| ²é¿´: 746 | »Ø¸´: 3 | ||
goodjackzjгæ (СÓÐÃûÆø)
|
[ÇóÖú]
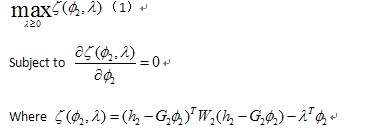
³ÏÐÄÇóÖú£¬ÈçºÎÇó½âµÈÊ½Ô¼ÊøµÄÓÅ»¯ÎÊÌâ ÒÑÓÐ1È˲ÎÓë
|
|
|
|
||
goodjackzjгæ (СÓÐÃûÆø) |
|
|
|
2Â¥2014-02-21 16:07:21
|
|
|
leedobb½ð³æ (ÕýʽдÊÖ)
|
||
![]() |
||
|
3Â¥2014-02-22 00:44:51
|
|
|
goodjackzjгæ (СÓÐÃûÆø)
|
|
|
|
4Â¥2014-02-22 20:16:47
|
|














»Ø¸´´ËÂ¥
