| 查看: 521 | 回复: 3 | ||
updownupdown铁虫 (初入文坛)
|
[求助]
求助 能带与态密度 为什么不是一一对应的关系?(就这些金币了 海涵) 已有2人参与
|
|
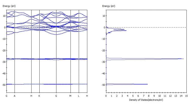
建立了一个3×3×2体系的Zr超胞,计算时选择用元胞进行计算(没有make P1) 计算结果的能带与态密度却不是一一对应的,求大神解答。 当选用make P1进行计算后能带与态密度一一对应了,但是能带和用元宝计算的完全不同,这究竟是为什么。。。 能带与态密度.jpg 能带与态密度 超胞.jpg |
» 猜你喜欢
0703化学求调剂
已经有6人回复
一志愿中南大学化学学硕0703总分337求调剂
已经有6人回复
考研化学308分求调剂
已经有9人回复
求调剂 一志愿 本科 北科大 化学 343
已经有4人回复
一志愿吉林大学材料与化工303分求调剂
已经有3人回复
各位老师您好:本人初试372分
已经有3人回复
B区考研调剂
已经有5人回复
284求调剂
已经有12人回复
求调剂,一志愿:南京航空航天大学大学 ,080500材料科学与工程学硕,总分289分
已经有6人回复
289材料与化工(085600)B区求调剂
已经有5人回复
» 本主题相关价值贴推荐,对您同样有帮助:
关于态密度和能带计算的费米能级不统一的问题
已经有6人回复
在集群上如何算CASTEP 能带、态密度
已经有9人回复
d轨道对应的数值
已经有4人回复
Materials studio计算态密度、能带结构等等
已经有12人回复
能带结构和态密度问题
已经有19人回复
总的态密度为什么和分波态密度不相等?
已经有19人回复
两个原子的局域态密度在费米处重叠
已经有4人回复
CASTEP几何优化,能带结构和态密度分析
已经有11人回复
关于硅能带图和态密度分析
已经有11人回复
如何导出ms中能带和态密度的数据,想在origin中做图……
已经有8人回复
abinit能否处理一个位置被两种元素占据的固溶体的能带和态密度
已经有10人回复
【求助】在用Castep算出能带,怎么观察一种物质中各个原子的分态(S,P等)的态密度图
已经有9人回复
【求助】关于MS软件中能带和态密度的计算问题
已经有8人回复
电子结构和态密度以及能带之间有什么关系?
已经有6人回复
【求助】怎样由能带结构和态密度看计算的结构是不是可能存在超导现象
已经有12人回复
【求助】gamma点指的是什么?
已经有7人回复
updownupdown
铁虫 (初入文坛)
- 应助: 0 (幼儿园)
- 金币: 6.5
- 帖子: 42
- 在线: 31.2小时
- 虫号: 1926159
- 注册: 2012-08-06
- 性别: GG
- 专业: 凝聚态物性 II :电子结构
2楼2014-02-17 11:03:48
qqxiaoheima
铜虫 (著名写手)
- 应助: 0 (幼儿园)
- 金币: 3845
- 散金: 339
- 红花: 4
- 沙发: 3
- 帖子: 1062
- 在线: 229.8小时
- 虫号: 2013556
- 注册: 2012-09-19
- 专业: 化学动力学
3楼2015-06-15 16:07:48
sunboyccc
铁杆木虫 (正式写手)
- 应助: 79 (初中生)
- 金币: 5418.4
- 红花: 10
- 帖子: 352
- 在线: 182.6小时
- 虫号: 674686
- 注册: 2008-12-14
- 性别: GG
- 专业: 凝聚态物性 II :电子结构
4楼2015-06-15 16:53:00













回复此楼
40