| 查看: 2114 | 回复: 5 | |
[求助]
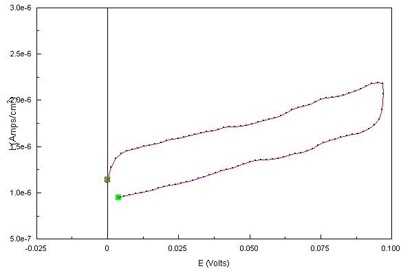
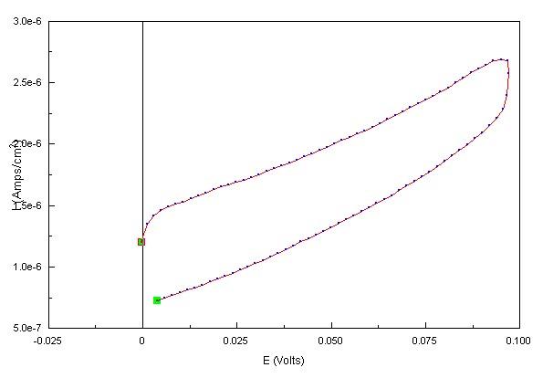
关于循环伏安法测电极比容,谁能解释的。。。来啊!!!
|
|
|
|
|
|
2楼2012-06-14 13:19:47
|
|
![]() |
|
|
3楼2012-06-14 16:25:05
|
|
![]() |
|
|
4楼2012-06-14 16:26:10
|
|
小河流水2008金虫 (著名写手)
|
|
![]() |
|
|
5楼2012-09-03 22:41:40
|
|
Eyln金虫 (正式写手)
|
|
|
6楼2013-07-02 22:38:43
|
|














回复此楼

