| 查看: 4473 | 回复: 4 | ||
[求助]
吸收系数和介电常数关系
|
|
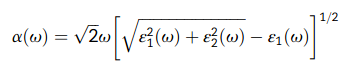
请教各位,光吸收系数和介电常数的公式(附件1)中, 1.光吸收系数有没有单位?1/m? 2.怎样将角频率ω换算成电子伏特能量E(ev),关系式是什么? 这几天被这个问题弄晕了,看了资料查了书,也问了人,还是一团乱。各位帮帮忙! 光吸收系数与介电常数 |
» 猜你喜欢
工科08-机械专硕-求调剂
已经有3人回复
一志愿苏州大学材料工程(085601)专硕有科研经历三项国奖两个实用型专利一项省级立项
已经有9人回复
材料工程302分求调剂
已经有8人回复
315求调剂
已经有14人回复
307分材料专业求调剂
已经有7人回复
材料调剂
已经有11人回复
262求调剂
已经有6人回复
一志愿北京交通大学材料工程总分358求调剂
已经有4人回复
一志愿青科085500,初试295分,公共课213分
已经有3人回复
304求调剂
已经有3人回复
» 本主题相关价值贴推荐,对您同样有帮助:
介电常数为负值
已经有17人回复
半导体折射率与禁带宽度的关系
已经有18人回复
求大家帮忙,看一下这介电常数,怎么处理成吸收系数
已经有8人回复
介电常数的大小直接体现的是什么?
已经有11人回复
导体内存在介电常数么?
已经有9人回复
新材料---介电常数达到10的15次方
已经有15人回复
介电常数和介电损耗是同升同降的关系吗?
已经有21人回复
介电常数计算方法
已经有13人回复
[求助]光吸收系数
已经有13人回复
vasp5.2光学计算中怎么加入scissor operation?
已经有13人回复
【讨论】关于电导率与介电常数的关系
已经有7人回复
求助 吸波材料吸波性能除了反射率和介电常数外还有什么东西可以表征?
已经有13人回复
【资源】吸收系数的测定
已经有35人回复
【求助】请问介电常数问题
已经有17人回复
【求助】急问电导率和介电常数的关系
已经有16人回复
【求助】光频介电系数和静介电系数
已经有10人回复
【求助】吸波、透波材料的介电常数,磁导率,反射率
已经有11人回复

2楼2013-11-05 15:49:56
小王一点
木虫 (小有名气)
菜菜鸟
- 应助: 11 (小学生)
- 金币: 2038.7
- 散金: 200
- 红花: 3
- 帖子: 279
- 在线: 24.4小时
- 虫号: 1237947
- 注册: 2011-03-18
- 性别: GG
- 专业: 光学

3楼2013-11-07 17:59:51
4楼2013-11-07 22:18:34
opanane
木虫 (小有名气)
- 应助: 13 (小学生)
- 金币: 2946.7
- 散金: 20
- 红花: 6
- 帖子: 129
- 在线: 263.5小时
- 虫号: 1292941
- 注册: 2011-05-11
- 专业: 粒子物理学和场论
5楼2013-11-08 19:24:45














回复此楼