版块导航
正在加载中...
客户端APP下载
论文辅导
调剂小程序
登录
注册
帖子
帖子
用户
本版
应《网络安全法》要求,自2017年10月1日起,未进行实名认证将不得使用互联网跟帖服务。为保障您的帐号能够正常使用,请尽快对帐号进行手机号验证,感谢您的理解与支持!
24小时热门版块排行榜
>
论坛更新日志
(3916)
>
虫友互识
(827)
>
导师招生
(485)
>
文献求助
(454)
>
硕博家园
(177)
>
考研
(168)
>
休闲灌水
(164)
>
考博
(154)
>
博后之家
(107)
>
招聘信息布告栏
(95)
>
论文投稿
(62)
>
教师之家
(57)
>
基金申请
(55)
>
绿色求助(高悬赏)
(50)
>
公派出国
(42)
>
论文道贺祈福
(41)
小木虫论坛-学术科研互动平台
»
化学化工区
»
电化学
»
电分析测试
»
化学氧化法 聚吡咯颗粒 的循环伏安曲线
5
1/1
返回列表
查看: 1457 | 回复: 4
只看楼主
@他人
存档
新回复提醒
(忽略)
收藏
在APP中查看
jinjuan
铁虫
(初入文坛)
应助: 0
(幼儿园)
金币: 208.4
散金: 1
帖子: 38
在线: 67.9小时
虫号: 2010296
注册: 2012-09-18
性别:
MM
专业: 纳米医学
[
求助
]
化学氧化法 聚吡咯颗粒 的循环伏安曲线
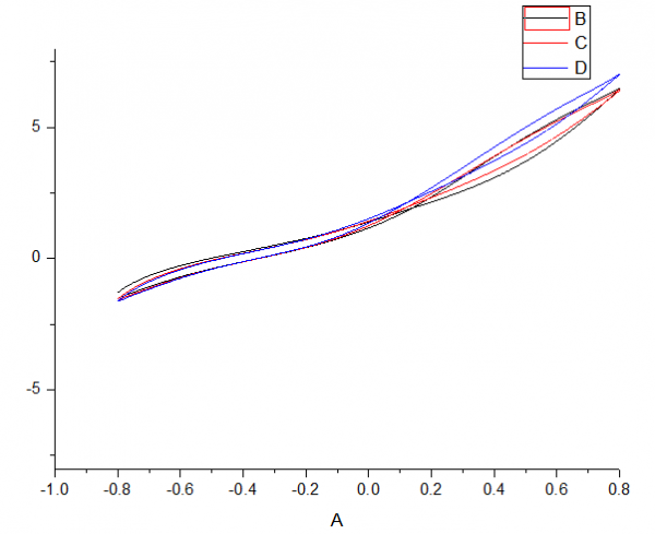
用化学氧化法制备的聚吡咯颗粒 做循环伏安曲线想证明其有氧化还原电活性 可测得的CV曲线如下所示?麻烦分析一下,这是发生了什么变化,好像没有氧化还原峰啊。。。
QQ截图.png
回复此楼
» 猜你喜欢
德国Karlsruhe Institute of Technology招收电化学储能及联合培养CSC博士等
已经有20人回复
德国Karlsruhe Institute of Technology招收电化学储能及联合培养CSC博士
已经有24人回复
物理化学论文润色/翻译怎么收费?
已经有154人回复
德国Karlsruhe Institute of Technology招收电化学储能及联合培养CSC博士
已经有1人回复
固态锂金属电池迁移数计算求助
已经有1人回复
荷兰奈梅亨大学赵文博与Galimberti课题组招收理论计算CSC博士 2000 欧元/月+房补
已经有0人回复
26储能博士申请自荐
已经有23人回复
上海交通大学--宁波东方理工大学电池方向博士招生
已经有10人回复
海南大学全国重点实验室杨金霖老师招收储能电池方向博士生(2026年3月报名,9月入学)
已经有1人回复
海南师范大学2026年博士研究生招收 (在职想提升学历人员可报考) 申请考核制+普通招考
已经有1人回复
申博求助
已经有0人回复
» 本主题相关价值贴推荐,对您同样有帮助:
循环伏安曲线只有还原峰没有氧化峰
已经有19人回复
循环伏安法测试氧化还原电位
已经有17人回复
循环伏安法氧化还原峰
已经有5人回复
问一个有关循环伏安的氧化还原峰电位的问题
已经有4人回复
电聚合聚苯胺,里面用的苯胺单体和买的苯胺溶液又有什么关系
已经有16人回复
关于循环伏安法测电极比容,谁能解释的。。。来啊!!!
已经有5人回复
有关超级电容器的循环伏安测试及充放电测试
已经有17人回复
循环伏安中氧化峰和还原峰的确定
已经有10人回复
我的循环伏安曲线中氧化物的还原峰为什么不明显?
已经有16人回复
循环伏安曲线中如何判断氧化反应和还原反应
已经有3人回复
二氧化钛与聚吡咯的复合材料的循环伏安问题
已经有10人回复
循环伏安法合成聚苯胺时,CV曲线上氧化还原电流增加,
已经有4人回复
关于化学氧化法制备聚吡咯时氧化剂FeCl3用量的问题
已经有20人回复
聚吡咯化学氧化聚合
已经有13人回复
循环伏安曲线基础问题--氧化峰,还原峰,氧化电位,还原电位及计算HOMO,LUMO的方法
已经有6人回复
循环伏安中如何区分是氧化还原峰还是吸附脱附峰?
已经有9人回复
【求助】吡咯的聚合问题
已经有16人回复
【求助】聚吡咯的制备
已经有21人回复
【求助】金属电极循环伏安法图谱及交流阻抗图谱分析
已经有10人回复
【求助】急!!!甲醇电催化氧化循环伏安曲线问题
已经有7人回复
【求助】请问化学合成的聚吡咯是什么颜色,要溶解聚吡咯需要什么溶剂?
已经有8人回复
【求助】循环伏安法中只有还原峰没有氧化峰是什么原因
已经有33人回复
1楼
2013-09-18 10:39:27
已阅
回复此楼
关注TA
给TA发消息
送TA红花
TA的回帖
f11700ak47
新虫
(小有名气)
应助: 5
(幼儿园)
金币: 2110.9
红花: 3
帖子: 293
在线: 100.8小时
虫号: 1235579
注册: 2011-03-16
性别: GG
专业: 功能与智能高分子
【答案】应助回帖
★ ★ ★ ★ ★ ★ ★ ★ ★ ★
感谢参与,应助指数 +1
jinjuan: 金币+10,
★
有帮助
2013-09-18 11:02:19
把横坐标加上,看看电流值是什么级别的(微安,毫安还是什么),基本上可以断定,你的这个实验失败了,聚吡咯的电化学曲线不是这样的,这个文献很多,可以去查查
赞
一下
回复此楼
2楼
2013-09-18 10:50:17
已阅
回复此楼
关注TA
给TA发消息
送TA红花
TA的回帖
jinjuan
铁虫
(初入文坛)
应助: 0
(幼儿园)
金币: 208.4
散金: 1
帖子: 38
在线: 67.9小时
虫号: 2010296
注册: 2012-09-18
性别:
MM
专业: 纳米医学
引用回帖:
2楼
:
Originally posted by
f11700ak47
at 2013-09-18 10:50:17
把横坐标加上,看看电流值是什么级别的(微安,毫安还是什么),基本上可以断定,你的这个实验失败了,聚吡咯的电化学曲线不是这样的,这个文献很多,可以去查查
电流是mA安级别 电压是V 电解质是PBS缓冲液 电测试时发现对电极Pt附近有气泡 是不是PBS本身被电解了 可文献中是用的PBS
赞
一下
回复此楼
3楼
2013-09-18 11:01:38
已阅
回复此楼
关注TA
给TA发消息
送TA红花
TA的回帖
良人缓缓归
铜虫
(初入文坛)
应助: 0
(幼儿园)
金币: 124.8
帖子: 32
在线: 35.1小时
虫号: 2600088
注册: 2013-08-13
性别: GG
专业: 生物材料
你好,能请教你的聚吡咯颗粒是什么粒径吗?在下最近合成聚吡咯好痛苦啊,望前辈不吝赐教啊。。。
赞
一下
回复此楼
陌上花开,可缓缓归矣。
4楼
2013-12-10 21:18:01
已阅
回复此楼
关注TA
给TA发消息
送TA红花
TA的回帖
jinjuan
铁虫
(初入文坛)
应助: 0
(幼儿园)
金币: 208.4
散金: 1
帖子: 38
在线: 67.9小时
虫号: 2010296
注册: 2012-09-18
性别:
MM
专业: 纳米医学
引用回帖:
4楼
:
Originally posted by
良人缓缓归
at 2013-12-10 21:18:01
你好,能请教你的聚吡咯颗粒是什么粒径吗?在下最近合成聚吡咯好痛苦啊,望前辈不吝赐教啊。。。
粒径大概在几百个纳米吧,我用化学氧化法合成的,合成还是挺简单的
赞
一下
回复此楼
5楼
2013-12-16 10:33:06
已阅
回复此楼
关注TA
给TA发消息
送TA红花
TA的回帖
相关版块跳转
有机交流
有机资源
高分子
无机/物化
分析
催化
工艺技术
化工设备
石油化工
精细化工
电化学
环境
SciFinder/Reaxys
我要订阅楼主
jinjuan
的主题更新
5
1/1
返回列表
如果回帖内容含有宣传信息,请如实选中。否则帐号将被全论坛禁言
普通表情
龙
兔
虎
猫
百度网盘
|
360云盘
|
千易网盘
|
华为网盘
在新窗口页面中打开自己喜欢的网盘网站,将文件上传后,然后将下载链接复制到帖子内容中就可以了。
信息提示
关闭
请填处理意见
关闭
确定