版块导航
正在加载中...
客户端APP下载
论文辅导
调剂小程序
登录
注册
帖子
帖子
用户
本版
应《网络安全法》要求,自2017年10月1日起,未进行实名认证将不得使用互联网跟帖服务。为保障您的帐号能够正常使用,请尽快对帐号进行手机号验证,感谢您的理解与支持!
24小时热门版块排行榜
>
论坛更新日志
(3349)
>
虫友互识
(369)
>
文献求助
(221)
>
休闲灌水
(208)
>
导师招生
(161)
>
考博
(79)
>
考研
(53)
>
博后之家
(51)
>
硕博家园
(50)
>
论文投稿
(43)
>
基金申请
(35)
>
论文道贺祈福
(32)
>
公派出国
(31)
>
教师之家
(29)
>
招聘信息布告栏
(27)
>
找工作
(26)
小木虫论坛-学术科研互动平台
»
化学化工区
»
高分子
»
测试表征
»
【求助】求流变达人帮忙分析一下流变图 谢谢
13
1/1
返回列表
查看: 3169 | 回复: 12
只看楼主
@他人
存档
新回复提醒
(忽略)
收藏
在APP中查看
shipinpin
金虫
(小有名气)
应助: 0
(幼儿园)
金币: 1471.5
帖子: 60
在线: 540.5小时
虫号: 971628
[交流]
【求助】求流变达人帮忙分析一下流变图 谢谢
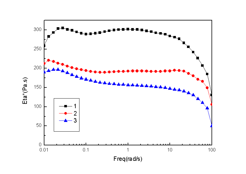
本人做的是纤维增强热塑性树脂的转矩流变,其中1号曲线是碳纤维未经表面处理得到,2.3号曲线是纤维经过表面处理,与树脂的界面结合的到改善,但为什么粘度和损耗因子都降低了,请高手指教
回复此楼
» 收录本帖的淘帖专辑推荐
表征相关
高分子加工
» 猜你喜欢
售SCI一区文章,我:8 O5 51O 54,科目齐全,可+急
已经有3人回复
售SCI一区文章,我:8 O5 51O 54,科目齐全,可+急
已经有5人回复
为什么中国大学教授们水了那么多所谓的顶会顶刊,但还是做不出宇树机器人?
已经有3人回复
售SCI一区文章,我:8 O5 51O 54,科目齐全,可+急
已经有4人回复
售SCI一区文章,我:8 O5 51O 54,科目齐全,可+急
已经有3人回复
售SCI一区文章,我:8 O5 51O 54,科目齐全,可+急
已经有4人回复
“人文社科而论,许多学术研究还没有达到民国时期的水平”
已经有5人回复
过年走亲戚时感受到了所开私家车的鄙视链
已经有11人回复
什么是人一生最重要的?
已经有4人回复
版面费该交吗
已经有3人回复
高级回复
» 本主题相关价值贴推荐,对您同样有帮助:
【红外光谱求助】诚恳红外光谱达人进来帮忙啊!!!
已经有3人回复
求 谱图解析, 有核磁 质谱 求波谱达人
已经有3人回复
(有机化学)求达人闲暇无聊时帮忙翻译一段话~~嫌金币少可追加~~
已经有1人回复
我的质粒怎么回事,一直不好,请各位达人帮忙看一下
已经有21人回复
这是回火马氏体吗?急,下午预答辩,求助达人帮忙
已经有14人回复
求钛合金磨样达人帮忙啊。。。愁
已经有14人回复
大清早发个求助帖,求微生物达人从形态上鉴别一下这是什么菌
已经有19人回复
请问申请北美留学paper的价值问题,求达人帮忙
已经有7人回复
【讨论】溶剂峰出峰时间问题,请求达人解决~~
已经有5人回复
请达人帮忙看一下,编辑如下的拒稿理由能否debate一下
已经有6人回复
达人帮忙汉译一下英啊,本人英语四级没过啊!全部金币。。
已经有0人回复
【求助】再次求助,实验过程遇到难题,请达人帮忙!
已经有10人回复
【求助/交流】以连接产物做模板扩增此连接产物,有问题请教各位达人~麻烦您帮忙分析下
已经有9人回复
» 抢金币啦!回帖就可以得到:
查看全部散金贴
单曲循环久了很多都会变
+
1
/436
招收桥梁工程方向博士研究生!
+
3
/167
南通大学生物医药方向国家级人才团队招聘教师
+
3
/164
广工-董华锋教授团队招收博士生(1学博-0-1专博)
+
1
/86
天津科技大学海洋与环境学院殷焕顺团队招博士生1名---分析化学领域
+
1
/81
新西兰 奥克兰理工大学(AUT)招博士,海藻资源化方向,详情请见如下内容,谢谢!
+
1
/24
北京某研究院结构生物学相关专业申请考核制博士招生(春季)
+
1
/20
英国布里斯托大学诚招博士生,博士后和联合培养生
+
1
/17
代朋友发 88公务员诚征男友
+
1
/14
青岛大学纺织服装学院张宪胜教授招收博士研究生
+
1
/13
太原理工大学集成电路学院招收2026年博士研究生
+
1
/6
全奖博士 英国利物浦大学+台湾清华大学 双博士学位
+
1
/5
【科研助理招聘-北京理工大学-集成电路与电子学院-国家杰青团队】
+
1
/5
英国南安普顿大学禅铎课题组诚招气候动力方向博士后
+
1
/5
南昌大学资源与环境学院刘进教授团队招收2026硕博研究生
+
1
/5
中国科学技术大学 工程科学学院 国家级人才团队 诚聘博士后
+
1
/5
武汉纺织大学全国重点实验室陈嵘教授团队招收硕士研究生
+
1
/4
26申博自荐求博导-生物传感分析方向
+
1
/3
澳科大招收2026秋纳米医学/生物材料方向全奖博士研究生(3月5日18:00截止)
+
1
/2
招收2026年入学博士研究生
+
1
/2
1楼
2011-03-17 14:32:16
已阅
回复此楼
关注TA
给TA发消息
送TA红花
TA的回帖
liumingchang
铁杆木虫
(正式写手)
应助: 14
(小学生)
金币: 8272.4
帖子: 952
在线: 114小时
虫号: 894683
★
dashyi(金币+1): 欢迎常来交流 2011-03-18 09:20:07
损耗因子是
衡量系统的阻尼特性并决定其振动能量耗散能力的
重要参数,所以也称为阻尼损耗因子,它包括内损耗
因子和耦合损耗因子,内损耗因子是反映子系统阻
尼特性的量,耦合损耗因子是统计能量分析中唯一
用于表征耦合系统间能量交换的重要参数。
赞
一下
(1人)
回复此楼
2楼
2011-03-17 15:55:13
已阅
回复此楼
关注TA
给TA发消息
送TA红花
TA的回帖
famou
木虫
(正式写手)
应助: 27
(小学生)
金币: 2335.8
帖子: 380
在线: 145.1小时
虫号: 999247
★
shipinpin(金币+1): 2011-03-18 09:01:11
dashyi(金币+1): 欢迎常来交流 2011-03-18 09:19:47
表面处理是不是打断了纤维的键?
赞
一下
(1人)
回复此楼
3楼
2011-03-17 18:33:49
已阅
回复此楼
关注TA
给TA发消息
送TA红花
TA的回帖
joli
铁杆木虫
(职业作家)
应助: 134
(高中生)
贵宾: 0.4
金币: 7502.6
帖子: 3404
在线: 777小时
虫号: 361143
★
shipinpin(金币+1): 2011-03-18 09:01:16
shipinpin(金币+1): 2011-03-18 09:01:21
dashyi(金币+1): 欢迎常来交流 2011-03-18 09:19:56
估计纤维处理后,长度变短、变细了
赞
一下
(1人)
回复此楼
4楼
2011-03-17 23:26:51
已阅
回复此楼
关注TA
给TA发消息
送TA红花
TA的回帖
shipinpin
金虫
(小有名气)
应助: 0
(幼儿园)
金币: 1471.5
帖子: 60
在线: 540.5小时
虫号: 971628
引用回帖:
Originally posted by
joli
at 2011-03-17 23:26:51:
估计纤维处理后,长度变短、变细了
这应该是和界面作用力有关系的,纤维长度变化很小
赞
一下
回复此楼
5楼
2011-03-18 09:04:37
已阅
回复此楼
关注TA
给TA发消息
送TA红花
TA的回帖
shipinpin
金虫
(小有名气)
应助: 0
(幼儿园)
金币: 1471.5
帖子: 60
在线: 540.5小时
虫号: 971628
引用回帖:
Originally posted by
famou
at 2011-03-17 18:33:49:
表面处理是不是打断了纤维的键?
没有打断键,表面处理完之后纤维表面接有化学键
赞
一下
回复此楼
6楼
2011-03-18 09:06:05
已阅
回复此楼
关注TA
给TA发消息
送TA红花
TA的回帖
famou
木虫
(正式写手)
应助: 27
(小学生)
金币: 2335.8
帖子: 380
在线: 145.1小时
虫号: 999247
★
东昌莘(金币+1): 鼓励交流 2011-03-21 23:40:21
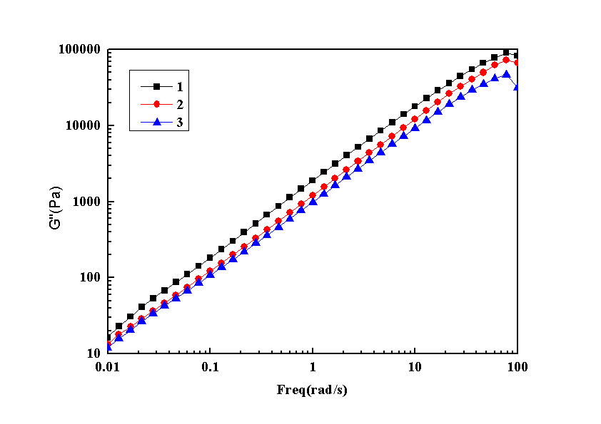
能不能给一个G'和G"对频率的曲线看看,G'低频的变化更能反应复合体系中的微观结构变化
另外你的改性是基于什么手段呢?
赞
一下
(1人)
回复此楼
7楼
2011-03-18 10:52:11
已阅
回复此楼
关注TA
给TA发消息
送TA红花
TA的回帖
shipinpin
金虫
(小有名气)
应助: 0
(幼儿园)
金币: 1471.5
帖子: 60
在线: 540.5小时
虫号: 971628
引用回帖:
Originally posted by
famou
at 2011-03-18 10:52:11:
能不能给一个G'和G"对频率的曲线看看,G'低频的变化更能反应复合体系中的微观结构变化
另外你的改性是基于什么手段呢?
改性主要是用化学方法对纤维表面处理,使纤维表面形成化学键与树脂基体反应
赞
一下
回复此楼
8楼
2011-03-18 11:08:24
已阅
回复此楼
关注TA
给TA发消息
送TA红花
TA的回帖
buct106
金虫
(正式写手)
应助: 2
(幼儿园)
金币: 1128.9
帖子: 498
在线: 123.1小时
虫号: 712941
★ ★
shipinpin(金币+10): 2011-03-18 19:20:44
东昌莘(金币+2): 鼓励交流 2011-03-21 23:40:32
楼主,这应该是旋转流变的振荡测试,不是转矩流变吧。
一般来说,相对于不加填充剂的体系,聚合物中添加填充剂后,如果填充剂与基体相容性不好,使填充剂在基体中分散性较差,造成界面结合处流动阻力较大,故体系的熔体黏度会增加,而对填充剂进行表面改性后,可以改善其与聚合物基体的相容性,界面层厚度增加,流动阻力降低,所以熔体黏度会出现降低。
此外,从图上看,界面改性后,同一频率下的损耗因子应该是升高了啊
一家之言,仅供参考,欢迎大家交流
赞
一下
(1人)
回复此楼
9楼
2011-03-18 13:00:24
已阅
回复此楼
关注TA
给TA发消息
送TA红花
TA的回帖
xbaqiao
金虫
(初入文坛)
应助: 0
(幼儿园)
金币: 561.5
帖子: 43
在线: 14.7小时
虫号: 527881
★ ★
shipinpin(金币+10): 2011-03-18 19:23:35
东昌莘(金币+2): 鼓励交流 2011-03-21 23:40:40
1.从楼主的图看,损耗因子是增加了。
2.损耗因子的峰向高频移动,我觉得是相互作用降低的结果。
3.建议测量复合材料中基体的玻璃化温度在纤维改性前后的变化,以证明界面作用增强。
4. 建议做纤维本身改性前后的力学性能。
综合以上结果,才能讨论粘度和模量的降低。
赞
一下
(1人)
回复此楼
10楼
2011-03-18 14:53:51
已阅
回复此楼
关注TA
给TA发消息
送TA红花
TA的回帖
shipinpin
金虫
(小有名气)
应助: 0
(幼儿园)
金币: 1471.5
帖子: 60
在线: 540.5小时
虫号: 971628
引用回帖:
Originally posted by
buct106
at 2011-03-18 13:00:24:
楼主,这应该是旋转流变的振荡测试,不是转矩流变吧。
一般来说,相对于不加填充剂的体系,聚合物中添加填充剂后,如果填充剂与基体相容性不好,使填充剂在基体中分散性较差,造成界面结合处流动阻力较大,故体系 ...
不好意思,做的就是旋转流变,我说错了,谢谢指教
赞
一下
回复此楼
11楼
2011-03-18 19:21:47
已阅
回复此楼
关注TA
给TA发消息
送TA红花
TA的回帖
shipinpin
金虫
(小有名气)
应助: 0
(幼儿园)
金币: 1471.5
帖子: 60
在线: 540.5小时
虫号: 971628
引用回帖:
Originally posted by
xbaqiao
at 2011-03-18 14:53:51:
1.从楼主的图看,损耗因子是增加了。
2.损耗因子的峰向高频移动,我觉得是相互作用降低的结果。
3.建议测量复合材料中基体的玻璃化温度在纤维改性前后的变化,以证明界面作用增强。
4. 建议做纤维本身改性前后 ...
谢谢指教,我测过纤维改性前后复合材料的力学性能,力学性能提高了,还想请教一下,怎么通过玻璃化温度变化证明界面作用的增强?
赞
一下
回复此楼
12楼
2011-03-18 19:25:14
已阅
回复此楼
关注TA
给TA发消息
送TA红花
TA的回帖
xbaqiao
金虫
(初入文坛)
应助: 0
(幼儿园)
金币: 561.5
帖子: 43
在线: 14.7小时
虫号: 527881
★
东昌莘(金币+1): 鼓励交流 2011-03-21 23:41:01
引用回帖:
Originally posted by
shipinpin
at 2011-03-18 19:25:14:
谢谢指教,我测过纤维改性前后复合材料的力学性能,力学性能提高了,还想请教一下,怎么通过玻璃化温度变化证明界面作用的增强?
对啊,如果复合材料中一种成分的模量提高,整个复合材料体系的模量就提高,这个是很正常的解释,不管什么界面的原因也可以说得通。所以未必是界面的原因。
一般说来,界面相互作用增强可以阻碍分子链段的运动,玻璃化温度升高。
赞
一下
(1人)
回复此楼
13楼
2011-03-21 10:23:36
已阅
回复此楼
关注TA
给TA发消息
送TA红花
TA的回帖
相关版块跳转
有机交流
有机资源
高分子
无机/物化
分析
催化
工艺技术
化工设备
石油化工
精细化工
电化学
环境
SciFinder/Reaxys
我要订阅楼主
shipinpin
的主题更新
13
1/1
返回列表
如果回帖内容含有宣传信息,请如实选中。否则帐号将被全论坛禁言
普通表情
龙
兔
虎
猫
高级回复
(可上传附件)
百度网盘
|
360云盘
|
千易网盘
|
华为网盘
在新窗口页面中打开自己喜欢的网盘网站,将文件上传后,然后将下载链接复制到帖子内容中就可以了。
信息提示
关闭
请填处理意见
关闭
确定