版块导航
正在加载中...
客户端APP下载
论文辅导
申博辅导
登录
注册
帖子
帖子
用户
本版
应《网络安全法》要求,自2017年10月1日起,未进行实名认证将不得使用互联网跟帖服务。为保障您的帐号能够正常使用,请尽快对帐号进行手机号验证,感谢您的理解与支持!
24小时热门版块排行榜
>
论坛更新日志
(2516)
>
虫友互识
(193)
>
导师招生
(110)
>
休闲灌水
(90)
>
教师之家
(88)
>
文献求助
(57)
>
基金申请
(43)
>
硕博家园
(41)
>
找工作
(39)
>
论文投稿
(38)
>
考博
(35)
>
博后之家
(33)
>
招聘信息布告栏
(24)
>
论文道贺祈福
(24)
>
考研
(22)
>
公派出国
(12)
小木虫论坛-学术科研互动平台
»
材料区
»
材料综合
»
塑料与橡胶
»
为什么我测的应力应变图中的初始应变不是从0开始呢
1
1/1
返回列表
查看: 1194 | 回复: 0
只看楼主
@他人
存档
新回复提醒
(忽略)
收藏
在APP中查看
xuelovebing
银虫
(小有名气)
应助: 0
(幼儿园)
金币: 1735.3
帖子: 56
在线: 34.3小时
虫号: 2007514
注册: 2012-09-17
性别:
MM
专业: 纤维
[
求助
]
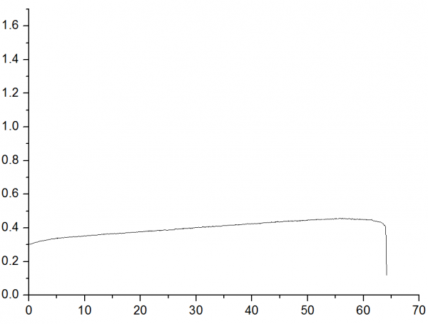
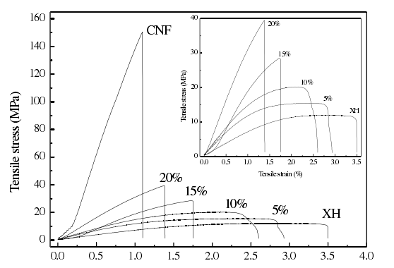
为什么我测的应力应变图中的初始应变不是从0开始呢
我用电子拉力试验机测定膜的应力应变曲线,机器每次都是等加到膜上的拉力大于1N时的点开始出图,膜的伸长量也是从这一点开始计算,导致出来的图应变是0的时候,应力是大于0 的,如下图一,但是我见文献中别人测得应力应变的初始值都是(0,0)开始的,有高手知道我的是什么情况吗,是不是仪器那个地方没设置好呢
图1.png
文献中的图.png
回复此楼
» 猜你喜欢
福建农林大学-森林工程-学术型硕士-招收调剂4人
已经有15人回复
石墨烯白炭黑与合成橡胶复合研究合作
已经有8人回复
有机高分子材料论文润色/翻译怎么收费?
已经有71人回复
请问有做过氯化胆碱/柠檬酸低共熔溶剂的大佬吗?
已经有1人回复
柠檬酸盐萃取
已经有0人回复
有了解双组分加成型室温硫化液体硅橡胶和铝合金的热粘结胶水的吗?
已经有5人回复
水性聚氨酯乳液含气泡求助
已经有3人回复
为橡胶、塑料以及高分子等材料提供免费实验(支持寄料打样)
已经有0人回复
做快乐的自己
1楼
2013-07-01 13:59:45
已阅
回复此楼
关注TA
给TA发消息
送TA红花
TA的回帖
智能机器人
Robot
(super robot)
我们都爱小木虫
找到一些相关的精华帖子,希望有用哦~
vasp计算应力--应变曲线时应力值发生突变的问题
已经有8人回复
实验测的材料的应力应变曲线 想再用这个曲线在ansys ls dyna 做模拟
已经有10人回复
如何从应力应变曲线中求镁合金的弹性模量
已经有13人回复
怎样在Orign中画应力应变曲线
已经有5人回复
求应力-应变曲线分析
已经有8人回复
已知材料的弹性模量和真实应力应变曲线,如何求屈服强度?
已经有11人回复
铝合金拉伸应力应变曲线怪异形状分析
已经有12人回复
用origin画应力应变图中出现的问题
已经有7人回复
Gleeble做出加工硬化曲线,为何加工硬化率一直大于0呢?感谢高手指点
已经有11人回复
如何把力-位移曲线转化为应力-应变曲线
已经有11人回复
请教如何计算应力-应变曲线下的面积
已经有19人回复
铝合金应力—应变曲线
已经有21人回复
应力应变拉伸曲线的处理
已经有8人回复
CASTEP模块中如何通过施加应变来得到应力,并形成应力应变曲线,详细实施步骤
已经有10人回复
应力应变曲线为什么是这样的?
已经有4人回复
DMA测试应变-应力曲线 如何使曲线从0应变开始?????
已经有9人回复
关于工程应力应变曲线换算成真实应力应变曲线的问题...
已经有12人回复
【求助】DMA 应力应变曲线中应变从负值开始是什么原因???
已经有9人回复
【求助】CASTEP计算弹性常数得到应力应变曲线
已经有17人回复
【求助】应力-应变曲线
已经有5人回复
【求助】为什么此拉伸应力-应变曲线如此怪异?
已经有25人回复
【求助】拉伸实验结果怎么分析
已经有7人回复
【求助】请教大家屈服强度的问题哈
已经有13人回复
【求助】如何做金属薄片的应力应变曲线?
已经有8人回复
【求助】关于钢的应力-应变曲线图
已经有10人回复
点击这里搜索更多相关资源
科研从小木虫开始,人人为我,我为人人
相关版块跳转
材料综合
材料工程
微米和纳米
晶体
金属
无机非金属
生物材料
功能材料
复合材料
我要订阅楼主
xuelovebing
的主题更新
1
1/1
返回列表
如果回帖内容含有宣传信息,请如实选中。否则帐号将被全论坛禁言
普通表情
龙
兔
虎
猫
百度网盘
|
360云盘
|
千易网盘
|
华为网盘
在新窗口页面中打开自己喜欢的网盘网站,将文件上传后,然后将下载链接复制到帖子内容中就可以了。
信息提示
关闭
请填处理意见
关闭
确定