| ²é¿´: 972 | »Ø¸´: 16 | |||
Ìðо¶ù´Ðгæ (³õÈëÎÄ̳)
|
[ÇóÖú]
ÇóÖ¤²»µÈʽ
|
|
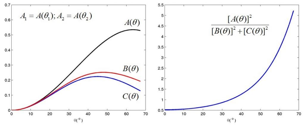
ÇëÎÊÄÜ·ñÓÉͼÖеÚÒ»¸ö²»µÈÊ½ÍÆ³öµÚ¶þ¸ö£¿»òÕßÏëÒªÓɵÚÒ»¸öÍÆ³öµÚ¶þ¸öÐèҪʲôÌõ¼þÄØ£¿Ö÷ÒªÊÇÖ¤Ã÷²»µÈʽµÄÓÒÃæ£¬Ã²ËÆ×óÃæÎÒ¿ÉÒÔÖ¤³öÀ´¡£°³ÐèÒªÖ÷ÒªµÄ¹ý³Ì~лл¸÷λ´óÉñÁË£¡ Ö¤Ã÷.jpg |
» ²ÂÄãϲ»¶
ÕÐÊÕÉúÎïѧ/ϸ°ûÉúÎïѧµ÷¼Á
ÒѾÓÐ4È˻ظ´
Ò»Ö¾Ô¸Î人Àí¹¤£¬×Ü·Ö321£¬Ó¢Ò»Êý¶þ£¬ÇóÀÏʦÊÕÁô¡£
ÒѾÓÐ5È˻ظ´
324Çóµ÷¼Á
ÒѾÓÐ8È˻ظ´
284Çóµ÷¼Á
ÒѾÓÐ12È˻ظ´
348Çóµ÷¼Á
ÒѾÓÐ3È˻ظ´
329Çóµ÷¼Á
ÒѾÓÐ7È˻ظ´
Çóµ÷¼Á£¬Ò»Ö¾Ô¸ ÄϾ©º½¿Õº½Ìì´óѧ´óѧ £¬080500²ÄÁÏ¿ÆÑ§Ó빤³Ìѧ˶
ÒѾÓÐ4È˻ظ´
¿¼Ñе÷¼Á
ÒѾÓÐ9È˻ظ´
304²ÄÁÏÇóµ÷¼Á
ÒѾÓÐ4È˻ظ´
Ò»Ö¾Ô¸Ö£´ó085600£¬310·ÖÇóµ÷¼Á
ÒѾÓÐ3È˻ظ´
schianck
½ð³æ (СÓÐÃûÆø)
- Ó¦Öú: 24 (СѧÉú)
- ½ð±Ò: 1320.6
- ºì»¨: 2
- Ìû×Ó: 231
- ÔÚÏß: 82.5Сʱ
- ³æºÅ: 1433491
- ×¢²á: 2011-10-09
- ÐÔ±ð: GG
- רҵ: ¹âѧ
¡¾´ð°¸¡¿Ó¦Öú»ØÌû
¸Ðл²ÎÓ룬ӦÖúÖ¸Êý +1
| ÎÒ×öÁËÒ»ÖÖÖ¤Ã÷£¬Ï£Íû¿ÉÒÔÂúÒâ |
» ±¾Ìû¸½¼þ×ÊÔ´Áбí
-
»¶Ó¼à¶½ºÍ·´À¡£ºÐ¡Ä¾³æ½öÌṩ½»Á÷ƽ̨£¬²»¶Ô¸ÃÄÚÈݸºÔð¡£
±¾ÄÚÈÝÓÉÓû§×ÔÖ÷·¢²¼£¬Èç¹ûÆäÄÚÈÝÉæ¼°µ½ÖªÊ¶²úȨÎÊÌ⣬ÆäÔðÈÎÔÚÓÚÓû§±¾ÈË£¬Èç¶Ô°æÈ¨ÓÐÒìÒ飬ÇëÁªÏµÓÊÏ䣺xiaomuchong@tal.com - ¸½¼þ 1 : ²»µÈʽ.png
2013-04-08 22:05:26, 9.17 K

2Â¥2013-04-08 22:05:32
weft
ľ³æ (ÕýʽдÊÖ)
- Ó¦Öú: 125 (¸ßÖÐÉú)
- ½ð±Ò: 2557.3
- ºì»¨: 13
- Ìû×Ó: 301
- ÔÚÏß: 147.4Сʱ
- ³æºÅ: 2161851
- ×¢²á: 2012-12-02
- רҵ: ÎÄ»¯Ñ§
3Â¥2013-04-09 06:02:56
Ìðо¶ù´Ð
гæ (³õÈëÎÄ̳)
- Ó¦Öú: 0 (Ó×¶ùÔ°)
- ½ð±Ò: 46
- Ìû×Ó: 11
- ÔÚÏß: 6.3Сʱ
- ³æºÅ: 2336136
- ×¢²á: 2013-03-11
- רҵ: ¹âѧ
4Â¥2013-04-09 11:49:53
Ìðо¶ù´Ð
гæ (³õÈëÎÄ̳)
- Ó¦Öú: 0 (Ó×¶ùÔ°)
- ½ð±Ò: 46
- Ìû×Ó: 11
- ÔÚÏß: 6.3Сʱ
- ³æºÅ: 2336136
- ×¢²á: 2013-03-11
- רҵ: ¹âѧ
5Â¥2013-04-09 12:54:10
weft
ľ³æ (ÕýʽдÊÖ)
- Ó¦Öú: 125 (¸ßÖÐÉú)
- ½ð±Ò: 2557.3
- ºì»¨: 13
- Ìû×Ó: 301
- ÔÚÏß: 147.4Сʱ
- ³æºÅ: 2161851
- ×¢²á: 2012-12-02
- רҵ: ÎÄ»¯Ñ§
¡¾´ð°¸¡¿Ó¦Öú»ØÌû
|
Ó¦¸ÃÊÇ¿ÉÒԵģ¬Ò»¸ö×îÖ±½ÓµÄ¹Û²ì¾ÍÊǼÓÉÏÒ»¶¨µÄ͹ÐÔÌõ¼þ£¬¿¼ÂÇÈýÔªº¯Êý |
6Â¥2013-04-09 13:27:02
weft
ľ³æ (ÕýʽдÊÖ)
- Ó¦Öú: 125 (¸ßÖÐÉú)
- ½ð±Ò: 2557.3
- ºì»¨: 13
- Ìû×Ó: 301
- ÔÚÏß: 147.4Сʱ
- ³æºÅ: 2161851
- ×¢²á: 2012-12-02
- רҵ: ÎÄ»¯Ñ§
7Â¥2013-04-09 13:29:04
Ìðо¶ù´Ð
гæ (³õÈëÎÄ̳)
- Ó¦Öú: 0 (Ó×¶ùÔ°)
- ½ð±Ò: 46
- Ìû×Ó: 11
- ÔÚÏß: 6.3Сʱ
- ³æºÅ: 2336136
- ×¢²á: 2013-03-11
- רҵ: ¹âѧ
8Â¥2013-04-09 14:36:01
schianck
½ð³æ (СÓÐÃûÆø)
- Ó¦Öú: 24 (СѧÉú)
- ½ð±Ò: 1320.6
- ºì»¨: 2
- Ìû×Ó: 231
- ÔÚÏß: 82.5Сʱ
- ³æºÅ: 1433491
- ×¢²á: 2011-10-09
- ÐÔ±ð: GG
- רҵ: ¹âѧ

9Â¥2013-04-09 14:52:52
Ìðо¶ù´Ð
гæ (³õÈëÎÄ̳)
- Ó¦Öú: 0 (Ó×¶ùÔ°)
- ½ð±Ò: 46
- Ìû×Ó: 11
- ÔÚÏß: 6.3Сʱ
- ³æºÅ: 2336136
- ×¢²á: 2013-03-11
- רҵ: ¹âѧ
10Â¥2013-04-09 17:11:15














»Ø¸´´ËÂ¥
20