| 查看: 689 | 回复: 3 | |
[求助]
随机变量收敛疑惑
|
|
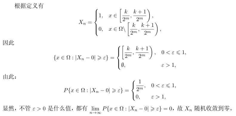
![]() |
|
|
|
|
|
2楼2013-04-27 15:03:28
|
|
Pchief铁杆木虫 (正式写手)
|
|
|
3楼2013-04-27 17:04:17
|
|
oliyiyi铁杆木虫 (正式写手)
|
|
|
4楼2013-05-07 22:16:54
|
|













回复此楼