±±¾©Ê¯ÓÍ»¯¹¤Ñ§Ôº2026ÄêÑо¿ÉúÕÐÉú½ÓÊÕµ÷¼Á¹«¸æ
²é¿´: 1440  |  »Ø¸´: 3

lvrui107

гæ (³õÈëÎÄ̳)

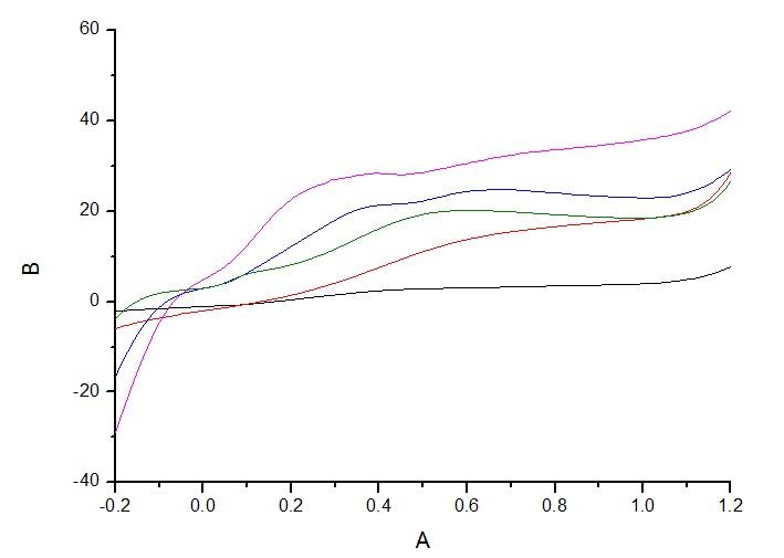
[ÇóÖú] ÇóÖú£ºÇó¸÷λ°ïæ·ÖÎöÒ»ÏÂÎÒµÄI-VÇúÏß

ÎÒ×öµÄÊǽð¸ºÔصÄZnOÄÉÃ×°ô

µç½âÒºÊÇÁòËáÄÆÈÜÒº£¨0.5M£©£¬¹âÕÕÇ¿¶ÈÊÇ100mW/cm2µÄ¿É¼û¹â£¬PtƬ×ö¶Ôµç¼«£¬Ag/AgCl×ö²Î±Èµç¼«

ÏëÇë½Ì´ó¼ÒΪʲô×îÉÏÃæÈýÌõ²â³öµÄ¹âµçÁ÷»áÓйİüÄØ£¿ÕâÊÇʲôԭÒòÄØ£¿

»¹ÏëÇëÎÊ´ó¼ÒÒ»°ã×öI-VÇúÏß²âÊÔʱÊÇÔõôɨÃèµÄ£¿Ó¦¸Ã´Ó¸ºÏòÕýɨ£¬»¹ÊÇ´Ó¸ºÏòÕýɨ£¿

лл¸÷λÁË£¡£¡

ÎÞ±êÌâ.jpg
»Ø¸´´ËÂ¥

» ²ÂÄãϲ»¶

» ±¾Ö÷ÌâÏà¹ØÉ̼ÒÍÆ¼ö: (ÎÒÒ²ÒªÔÚÕâÀïÍÆ¹ã)

» ±¾Ö÷ÌâÏà¹Ø¼ÛÖµÌùÍÆ¼ö£¬¶ÔÄúͬÑùÓаïÖú:

ÒÑÔÄ   »Ø¸´´ËÂ¥   ¹Ø×¢TA ¸øTA·¢ÏûÏ¢ ËÍTAºì»¨ TAµÄ»ØÌû

ÃØÊé´¦

ľ³æ (ÕýʽдÊÖ)

гæ

¡¾´ð°¸¡¿Ó¦Öú»ØÌû

¸Ðл²ÎÓ룬ӦÖúÖ¸Êý +1
ÎұȽÏÇãÏòÓÚ¸ºÏòɨÃè
ƽµ­Éú»î
2Â¥2013-05-02 15:03:26
ÒÑÔÄ   »Ø¸´´ËÂ¥   ¹Ø×¢TA ¸øTA·¢ÏûÏ¢ ËÍTAºì»¨ TAµÄ»ØÌû

lvrui107

гæ (³õÈëÎÄ̳)

ÒýÓûØÌû:
2Â¥: Originally posted by ÃØÊé´¦ at 2013-05-02 15:03:26
ÎұȽÏÇãÏòÓÚ¸ºÏòɨÃè

¡°¸ºÏò¡±Ö¸µÄÊÇ´ÓÕýµ½¸ºµÄÒâ˼Âð£¿
3Â¥2013-05-02 15:09:49
ÒÑÔÄ   »Ø¸´´ËÂ¥   ¹Ø×¢TA ¸øTA·¢ÏûÏ¢ ËÍTAºì»¨ TAµÄ»ØÌû

19860917zs

ľ³æ (ÕýʽдÊÖ)

Â¥Ö÷£¬ÄãÊÇÔõô²âÊԵģ¬ÎÒ×î½üÒ²ÔÚ×öÕâ¸ö²âÊÔ£¬²â³öÀ´µÄÇúÏßºÜÆæ¹Ö£¬Äܲ»ÄÜÖ¸µãÖ¸µã°¡
4Â¥2013-06-21 16:16:32
ÒÑÔÄ   »Ø¸´´ËÂ¥   ¹Ø×¢TA ¸øTA·¢ÏûÏ¢ ËÍTAºì»¨ TAµÄ»ØÌû
Ïà¹Ø°æ¿éÌø×ª ÎÒÒª¶©ÔÄÂ¥Ö÷ lvrui107 µÄÖ÷Ìâ¸üÐÂ
×î¾ßÈËÆøÈÈÌûÍÆ¼ö [²é¿´È«²¿] ×÷Õß »Ø/¿´ ×îºó·¢±í
[¿¼ÑÐ] ±¾¿Æ211£¬293·ÖÇëÇóµ÷¼Á +8 Á«²Ë¾ÍÊÇź°É 2026-04-03 9/450 2026-04-05 19:12 by À¶ÔÆË¼Óê
[¿¼ÑÐ] һ־Ըͬ¼Ã´óѧ323·Ö£¨080500£©Çóµ÷¼Á +8 yikeniu 2026-04-01 8/400 2026-04-05 18:15 by cql1109
[¿¼ÑÐ] 298Çóµ÷¼Á +3 manman511 2026-04-05 3/150 2026-04-05 18:09 by kk112233
[¿¼ÑÐ] Ò»Ö¾Ô¸211ÉúÎïѧ280·Ö Çóµ÷¼Á +4 Àîrien 2026-04-05 4/200 2026-04-05 18:01 by kk112233
[¿¼ÑÐ] 272Çóµ÷¼Á +4 µçÆøÀî 2026-04-05 4/200 2026-04-05 10:41 by lbsjt
[¿¼ÑÐ] 0703µ÷¼Á +11 ʰ¾ÁÒ¼ 2026-04-04 12/600 2026-04-05 10:29 by ¹û¶³´óÍõ
[¿¼ÑÐ] ÉúÎ﹤³ÌÇóµ÷¼Á +6 ϲ»¶»¹ÊDz»¸ÊÐÄ 2026-04-05 6/300 2026-04-05 10:28 by ÌÆãå¶ù
[¿¼ÑÐ] µ÷¼ÁÇóÖú +10 Ïë»»ÊÖ»ú²»Ïë½âÊ 2026-04-02 13/650 2026-04-05 09:41 by sam3303
[¿¼ÑÐ] 085602µ÷¼Á ³õÊÔ×Ü·Ö335 +12 19123253302 2026-04-04 12/600 2026-04-05 08:08 by 544594351
[¿¼ÑÐ] Ò»Ö¾Ô¸211£¬»¯Ñ§Ñ§Ë¶£¬310·Ö£¬±¾¿ÆÖصãË«·Ç£¬Çóµ÷¼Á +11 ŬÁ¦·Ü¶·112 2026-04-04 11/550 2026-04-04 20:51 by À¶ÔÆË¼Óê
[¿¼ÑÐ] Ò»Ö¾Ô¸°²»Õij211 0703»¯Ñ§×Ü·Ö339Çóµ÷¼Á +6 Íí·ç²»Íí 2026-04-04 6/300 2026-04-04 20:11 by dongzh2009
[¿¼ÑÐ] 306Çóµ÷¼Á +3 hybÉÏÃû¹¤ 2026-04-02 3/150 2026-04-04 18:12 by ÈÈÇéɳĮ
[¿¼ÑÐ] ±¾9Ò»Ö¾Ô¸2 0854µÍ·Öר˶286Çóµ÷¼Á +9 âÖÖ111 2026-04-04 9/450 2026-04-04 11:01 by tangruihua
[¿¼ÑÐ] ¿¼ÑÐÇóµ÷¼Á +3 ľÐÄÏë¼ÌÐøÉîÔì 2026-04-03 3/150 2026-04-03 21:56 by à£à£à£0119
[¿¼ÑÐ] ¹¤¿Æ 267Çóµ÷¼Á +5 wanwan00 2026-04-02 7/350 2026-04-03 14:14 by zhangdingwa
[¿¼ÑÐ] µ÷¼Á +7 ìíáº. 2026-04-02 7/350 2026-04-03 09:11 by »¨ß»¹Ç·600
[¿¼ÑÐ] ²ÄÁÏ»¯¹¤340Çóµ÷¼Á +5 jhx777 2026-03-30 5/250 2026-04-02 12:45 by smileboy2006
[¿¼ÑÐ] 348»·¾³¹¤³Ìµ÷¼Á +3 ÎâÑå׿24k 2026-04-01 3/150 2026-04-02 09:14 by nanaliuyun
[¿¼ÑÐ] 285Çóµ÷¼Á +11 AZMK 2026-04-01 11/550 2026-04-01 22:40 by peike
[¿¼ÑÐ] 085601 329·Öµ÷¼Á +6 yzsa12 2026-03-31 6/300 2026-03-31 15:23 by yanflower7133
ÐÅÏ¢Ìáʾ
ÇëÌî´¦ÀíÒâ¼û