014-03-26 19:01:04
ÄÚÃɹÅëÍÅÍÅ
ľ³æ (СÓÐÃûÆø)
- Ó¦Öú: 7 (Ó×¶ùÔ°)
- ½ð±Ò: 2157.7
- ºì»¨: 2
- Ìû×Ó: 206
- ÔÚÏß: 49.6Сʱ
- ³æºÅ: 1717858
- ×¢²á: 2012-03-26
- ÐÔ±ð: MM
- רҵ: ½ðÊô¹¦ÄܲÄÁÏ
¡¾´ð°¸¡¿Ó¦Öú»ØÌû
¡ï ¡ï ¡ï ¡ï ¡ï ¡ï ¡ï ¡ï ¡ï ¡ï
±ÌË®ãöãö: ½ð±Ò+10, ¡ï¡ï¡ï¡ï¡ï×î¼Ñ´ð°¸ 2014-05-14 16:01:02
±ÌË®ãöãö: ½ð±Ò+10, ¡ï¡ï¡ï¡ï¡ï×î¼Ñ´ð°¸ 2014-05-14 16:01:02
|
ÎÒ×ö¿ªÂ·µçλһ°ãÉèÖòâÊÔ1800s£¬»ù±¾ÉϾͷdz£Îȶ¨ÁË¡£ ¿ªÂ·µçλÊÇ·ñÎȶ¨¶ÔEISÓ°Ï컹ÊÇͦ´óµÄ£¬ÒòΪEISÊÇÔÚÍâ¼ÓºÜСµçѹµÄÇé¿öϵÄÒ»¸öÄ£Ä⾲̬»·¾³ÏµIJâÊÔ½á¹û£¬Òò´ËÖÜΧµÄÈŶ¯£¬²ÄÁϱíÃæ±¾ÉíµÄÐÔÖʶ¼»á¶Ô½á¹ûÔì³ÉÓ°Ïì¡£ EIS½á¹û²»ÈçÒâÖØÐ´òÄ¥ÊÇ¿ÉÒԵ쬵«ÖØÐ´òÄ¥µÄ±íÃæÒªÖØÐ½øÐпªÂ·µçλ²âÊÔ£¬È·±£Îȶ¨ºóÔÙÖØÐ²âÊÔEIS£¬²¢ÇÒ²âÊÔÒ»°ãÐèÒª´óµÈÓÚÈý¸öƽÐÐÑù£¬È·±£ÊµÑé½á¹ûµÄ¿ÉÖØ¸´ÐÔ¡£ ·ÖÎöÄ͸¯Ê´ÐÔÄÜ£¬Òª½áºÏ×Ô¸¯Ê´µç룬¸¯Ê´µçÁ÷£¬µãÊ´µç룬¸¯Ê´µç×èµÈ¶à·½¿¼ÂÇ·ÖÎö£¬ÆäÖи¯Ê´µçÁ÷ÃܶȶÔÄÍÊ´ÐÔµÄÓ°Ïì×î´ó£¬ËüÖ±½Ó·´Ó³Á˲ÄÁϵĸ¯Ê´ËÙÂÊ¡£ ֮ǰҲ˵ÁËEISÊÇÔÚ΢ÈŶ¯Ìõ¼þϲâÊԵĽá¹û£¬Òò´ËÒ»µãÍâ½çµÄ±ä»¯£¬ÈŶ¯¶¼»áʹµÃ½á¹û²îÒìºÜ´ó£¬µ±È»Ò²¸ú²ÄÁÏĤ²ãµÈµÄÓ°ÏìÓйØÏµ¡£ ÓÉÓÚÎÒÍøËÙÌ«Âý£¬¿´²»µ½Í¼£¬ËùÒÔÖ»Äܼòµ¥»Ø´ðÕë¶Ô¼«»¯ÇúÏßµÄÎÊÌâ¡£ÄãµÄ¼«»¯ÇúÏß²ÎÊýÑ¡Ôñʱ£¬µçÊÆ·¶Î§µÄÑ¡Ôñ±ØÐë±£Ö¤Òõ¼«ÇøÓëÑô¼«ÇøµÄÍêÕû£¬ÒÔ¼°µãÊ´¹ÕµãµÄÇåÎú¡£ ²»Í¬Ó¦Óñ³¾°¶Ôµç½âÒºµÄÑ¡Ôñ²»Í¬¡£²»ÖªµÀÄã×öµÄÊÇʲô²ÄÁÏ£¿Ê²Ã´ÑùµÄÓ¦Óñ³¾°£¿Ò»°ãÀ´Ëµ3.5%NaCl¿ÉÓÃÓÚÄ£Ä⺣ˮ¸¯Ê´µÄµç½âÒº¡£ µç»¯Ñ§ÊµÑé¹ý³ÌÖÐҪעÒâµÄºÜ¶à£¬Ï£ÍûÄãÄÜÏÈ´Ó»ù´¡Ñ§Æð£¬¶Ôµç»¯Ñ§×迹Æ×£¬bode£¬nyquist£¬¼«»¯ÇúÏߵȵÄÔÀíÓÐÒ»¶¨°ÑÎÕ£¬Ö®ºóÔÙ¶à¿´Ïà¹ØÎÄÏ×£¬Õë¶Ô¾ßÌåÎÊÌâ½øÐн»Á÷¡£ µç»¯Ñ§µÄÈýµç¼«ÏµÍ³Ó¦¸ÃƽÐÐÏà¶Ô£¬²¬µç¼«Ãæ»ý´óÒ»µã±ÈСһµãºÃ£¬²Î±Èµç¼«Æ½Ê±Ó¦·ÅÔÚÂÈ»¯¼Ø±¥ºÍÈÜÒºÖУ¬ÒÔÃâ¶Ô½á¹ûÔì³ÉÓ°Ïì¡£ Ï£ÍûÎҵĻشðÄܶÔÄã½ñºóµÄʵÑéÓÐËù°ïÖú£¬×£ºÃ£¡ |
4Â¥2014-05-14 15:39:25
±ÌË®ãöãö
½ð³æ (ÕýʽдÊÖ)
- Ó¦Öú: 2 (Ó×¶ùÔ°)
- ½ð±Ò: 2070
- É¢½ð: 3021
- ºì»¨: 10
- Ìû×Ó: 353
- ÔÚÏß: 87.5Сʱ
- ³æºÅ: 2218541
- ×¢²á: 2013-01-02
- רҵ: ½ðÊô½á¹¹²ÄÁÏ
|
µ±Ê±Ö±½ÓÑ¡µÄ3.5%µÄNaClÑÎË®¸¯Ê´£¬ÒòΪÕâ¸ö×î³£¼û£¬È»¶ø£¬ÎÒÃÇÓõ½µÄÒ»°ãÊÇÓêË®¸¯Ê´£¬¿ÉÄÜ1%µÄNaCl±È½ÏºÏÊÊ¡£µ«ÊÇÃ²ËÆºóÕߺÜÉÙ¼û£¬´ó²¿·ÖÎÄÏ×¶¼ÊDzÉÓõÄ3.5%µÄNaClÈÜÒº¡£30min£¬1800s£¬ºÜÈÝÒ׾ͷ¢ÉúµãÊ´ÁËѽ¡£»¹ÓоÍÊÇ£¬ÎÒ²»Ì«¶®µç»¯Ñ§£¬¹ÕµãÊÇÖ¸¼«»¯ÇúÏßÖ±Ïß²¿·ÖºÍÇúÏß²¿·ÖµÄ½»µãô£¿ ¿´µ½ÓÐÎÄÏ××öÁ˼«»¯Ö®ºóÖ±½Ó×ö×迹£¬Õâ¸ö¼«»¯ÁËÖ®ºó×ö×迹¶Ô×迹Æ×ÓкÎÓ°Ïì°¡£¿Æäʵ¸Ð¾õ×öÁ˵绯ѧ֮ºóµÄÑùÆ·ÔÙ×ö¿Ï¶¨»áÓÐÓ°ÏìµÄ£¬¾ÍÊÇÏëÖªµÀһϾßÌå»áÓÐʲôӰÏ졣лл |
5Â¥2014-05-14 16:06:28
ÄÚÃɹÅëÍÅÍÅ
ľ³æ (СÓÐÃûÆø)
- Ó¦Öú: 7 (Ó×¶ùÔ°)
- ½ð±Ò: 2157.7
- ºì»¨: 2
- Ìû×Ó: 206
- ÔÚÏß: 49.6Сʱ
- ³æºÅ: 1717858
- ×¢²á: 2012-03-26
- ÐÔ±ð: MM
- רҵ: ½ðÊô¹¦ÄܲÄÁÏ
6Â¥2014-05-14 16:16:50
ÌìÑÄ570
½ð³æ (³õÈëÎÄ̳)
- Ó¦Öú: 2 (Ó×¶ùÔ°)
- ½ð±Ò: 1196.8
- Ìû×Ó: 23
- ÔÚÏß: 280.7Сʱ
- ³æºÅ: 2092496
- ×¢²á: 2012-10-28
- רҵ: ½ðÊô²ÄÁϱíÃæ¿ÆÑ§Ó빤³Ì
7Â¥2014-05-14 16:17:30
binbinitaly
Ìú¸Ëľ³æ (ÖøÃûдÊÖ)
- Ó¦Öú: 391 (˶ʿ)
- ½ð±Ò: 6153.6
- É¢½ð: 3
- ºì»¨: 38
- Ìû×Ó: 1403
- ÔÚÏß: 237.4Сʱ
- ³æºÅ: 1086877
- ×¢²á: 2010-09-01
- ÐÔ±ð: GG
- רҵ: ½ðÊô²ÄÁϵÄÄ¥ËðÓëĥʴ
¡¾´ð°¸¡¿Ó¦Öú»ØÌû
¡ï ¡ï ¡ï ¡ï ¡ï
±ÌË®ãöãö: ½ð±Ò+5, ¡ï¡ï¡ïºÜÓаïÖú, лл 2014-05-17 11:26:39
±ÌË®ãöãö: ½ð±Ò+5, ¡ï¡ï¡ïºÜÓаïÖú, лл 2014-05-17 11:26:39
| ÎÒÃÇÒ»°ãÅжϿªÂ·µçλÎȶ¨µÄ±ê׼ʱ2·ÖÖÓÄÚµçλ±ä»¯²»³¬¹ý1mV¾ÍÈÏΪÊÇÎȶ¨ÁË£¬µ«ÊÇÒò²ÄÁ϶øÒì°É£¬ÓÐʱºò±ä»¯ºÜ´óÒ²¿ÉÒÔÈÏΪÊÇÎȶ¨µÄ¡£×è¿¹ÖØ¸´ÐÔ²îºÜÕý³££¬ÒòΪ×迹²âÊÔºÍÄãµçλÊÇ·ñÎȶ¨ÒÔ¼°ÊÔÑù±íÃæ×´Ì¬¶¼ÓйØÏµ£¬ÓÈÆäÊÇµÍÆµÇø£¬Ã¿¸öµãµÄ²âÁ¿Ê±¼äÏà¶Ô½Ï³¤£¬µçλÔÚÕâ¶Îʱ¼äÄÚÈÝÒׯ¯ÒÆ£¬ËùÒÔµÍÆµÇøµãÂÒÌøÊÇÕý³£µÄ£¬Èç¹ûµÍÆµÇø²»´æÔÚÁíÍâµÄʱ¼ä³£ÊýµÄ»°£¬¿ÉÒÔ¿¼ÂÇÈ¥µôµÍÆµÇøµÄµã¡£Èç¹ûEISÄâºÏ½á¹ûºÃµÄ»°£¬¿ÉÒÔͨ¹ýRcÀ´¶¨ÐÔÅжϣ¬µ«ÎÒÃÇÒ»°ã¶¼ÊDzî±ðÔÚÊýÁ¿¼¶ÒÔÉÏʱ²ÅÕâôÓ㬼«»¯ÇúÏßɨÃèµçλһ°ãÊÇ´Ó¿ªÂ·µçλһÏÂ300~400mVÍøÉÏɨ£¬ÖÁÓÚ×î¸ßµãλÄǾ͸ù¾ÝÄãÐèÒªÁË¡£Ï£Íû¶ÔÂ¥Ö÷ÄÜÓÐËù°ïÖú |

8Â¥2014-05-16 09:19:23
±ÌË®ãöãö
½ð³æ (ÕýʽдÊÖ)
- Ó¦Öú: 2 (Ó×¶ùÔ°)
- ½ð±Ò: 2070
- É¢½ð: 3021
- ºì»¨: 10
- Ìû×Ó: 353
- ÔÚÏß: 87.5Сʱ
- ³æºÅ: 2218541
- ×¢²á: 2013-01-02
- רҵ: ½ðÊô½á¹¹²ÄÁÏ
9Â¥2014-05-17 11:25:13
±ÌË®ãöãö
½ð³æ (ÕýʽдÊÖ)
- Ó¦Öú: 2 (Ó×¶ùÔ°)
- ½ð±Ò: 2070
- É¢½ð: 3021
- ºì»¨: 10
- Ìû×Ó: 353
- ÔÚÏß: 87.5Сʱ
- ³æºÅ: 2218541
- ×¢²á: 2013-01-02
- רҵ: ½ðÊô½á¹¹²ÄÁÏ
10Â¥2014-05-17 11:30:54














»Ø¸´´ËÂ¥
10