Znn3bq.jpeg
±±¾©Ê¯ÓÍ»¯¹¤Ñ§Ôº2026ÄêÑо¿ÉúÕÐÉú½ÓÊÕµ÷¼Á¹«¸æ
²é¿´: 349  |  »Ø¸´: 1

É£Ê÷Ö®Àá

½ð³æ (ÖøÃûдÊÖ)

[ÇóÖú] ÇóÖúÁ½µÀÎïÀí»¯Ñ§Ö¤Ã÷Ìâ

ÇóÖúÁ½µÀÎïÀí»¯Ñ§Ö¤Ã÷Ì⣬лл£¡

ÇóÖúÁ½µÀÎïÀí»¯Ñ§Ö¤Ã÷Ìâ

[ Last edited by sddtc888 on 2013-11-29 at 12:02 ]
»Ø¸´´ËÂ¥

» ²ÂÄãϲ»¶

» ±¾Ö÷ÌâÏà¹Ø¼ÛÖµÌùÍÆ¼ö£¬¶ÔÄúͬÑùÓаïÖú:

ÒÑÔÄ   ¹Ø×¢TA ¸øTA·¢ÏûÏ¢ ËÍTAºì»¨ TAµÄ»ØÌû

sddtc888

ÖÁ×ðľ³æ (ÖøÃûдÊÖ)

H¦×=E¦× S=kln¦¸ dS¡Ý¦ÄQ/T

¡¾´ð°¸¡¿Ó¦Öú»ØÌû

¡ï ¡ï ¡ï ¡ï ¡ï ¡ï ¡ï ¡ï ¡ï ¡ï
¸Ðл²ÎÓ룬ӦÖúÖ¸Êý +1
É£Ê÷Ö®Àá: ½ð±Ò+10, ¡ï¡ï¡ï¡ï¡ï×î¼Ñ´ð°¸, лл 2013-11-30 11:44:49
µÚÒ»ÎÊ£º
ÒòΪ
ÇóÖúÁ½µÀÎïÀí»¯Ñ§Ö¤Ã÷Ìâ-1
ËùÒÔ
ÇóÖúÁ½µÀÎïÀí»¯Ñ§Ö¤Ã÷Ìâ-2

ÓÖÒò
ÇóÖúÁ½µÀÎïÀí»¯Ñ§Ö¤Ã÷Ìâ-3
ËùÒÔ
ÇóÖúÁ½µÀÎïÀí»¯Ñ§Ö¤Ã÷Ìâ-4
ËùÒÔ
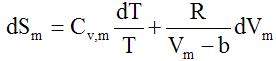
ÇóÖúÁ½µÀÎïÀí»¯Ñ§Ö¤Ã÷Ìâ-5
Á½±ß×ö¶¨»ý·Ö
ÇóÖúÁ½µÀÎïÀí»¯Ñ§Ö¤Ã÷Ìâ-6
µÃ£º
ÇóÖúÁ½µÀÎïÀí»¯Ñ§Ö¤Ã÷Ìâ-7

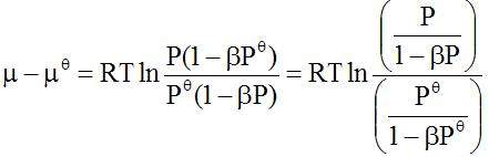
ÓÖÒòÒݶȵ͍ÒåʽΪ£º
ÇóÖúÁ½µÀÎïÀí»¯Ñ§Ö¤Ã÷Ìâ-8
ÆäÖÐfΪÒݶȣ¬f¦ÈΪ±ê׼ѹÁ¦ÏµÄÒݶȣ¬½«ÉÏʽÓëÒݶȶ¨Òåʽ±È½Ï£¬µÃ£º
ÇóÖúÁ½µÀÎïÀí»¯Ñ§Ö¤Ã÷Ìâ-9

µÚ¶þÎÊ£º
ìØµÄ΢·Ö¶¨ÐÎʽΪ£º
ÇóÖúÁ½µÀÎïÀí»¯Ñ§Ö¤Ã÷Ìâ-10

¶ø·¶µÂÍß¶û˹·½³ÌΪ£º
ÇóÖúÁ½µÀÎïÀí»¯Ñ§Ö¤Ã÷Ìâ-11
ËùÒÔ
ÇóÖúÁ½µÀÎïÀí»¯Ñ§Ö¤Ã÷Ìâ-12
½«Æä´úÈëìØµÄ΢·Ö¶¨ÐÎʽÖУ¬µÃ£º
ÇóÖúÁ½µÀÎïÀí»¯Ñ§Ö¤Ã÷Ìâ-13

Á½±ß×ö²»¶¨»ý·Ö£¬µÃ£º
ÇóÖúÁ½µÀÎïÀí»¯Ñ§Ö¤Ã÷Ìâ-14
I can safely said that nobody understands the quantum theory. ¡ª¡ª R. P. Feynman
2Â¥2013-11-29 12:49:58
ÒÑÔÄ   ¹Ø×¢TA ¸øTA·¢ÏûÏ¢ ËÍTAºì»¨ TAµÄ»ØÌû
Ïà¹Ø°æ¿éÌø×ª ÎÒÒª¶©ÔÄÂ¥Ö÷ É£Ê÷Ö®Àá µÄÖ÷Ìâ¸üÐÂ
×î¾ßÈËÆøÈÈÌûÍÆ¼ö [²é¿´È«²¿] ×÷Õß »Ø/¿´ ×îºó·¢±í
[¿¼ÑÐ] »¯Ñ§0703-Ò»Ö¾Ô¸211-338·ÖÇóµ÷¼Á +9 vants 2026-04-05 9/450 2026-04-08 10:25 by screening
[¿¼ÑÐ] 085600ר˶²ÄÁÏÓ뻯¹¤348·ÖÇóµ÷¼Á +11 ÉÏѧÀ²£¡ 2026-04-01 12/600 2026-04-08 10:18 by screening
[¿¼ÑÐ] ÇóÖú071001µ÷¼Á£¡£¡£¡ +5 »ÆÊØËÉ 2026-04-05 6/300 2026-04-08 09:08 by heqiang123
[¿¼ÑÐ] Ò»Ö¾Ô¸¼ª´ó»¯Ñ§327Çóµ÷¼Á +10 ÍõÍõ°×ʯ 2026-04-06 11/550 2026-04-07 23:54 by JourneyLucky
[¿¼ÑÐ] 285Çóµ÷¼Á +11 AZMK 2026-04-05 17/850 2026-04-07 19:05 by ÖзÉÔº¿Õ¹ÜѧԺÑ
[¿¼ÑÐ] Ò»Ö¾Ô¸±±¾©»¯¹¤085600 310·ÖÇóµ÷¼Á +20 0856²ÄÁÏÓ뻯¹¤3 2026-04-04 22/1100 2026-04-07 15:14 by Éϰ¶¿ì¿ì
[¿¼ÑÐ] 085600²ÄÁÏÓ뻯¹¤301·ÖÇóµ÷¼ÁԺУ +25 ´ÌÍ´jk 2026-04-06 26/1300 2026-04-07 15:07 by -ÃÔÁË·°¡Â·
[¿¼ÑÐ] 081700ѧ˶£¬323·Ö£¬Ò»Ö¾Ô¸Öйúº£Ñó´óѧÇóµ÷¼ÁѧУ +19 ÅûÐÇºÓ 2026-04-04 19/950 2026-04-07 15:00 by Éϰ¶¿ì¿ì
[¿¼ÑÐ] 297·Ö083200ÇóÖú +9 aekx 2026-04-05 9/450 2026-04-06 20:57 by flysky1234
[¿¼ÑÐ] ÉúÎïÓëÒ½Ò©Çóµ÷¼Á +7 heguanhua 2026-04-05 8/400 2026-04-06 18:41 by macy2011
[¿¼ÑÐ] £¨µ÷¼Á£©Ò»Ö¾Ô¸±¨¿¼¹þ¶û±õ¹¤Òµ´óѧ0857×ÊÔ´Óë»·¾³×¨Òµ378·Ö¿¼Éú +7 ºÝºÝ¼ÓÓÍ 2026-04-05 8/400 2026-04-06 16:52 by momoð©
[¿¼ÑÐ] 327Çóµ÷¼Á +4 ʰ¹âÈÎȾ 2026-04-05 4/200 2026-04-05 20:16 by ÄϺ½~ÍòÀÏʦ
[¿¼ÑÐ] Ò»Ö¾Ô¸Çà¿Æ085500£¬³õÊÔ295·Ö£¬¹«¹²¿Î213·Ö +3 Óöµ½µÄÈËÔ¸Íû¶¼Ä 2026-04-05 3/150 2026-04-05 18:45 by À¶ÔÆË¼Óê
[¿¼ÑÐ] µ÷¼Á +4 ÊÇ¿ÉÀÖ²»ÊÇ¿ÉÀÖ 2026-04-04 4/200 2026-04-04 19:41 by ÌÆãå¶ù
[¿¼ÑÐ] 306Çóµ÷¼Á +3 hybÉÏÃû¹¤ 2026-04-02 3/150 2026-04-04 18:12 by ÈÈÇéɳĮ
[¿¼ÑÐ] Ò»Ö¾Ô¸±±½»´ó²ÄÁϹ¤³Ì×Ü·Ö358 +6 cs0106 2026-04-03 6/300 2026-04-04 11:20 by w_xuqing
[¿¼ÑÐ] 295Çóµ÷¼Á +3 ÉÐټѽ 2026-04-03 4/200 2026-04-03 21:23 by zhq0425
[¿¼ÑÐ] 286Çóµ÷¼Á +8 lim0922 2026-04-02 8/400 2026-04-03 20:19 by rzh123456
[¿¼ÑÐ] 293Çóµ÷¼Á +5 ĩδmm 2026-04-02 6/300 2026-04-03 15:20 by Íõ±£½Ü33
[¿¼ÑÐ] ¿¼Ñе÷¼Á +3 Àîľ×Ó0120 2026-04-02 5/250 2026-04-02 21:45 by dongzh2009
ÐÅÏ¢Ìáʾ
ÇëÌî´¦ÀíÒâ¼û