| 查看: 891 | 回复: 4 | |
[求助]
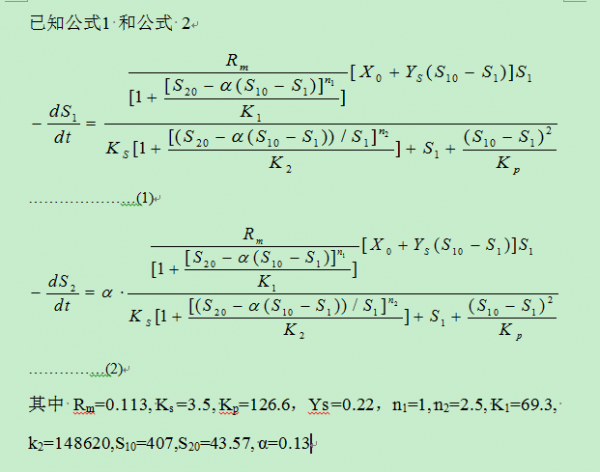
求教简单的一阶导数 已有1人参与
|
|
|
|
|
|
2楼2013-12-24 11:30:33
|
|
|
3楼2013-12-24 14:16:41
|
|
dingd铁杆木虫 (职业作家)
|
|
|
4楼2013-12-24 14:22:04
|
|
|
5楼2013-12-25 09:35:10
|
|













回复此楼