| 查看: 481 | 回复: 0 | ||
[求助]
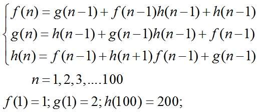
如何构建这个方程组的迭代算法?
|

找到一些相关的精华帖子,希望有用哦~
牛顿迭代法解方程。
已经有11人回复
matlab数值计算时迭代项分母为零的时候怎么办?
已经有15人回复
如何求解带有固定参数的超定方程组?
已经有21人回复
用fortran程序遗传算法解非线性方程组
已经有7人回复
这个方程组怎么解啊
已经有14人回复
数学好的请进,请问这叫什么迭代算法?有具体描述。非线性迭代求解
已经有26人回复
【求助】非线性方程组的求解问题
已经有6人回复
对流扩散方程迭代求解发散
已经有11人回复
求Matlab高手解决线性方程组的迭代求解问题
已经有17人回复
matlab求解非线性方程组,错误提示怎么解决
已经有5人回复
用不动点迭代求非线性方程组,求得的不是想要的解,怎么办
已经有12人回复
数值计算怎么学
已经有4人回复
有关磁流体方程计算的询问
已经有8人回复
请教Matlab高手解多元非线性方程组中的参数
已经有6人回复
【求助】非线性方程组 的表示问题
已经有6人回复
非线性方程组的迭代法(数值计算高手请进)
已经有7人回复
【求助】如何用Runge-Kutta迭代求解二阶常微分方程组【已解决】
已经有9人回复
科研从小木虫开始,人人为我,我为人人









回复此楼
点击这里搜索更多相关资源