| 查看: 1967 | 回复: 3 | ||
zhang_jaj木虫 (正式写手)
|
[求助]
【求助】lammps中是否有关于Bond-orientational order参数的 已有1人参与
|
|
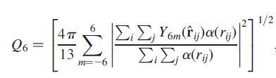
看许多文献中提到用伞形抽样时,需要有个坐标。是用Q6表示的: 不知道哪位有用过这个的,能介绍下吗。lammps中是怎么实现的 q6.JPG 说Y是球谐函数,a是权重函数;liquid时,Q6为0.fcc或者hcp时为0.5。实在困惑啊 [ Last edited by zhang_jaj on 2013-5-8 at 23:07 ] |
» 猜你喜欢
22408 调剂材料
已经有6人回复
285求调剂
已经有12人回复
求调剂
已经有6人回复
085600材料与化工301分求调剂院校
已经有19人回复
277工科求调剂
已经有11人回复
277求调剂 数一104分
已经有13人回复
304求调剂
已经有10人回复
336求调剂,一志愿中科大
已经有6人回复
071000生物学,一志愿深圳大学296分,求调剂
已经有3人回复
一志愿北京化工085600 310分求调剂
已经有19人回复
» 本主题相关价值贴推荐,对您同样有帮助:
【求助】lammps关于fix ave/spatial命令应用问题
已经有4人回复
【求助】Lammps使用?
已经有0人回复
【求助】LAMMPS-运行报错
已经有9人回复
【求助】lammps势的选择
已经有3人回复
【求助】lammps模拟聚合物刷如何建模?
已经有1人回复
【求助】LAMMPS构造晶界
已经有0人回复
【求助】lammps或者dlpoly能否做粗粒化模拟吗?
已经有3人回复
【求助】Lammps能做布朗动力学模拟吗?
已经有3人回复
【求助】lammps怎么算声子谱?
已经有1人回复
【求助】lammps的使用
已经有9人回复
【求助】lammps 安装问题
已经有1人回复
【求助】Lammps 中加外力的问题
已经有1人回复
【求助】LAMMPS中添加Lees-Edwards边界条件
已经有2人回复
【求助】lammps这段代码的意思是?
已经有1人回复
【求助】lammps计算heat/flux出错
已经有1人回复
【求助】lammps如何测量模拟以后材料的晶格参数?
已经有7人回复
【求助】LAMMPS-REAX计算出错
已经有3人回复
【求助】lammps中多元化合物的晶格创建问题
已经有14人回复
【求助】lammps中消除平动对温度统计的影响问题
已经有2人回复
【求助】Lammps 多机并行的问题
已经有11人回复
zhang_jaj
木虫 (正式写手)
- 应助: 14 (小学生)
- 金币: 2135.7
- 散金: 693
- 红花: 8
- 帖子: 447
- 在线: 448小时
- 虫号: 1015849
- 注册: 2010-05-11
- 性别: GG
- 专业: 凝聚态物性I:结构、力学和
2楼2013-05-10 07:03:05
ddll_slsl
木虫 (正式写手)
- 应助: 101 (高中生)
- 金币: 2939.2
- 红花: 6
- 帖子: 670
- 在线: 255.3小时
- 虫号: 2121784
- 注册: 2012-11-12
- 专业: 动力学与控制
3楼2013-05-13 09:52:26
4楼2014-03-22 15:41:31














回复此楼