| 查看: 421 | 回复: 0 | |
bamboo1237银虫 (小有名气)
|
[求助]
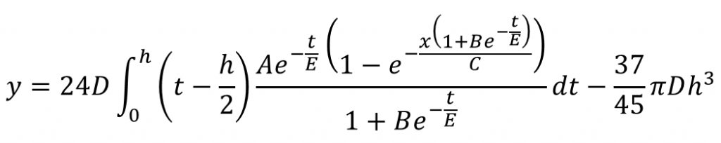
通过实验数据拟合,求解公式中的参数之二
|
![]() |
|
|
|
|
|
找到一些相关的精华帖子,希望有用哦~
科研从小木虫开始,人人为我,我为人人
|














,所以重新发个帖求助,最好能用matlab,origin等解决,或者可以从网上得到的软件解决,希望能不止有个结果,解决思路和过程最好也有
回复此楼

点击这里搜索更多相关资源