±±¾©Ê¯ÓÍ»¯¹¤Ñ§Ôº2026ÄêÑо¿ÉúÕÐÉú½ÓÊÕµ÷¼Á¹«¸æ
²é¿´: 3448  |  »Ø¸´: 1

yuahua

гæ (СÓÐÃûÆø)

[ÇóÖú] MatlabÈçºÎÇó½â״̬¿Õ¼äµÄ½â

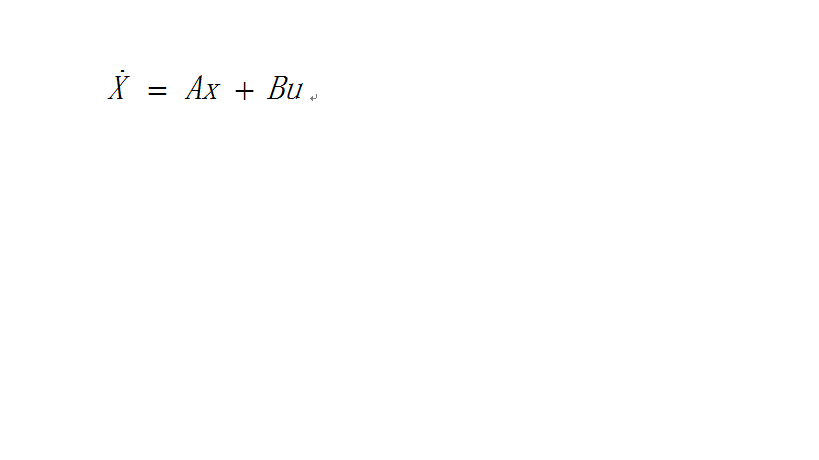
Îҵõ½µÄ״̬¿Õ¼äÄ£ÐÍÈçͼËùʾ£¬ÆäÖеÄUºÍÉÏÒ»¸öʱ¿ÌµÄXÓйأ¬ËùÒÔÎÒ¾õµÃµÃÒ»¸öʱ¿ÌÒ»¸öʱ¿ÌµÄÇó½â״̬¿Õ¼ä£¬ÒÑÖª³õʼʱ¿ÌµÄU£¬ÎÒÔõôÇó½âÏÂÒ»¸öʱ¿ÌµÄxÄØ£¿
¾ØÕóA B¾ùÒÑÖª£¬Îª100ÐÐ*100ÁС£matlabµÄlsimº¯ÊýÇó½â״̬¿Õ¼ä±ØÐëÒªÇóÖÁÉÙÁ½¸ö³õʼֵ£¬ËùÒÔÎÒ²»ÖªµÀ¸ÃÔõô°ìÁË£¡ÇóÂÛ̳ÀïµÄ°ï棡·Ç³£¸ÐлÁË£¡

PS£º×öÁ˺þõÄÄ£ÐÍÈ´½â²»³öÀ´£¬£¬£¬ÉËÐİ¡

ÎÞ±êÌâ.png
»Ø¸´´ËÂ¥

» ²ÂÄãϲ»¶

» ±¾Ö÷ÌâÏà¹Ø¼ÛÖµÌùÍÆ¼ö£¬¶ÔÄúͬÑùÓаïÖú:

ÒÑÔÄ   »Ø¸´´ËÂ¥   ¹Ø×¢TA ¸øTA·¢ÏûÏ¢ ËÍTAºì»¨ TAµÄ»ØÌû

yuahua

гæ (СÓÐÃûÆø)

ллÄ㣬¿ÉÊÇÕâЩÎÒÒѾ­¿´¹ýÁË£¬Ã»ÓÐ˼·°¡
2Â¥2013-05-23 09:08:48
ÒÑÔÄ   »Ø¸´´ËÂ¥   ¹Ø×¢TA ¸øTA·¢ÏûÏ¢ ËÍTAºì»¨ TAµÄ»ØÌû
Ïà¹Ø°æ¿éÌø×ª ÎÒÒª¶©ÔÄÂ¥Ö÷ yuahua µÄÖ÷Ìâ¸üÐÂ
×î¾ßÈËÆøÈÈÌûÍÆ¼ö [²é¿´È«²¿] ×÷Õß »Ø/¿´ ×îºó·¢±í
[¿¼ÑÐ] 0856£¬269·ÖÇóµ÷¼Á +15 ÓÐѧÉϾÍÐÐÇóÇóÁ 2026-03-30 18/900 2026-04-03 16:50 by melodiousnow
[¿¼ÑÐ] 081200-11408-276ѧ˶Çóµ÷¼Á +5 ´Þwj 2026-04-03 5/250 2026-04-03 15:06 by arrow8852
[¿¼ÑÐ] ×Ü·Ö328ÉúÎïÓëÒ½Ò©¿¼ÊýѧÇóµ÷¼Á +6 aaadim 2026-04-02 7/350 2026-04-03 12:56 by ÍõÁÁ_´óÁ¬Ò½¿Æ´ó
[¿¼ÑÐ] 298Çóµ÷¼Á +5 ÖÖÊ¥´Í 2026-03-28 5/250 2026-04-03 12:26 by xingguangj
[¿¼ÑÐ] 311Çóµ÷¼ÁÒ»Ö¾Ô¸ºÏ·Ê¹¤Òµ´óѧ +15 Çï¶þÊ®¶þ 2026-03-30 15/750 2026-04-03 10:19 by linyelide
[¿¼ÑÐ] 279Çóµ÷¼Á +6 qazplm0852 2026-04-02 6/300 2026-04-03 10:03 by À¶ÔÆË¼Óê
[¿¼ÑÐ] 0832ʳƷ¿ÆÑ§Ó빤³Ìѧ˶282µ÷¼Á +4 ÓãÔÚË®ÖÐÓÎa 2026-04-02 7/350 2026-04-02 14:12 by baoball
[¿¼ÑÐ] 08¿ªÍ·¿´¹ýÀ´£¡£¡£¡ +4 wwwwffffff 2026-03-31 6/300 2026-04-02 11:42 by ¾ùÖµ»Ø¹é
[¿¼ÑÐ] 372Çóµ÷¼Á +3 jjÓ¿77 2026-04-02 3/150 2026-04-02 09:57 by olim
[¿¼ÑÐ] ²ÄÁÏÇóµ÷¼Á +10 ÄØÄØÄÝÄÝ 2026-04-01 13/650 2026-04-02 09:17 by olim
[¿¼ÑÐ] 265Çóµ÷¼Á +11 yelck 2026-04-01 12/600 2026-04-01 19:12 by 549790059
[¿¼ÑÐ] 262Çóµ÷¼Á +9 ÀøÖ¾Ò»¶¨·¢ÎÄÕ 2026-03-31 10/500 2026-04-01 12:22 by sunshine0013
[¿¼ÑÐ] 0855»úе³õÊÔ280Çóµ÷¼Á +3 kazenotori 2026-03-31 3/150 2026-04-01 10:08 by JourneyLucky
[¿¼ÑÐ] ÍÁľ304Çóµ÷¼Á +5 ¶¥¼¶²Á²Á 2026-03-31 5/250 2026-04-01 08:15 by fdcxdystjk£¤
[¿¼ÑÐ] 070300»¯Ñ§×¨Òµ279µ÷¼Á +10 ¹þ¹þ¹þ^_^ 2026-03-31 10/500 2026-03-31 23:13 by liu823948201
[¿¼ÑÐ] ¿¼Ñе÷¼Á +9 СÀ¯ÐÂ±Ê 2026-03-29 10/500 2026-03-31 19:52 by Dyhoer
[¿¼ÑÐ] ¿¼Ñе÷¼ÁÇóÖú +7 13287130938 2026-03-31 7/350 2026-03-31 16:39 by 690616278
[¿¼ÑÐ] 0856 335·Ö +9 cccchenso 2026-03-29 9/450 2026-03-31 16:37 by lishahe
[¿¼ÑÐ] 327Çóµ÷¼Á +5 С¿¨²»¿¨. 2026-03-29 5/250 2026-03-30 19:30 by Wang200018
[¿¼ÑÐ] 295Çóµ÷¼Á +5 1428151015 2026-03-27 6/300 2026-03-28 04:04 by fmesaito
ÐÅÏ¢Ìáʾ
ÇëÌî´¦ÀíÒâ¼û