| ²é¿´: 486 | »Ø¸´: 2 | ||
huzi2359½ð³æ (ÖøÃûдÊÖ)
|
[ÇóÖú]
Ò»¸öÊýѧÎïÀí·½³ÌµÄ½âÎö½â¡£
|
|
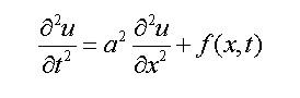
]%{7}[%QZ9ZAC}WYV`WY7JF.jpg ÇóÕâ¸öµÄ½âÎö½â¡£f£¨x£¬t£©Ã»ÓоßÌåµÄ±í´ïʽ¡£Ã»¸ø±ß½çÌõ¼þµÄ»°ÄÜÇó³öÀ´Ã´¡£ ]%{7}[%QZ9ZAC}WYV`WY7JF.jpg |
» ²ÂÄãϲ»¶
Çóµ÷¼ÁÍÆ¼ö ²ÄÁÏ 304
ÒѾÓÐ3È˻ظ´
336²ÄÁÏÇóµ÷¼Á
ÒѾÓÐ7È˻ظ´
²ÄÁÏѧ˶333Çóµ÷¼Á
ÒѾÓÐ6È˻ظ´
Ò»Ö¾Ô¸Ö£ÖÝ´óѧ£¬080500ѧ˶£¬×Ü·Ö317·ÖÇóµ÷¼Á
ÒѾÓÐ5È˻ظ´
351Çóµ÷¼Á
ÒѾÓÐ3È˻ظ´
316Çóµ÷¼Á
ÒѾÓÐ3È˻ظ´
349Çóµ÷¼Á
ÒѾÓÐ4È˻ظ´
343Çóµ÷¼Á
ÒѾÓÐ3È˻ظ´
341Çóµ÷¼Á
ÒѾÓÐ5È˻ظ´
325Çóµ÷¼Á
ÒѾÓÐ4È˻ظ´
» ±¾Ö÷ÌâÏà¹Ø¼ÛÖµÌùÍÆ¼ö£¬¶ÔÄúͬÑùÓаïÖú:
Å×ÎïÐÍÆ«Î¢·Ö·½³ÌµÄÊýÖµ½âÇó½âÎÊÌ⣬лл£¡
ÒѾÓÐ14È˻ظ´
ÊýѧÎïÀí·½³ÌÇó½â£¡£¨´ø±ß½çÌõ¼þµÄƫ΢·Ö·½³Ì£©
ÒѾÓÐ13È˻ظ´
¡¾¿Î¼þ¡¿ÊýѧÎïÀí·½·¨-ÊýѧÎïÀí·½³Ì²¿·Ö(±±¾©´óѧ)
ÒѾÓÐ122È˻ظ´
ÊýѧÎïÀí·½³Ì½²Òå(½ªÀñÉС¢³ÂÑÇÕã)£»ÊýѧÎïÀí·½³Ì½²Òå´ð°¸(µÚÒ»¡¢µÚ¶þÕÂ)
ÒѾÓÐ146È˻ظ´
ÐÎÈç[latex]{da/dt}{cos(a)}={C}[/latex]µÄ΢·Ö·½³ÌÊÇ·ñÓнâÎö½â£¿
ÒѾÓÐ4È˻ظ´
ÕâÑùÒ»¸öƫ΢·Ö·½³ÌÓÐûÓнâÎö½â£¿
ÒѾÓÐ4È˻ظ´
¡¾ÇóÖú¡¿Çó΢·Ö·½³Ì½âÎö½ây''+(2/x)y'-(m/x^2)y+ky=0
ÒѾÓÐ4È˻ظ´
¡¾ÇóÖú¡¿Çë½Ì·ÇÆë´Î³£Î¢·Ö·½³Ì×éµÄ½âÎö½â·¨
ÒѾÓÐ4È˻ظ´
¡¾ÇóÖú¡¿¡¶ÊýѧÎïÀí·½³Ì¡·¹È³¬ºÀµÈ±à£¨µÚÈý°æ£©
ÒѾÓÐ6È˻ظ´
ÑÐһҪѧÊýѧÎïÀí·½³Ì£¬ÊDz»ÊǺÜÄѰ¡£¿
ÒѾÓÐ8È˻ظ´
¡¾ÇóÖú¡¿ÌÖ½ÌÒ»¸öÊýѧÎïÀí·½³ÌµÄÎÊÌâ
ÒѾÓÐ5È˻ظ´
¡¾ÇóÖú¡¿´ó¼ÒÄÜ·ñÍÆ¼öÒ»ÏÂÊýѧÎïÀí·½³ÌÈëÃŵÄÓ¢ÎĽ̲Ä
ÒѾÓÐ5È˻ظ´

jfili
½ð³æ (ÕýʽдÊÖ)
- ÊýѧEPI: 17
- Ó¦Öú: 17 (СѧÉú)
- ¹ó±ö: 0.25
- ½ð±Ò: 2063.5
- É¢½ð: 110
- ºì»¨: 6
- ɳ·¢: 1
- Ìû×Ó: 594
- ÔÚÏß: 111.6Сʱ
- ³æºÅ: 730814
- ×¢²á: 2009-03-25
- רҵ: ƫ΢·Ö·½³Ì
- ¹ÜϽ: Êýѧ
2Â¥2013-05-20 16:43:38
lynzhung
Ìú³æ (СÓÐÃûÆø)
- Ó¦Öú: 11 (СѧÉú)
- ½ð±Ò: 599.6
- ºì»¨: 5
- Ìû×Ó: 124
- ÔÚÏß: 33.9Сʱ
- ³æºÅ: 1539409
- ×¢²á: 2011-12-16
- ÐÔ±ð: GG
- רҵ: ƫ΢·Ö·½³Ì
¡¾´ð°¸¡¿Ó¦Öú»ØÌû
¸Ðл²ÎÓ룬ӦÖúÖ¸Êý +1
|
Ê×ÏÈÓÉûÓнâÎö½âÊÍÒ»¸öÎÊÌ⣬²»ÊÇʲô·½³Ì¶¼ÓнâÎö½âµÄ£¡ Èç¹ûf½âÎö£¬ÄÇÒ»¶¨ÓнâÎö½â£¬ÖÁÉÙ¾Ö²¿ÓУ¬Èç¹û»¹Âú×ãһЩfµÄÈ«¾ÖÐÔÖÊ£¬ÄÇÈ«¾Ö×ÔȻҲ»áÓУ¡ ²»¹ýf²»ÊǽâÎöµÄ£¬ÄÇôÕâ¸ö²»Ò»¶¨½âÎö£¨ÓпÉÄÜÒ»¶¨²»½âÎö£¬¾ßÌå¿É¼û60Äê´ú¹ØÓÚ½âÎö½âµÄһЩÎÄÕ£© ÓðëȺ±íʾ¿ÉÒÔд³ö»ý·ÖÐÎʽ¡£ |
3Â¥2013-05-20 20:48:02













»Ø¸´´ËÂ¥
6