版块导航
正在加载中...
客户端APP下载
论文辅导
调剂小程序
登录
注册
帖子
帖子
用户
本版
应《网络安全法》要求,自2017年10月1日起,未进行实名认证将不得使用互联网跟帖服务。为保障您的帐号能够正常使用,请尽快对帐号进行手机号验证,感谢您的理解与支持!
24小时热门版块排行榜
>
论坛更新日志
(2251)
>
虫友互识
(77)
>
文献求助
(72)
>
考博
(43)
>
休闲灌水
(43)
>
导师招生
(39)
>
硕博家园
(37)
>
论文投稿
(21)
>
教师之家
(20)
>
论文道贺祈福
(17)
>
基金申请
(17)
>
公派出国
(15)
>
考研
(15)
>
博后之家
(11)
>
有机资源
(11)
>
招聘信息布告栏
(7)
小木虫论坛-学术科研互动平台
»
计算模拟区
»
第一性原理
»
Vasp&MedeA
»
[求助]光吸收系数
14
1/1
返回列表
查看: 5206 | 回复: 13
只看楼主
@他人
存档
新回复提醒
(忽略)
收藏
在APP中查看
小豆sumy
金虫
(小有名气)
应助: 1
(幼儿园)
金币: 966.5
帖子: 265
在线: 141.1小时
虫号: 1424702
[交流]
[求助]光吸收系数
请高人指点一下,得到介电函数虚部随光子能量变化的图像后,怎样做光吸收系数图像???
回复此楼
» 收录本帖的淘帖专辑推荐
刺客
» 猜你喜欢
AI 太可怕了,写基金时,提出想法,直接生成的文字比自己想得深远,还有科学性
已经有11人回复
天津大学招2026.09的博士生,欢迎大家推荐交流(博导是本人)
已经有11人回复
表哥与省会女结婚,父母去帮带孩子被省会女气回家生重病了
已经有9人回复
同年申请2项不同项目,第1个项目里不写第2个项目的信息,可以吗
已经有10人回复
依托企业入选了国家启明计划青年人才。有无高校可以引进的。
已经有11人回复
依托企业入选了国家启明计划青年人才。有无高校可以引进的。
已经有11人回复
高级回复
» 本主题相关价值贴推荐,对您同样有帮助:
计算一种氧化物,光吸收系数计算的光吸收边远大于能带带隙,求解释
已经有24人回复
【求助】怎么由吸收谱得到吸收系数和薄膜的带隙
已经有16人回复
【求助】紫外可见中的吸光度与吸收系数
已经有15人回复
【求助】如何算摩尔吸光系数
已经有8人回复
【求助】各种光伏材料的光吸收系数表
已经有8人回复
【求助】水的红外吸收系数(直接给50-100金币)
已经有6人回复
【求助】光为什么能通过玻璃
已经有74人回复
【求助】物质的吸收系数
已经有13人回复
【求助】透光率的理论计算路径
已经有11人回复
» 抢金币啦!回帖就可以得到:
查看全部散金贴
西湖大学2026年秋季入学物理学、光学、电子信息方向博士生有名额速来!!!
+
2
/260
西湖大学拓扑光学、非厄米光学、太赫兹方向博士后招聘
+
2
/248
中国石油大学(华东)吴传德教授团队(国家杰青)2026硕、博招生
+
2
/208
西南科技大学曹克课题组招收2026级申请考核制有机化学博士研究生
+
1
/176
华南师范大学(211)- 光电科学与工程学院 - 申请审核制(2026年4-5月份面试考核)
+
2
/106
江西理工大学联合中国科学院赣江创新研究院招收2026级博士研究生
+
1
/82
香港科技大学(广州)黄加强课题组智能电池方向博士招聘
+
1
/79
2025难忘的时刻
+
1
/63
感谢小木虫的缘分
+
1
/38
同济大学脑机智能团队脑机接口方向招生招聘
+
1
/30
同济大学脑机智能团队脑机接口方向招生招聘
+
1
/30
上海交大药学院侯四化课题组招收2名2026年秋季入学申请-考核制博士生
+
1
/26
【青岛大学】2026年生物与医药申请考核制博士生招生(含少数民族骨干人才)
+
1
/17
澳大利亚麦考瑞大学(Macquarie University)国际博士硕士全额奖学金-计算机-26年中开学
+
1
/16
香港中文大学(深圳)陈筱萌 课题组招生公告(博士 / 博后 / 硕士 / RA)
+
1
/15
中国科学技术大学环境系招生
+
1
/9
澳科大招收2026年秋季药剂学/生物材料方向全奖博士研究生(春节不打烊)
+
1
/4
2026年 陕西科技大学 环境学院 招收博士生(化学/材料/环境/生物 背景均可)
+
1
/3
美国密苏里大学“柔性电子”课题组诚招博士研究生
+
1
/2
美国密苏里大学“柔性电子”课题组诚招博士研究生
+
1
/1
1楼
2011-11-22 21:38:27
已阅
回复此楼
关注TA
给TA发消息
送TA红花
TA的回帖
liliangfang
荣誉版主
(著名写手)
1ST强帖: 7
应助: 138
(高中生)
贵宾: 0.952
金币: 10648.7
帖子: 1856
在线: 825.2小时
虫号: 1275010
★ ★
小木虫(金币
+0.5
):给个红包,谢谢回帖
fzx2008(金币+1): 谢谢回帖交流! 2011-11-26 12:31:50
知道介电函数就可以根据公式推导出吸收谱,你可以找一些计算光学性质的论文看看,里面有公式推导
赞
一下
(2人)
回复此楼
2楼
2011-11-25 15:31:56
已阅
回复此楼
关注TA
给TA发消息
送TA红花
TA的回帖
小豆sumy
金虫
(小有名气)
应助: 1
(幼儿园)
金币: 966.5
帖子: 265
在线: 141.1小时
虫号: 1424702
引用回帖:
2楼
:
Originally posted by
liliangfang
at 2011-11-25 15:31:56:
知道介电函数就可以根据公式推导出吸收谱,你可以找一些计算光学性质的论文看看,里面有公式推导
谢谢你!我还想问一下,我作的介电函数图谱那个介电峰有问题,中间凹了一点,是什么原因呢?
我基本上都是按照你那个<总结Si光学性质>的贴子来设的参数,只是我算的是硅纳米线。请问这是介电峰的问题该怎样解决呢?谢谢!
我的图
文献图
赞
一下
回复此楼
3楼
2011-11-25 21:55:25
已阅
回复此楼
关注TA
给TA发消息
送TA红花
TA的回帖
liliangfang
荣誉版主
(著名写手)
1ST强帖: 7
应助: 138
(高中生)
贵宾: 0.952
金币: 10648.7
帖子: 1856
在线: 825.2小时
虫号: 1275010
★
小木虫(金币
+0.5
):给个红包,谢谢回帖
引用回帖:
3楼
:
Originally posted by
小豆sumy
at 2011-11-25 21:55:25:
谢谢你!我还想问一下,我作的介电函数图谱那个介电峰有问题,中间凹了一点,是什么原因呢?
我基本上都是按照你那个<总结Si光学性质>的贴子来设的参数,只是我算的是硅纳米线。请问这是介电峰的问题该 ...
没有问题,值是我取 的精度没你的大
赞
一下
(1人)
回复此楼
4楼
2011-11-26 09:24:43
已阅
回复此楼
关注TA
给TA发消息
送TA红花
TA的回帖
小豆sumy
金虫
(小有名气)
应助: 1
(幼儿园)
金币: 966.5
帖子: 265
在线: 141.1小时
虫号: 1424702
引用回帖:
4楼
:
Originally posted by
liliangfang
at 2011-11-26 09:24:43:
没有问题,值是我取 的精度没你的大
我是对比文献图后 有差异,中间明显对不上的嘛,怎么会没问题,呵呵
赞
一下
回复此楼
5楼
2011-11-26 11:11:27
已阅
回复此楼
关注TA
给TA发消息
送TA红花
TA的回帖
liliangfang
荣誉版主
(著名写手)
1ST强帖: 7
应助: 138
(高中生)
贵宾: 0.952
金币: 10648.7
帖子: 1856
在线: 825.2小时
虫号: 1275010
★ ★ ★
小木虫(金币
+0.5
):给个红包,谢谢回帖
fzx2008(金币+2): 谢谢指教 2011-11-26 12:33:04
不是说了吗,别人的参数设置和你的不一样,如果是形态不一样那是你展开计算的方式和精度不一样,如果是峰值位置不一样哪就是你的带隙没算准,如果你想要文献那样的图哪你就调节ISMEAR,SIGMA,至于带隙能不能算准就得看用什么方法了,性质比较准确的算法是HSE06和GW。另外要做比较请找实验值做比较
赞
一下
(2人)
回复此楼
6楼
2011-11-26 11:25:12
已阅
回复此楼
关注TA
给TA发消息
送TA红花
TA的回帖
小豆sumy
金虫
(小有名气)
应助: 1
(幼儿园)
金币: 966.5
帖子: 265
在线: 141.1小时
虫号: 1424702
引用回帖:
6楼
:
Originally posted by
liliangfang
at 2011-11-26 11:25:12:
不是说了吗,别人的参数设置和你的不一样,如果是形态不一样那是你展开计算的方式和精度不一样,如果是峰值位置不一样哪就是你的带隙没算准,如果你想要文献那样的图哪你就调节ISMEAR,SIGMA,至于带隙能不能算准 ...
好的~我打算修改参数再算一下,第一次算结果不好也是正常。
另外,介电函数的虚部又分为垂直和平行的两部分,我现在不太清楚它是按什么来分的,以及各自有何意义呢?如果你了解的话请指点一下。那个符号打不出来,我传个图吧。
赞
一下
回复此楼
7楼
2011-11-26 18:00:18
已阅
回复此楼
关注TA
给TA发消息
送TA红花
TA的回帖
liliangfang
荣誉版主
(著名写手)
1ST强帖: 7
应助: 138
(高中生)
贵宾: 0.952
金币: 10648.7
帖子: 1856
在线: 825.2小时
虫号: 1275010
★
小木虫(金币
+0.5
):给个红包,谢谢回帖
引用回帖:
7楼
:
Originally posted by
小豆sumy
at 2011-11-26 18:00:18:
好的~我打算修改参数再算一下,第一次算结果不好也是正常。
另外,介电函数的虚部又分为垂直和平行的两部分,我现在不太清楚它是按什么来分的,以及各自有何意义呢?如果你了解的话请指点一下。那个符号打不出来 ...
这个我就不专业了,建议看看固体物理,我以前也提问过,你学凝聚态的固体物理应该学的比我好的,毕竟你又专业基础,比搞机械的强多了
赞
一下
(1人)
回复此楼
8楼
2011-11-26 18:25:09
已阅
回复此楼
关注TA
给TA发消息
送TA红花
TA的回帖
小豆sumy
金虫
(小有名气)
应助: 1
(幼儿园)
金币: 966.5
帖子: 265
在线: 141.1小时
虫号: 1424702
引用回帖:
8楼
:
Originally posted by
liliangfang
at 2011-11-26 18:25:09:
这个我就不专业了,建议看看固体物理,我以前也提问过,你学凝聚态的固体物理应该学的比我好的,毕竟你又专业基础,比搞机械的强多了
OK,我再去多找找资料,谢谢你~以后有问题还会多请教,呵呵
赞
一下
回复此楼
9楼
2011-11-26 18:35:40
已阅
回复此楼
关注TA
给TA发消息
送TA红花
TA的回帖
韩D小希
铁虫
(正式写手)
应助: 0
(幼儿园)
金币: 193.3
帖子: 440
在线: 157.7小时
虫号: 1249416
★
小木虫: 金币+0.5, 给个红包,谢谢回帖
引用回帖:
2楼
:
Originally posted by
liliangfang
at 2011-11-25 15:31:56
知道介电函数就可以根据公式推导出吸收谱,你可以找一些计算光学性质的论文看看,里面有公式推导
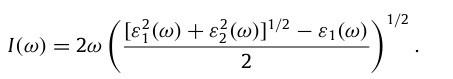
您好,冒昧打扰您一下,我现在算得了介电常数,用下面的公式算得光吸收,但是得到的吸收就只有几十,但是文献中的吸收都是10000这样的量级啊,麻烦您指点一下,十分感谢
未命名.jpg
赞
一下
回复此楼
10楼
2013-03-29 15:50:21
已阅
回复此楼
关注TA
给TA发消息
送TA红花
TA的回帖
liliangfang
荣誉版主
(著名写手)
1ST强帖: 7
应助: 138
(高中生)
贵宾: 0.952
金币: 10648.7
帖子: 1856
在线: 825.2小时
虫号: 1275010
引用回帖:
10楼
:
Originally posted by
韩D小希
at 2013-03-29 15:50:21
您好,冒昧打扰您一下,我现在算得了介电常数,用下面的公式算得光吸收,但是得到的吸收就只有几十,但是文献中的吸收都是10000这样的量级啊,麻烦您指点一下,十分感谢
未命名.jpg
...
注意看单位
回复此楼
11楼
2013-03-29 16:00:32
已阅
回复此楼
关注TA
给TA发消息
送TA红花
TA的回帖
qiaoshangxue
新虫
(初入文坛)
应助: 0
(幼儿园)
金币: 0.5
帖子: 5
在线: 3.3小时
虫号: 1624282
★
小木虫: 金币+0.5, 给个红包,谢谢回帖
想问下,你的单位搞定了?
赞
一下
回复此楼
12楼
2014-09-20 15:10:16
已阅
回复此楼
关注TA
给TA发消息
送TA红花
TA的回帖
我想遇见你
铁虫
(初入文坛)
应助: 0
(幼儿园)
金币: 699.8
帖子: 40
在线: 19.3小时
虫号: 2832708
★
小木虫: 金币+0.5, 给个红包,谢谢回帖
求问数据是怎么处理的?是从OUTCAR里面获得介电常数算出来的吸收系数吗?求分享程序~~~~~~谢谢大神!
赞
一下
回复此楼
13楼
2014-12-10 22:30:04
已阅
回复此楼
关注TA
给TA发消息
送TA红花
TA的回帖
天罡寒星
木虫
(著名写手)
应助: 6
(幼儿园)
金币: 4264
帖子: 1044
在线: 460.5小时
虫号: 2086630
引用回帖:
13楼
:
Originally posted by
我想遇见你
at 2014-12-10 22:30:04
求问数据是怎么处理的?是从OUTCAR里面获得介电常数算出来的吸收系数吗?求分享程序~~~~~~谢谢大神!
同求,期待中。。。
回复此楼
14楼
2015-01-23 16:40:17
已阅
回复此楼
关注TA
给TA发消息
送TA红花
TA的回帖
相关版块跳转
第一性原理
量子化学
计算模拟
分子模拟
仿真模拟
程序语言
我要订阅楼主
小豆sumy
的主题更新
14
1/1
返回列表
如果回帖内容含有宣传信息,请如实选中。否则帐号将被全论坛禁言
普通表情
龙
兔
虎
猫
高级回复
(可上传附件)
百度网盘
|
360云盘
|
千易网盘
|
华为网盘
在新窗口页面中打开自己喜欢的网盘网站,将文件上传后,然后将下载链接复制到帖子内容中就可以了。
信息提示
关闭
请填处理意见
关闭
确定