| 查看: 2278 | 回复: 21 | ||
[交流]
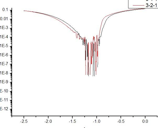
帮忙看一下我的极化曲线为什么是这样的
|
||
» 本主题相关价值贴推荐,对您同样有帮助:
电化学极化曲线图,分析求助。。。。
已经有16人回复
极化曲线 实验技术 参数设定
已经有4人回复
求高手帮忙分析一下铝合金的动电位极化曲线
已经有17人回复
小弟初接触电化学,想测金属极化曲线,有几点不明白,还望版上各位帮忙解答,拜谢
已经有4人回复
帮我看看这个极化曲线为什么这样子?问题出在哪里?
已经有5人回复
【求助】求高手帮忙分析铝合金极化曲线
已经有4人回复
帮忙分析下极化曲线
已经有10人回复
有关极化曲线的问题
已经有4人回复
金属电沉积的极化曲线
已经有33人回复
极化曲线的问题
已经有13人回复
塔菲尔曲线和动电位极化曲线有什么不同?
已经有5人回复
电化学工作站测不锈钢的tafel极化曲线
已经有6人回复
【交流】麻烦高人帮忙分析一下极化曲线和Tafel曲线
已经有7人回复
【求助】极化曲线实验
已经有8人回复
【求助】极化曲线
已经有10人回复
【求助】关于极化曲线的测试
已经有15人回复
【求助】极化曲线中的这么多电流峰是怎么回事?
已经有23人回复
【求助】请大家帮我分析一下极化曲线
已经有9人回复
» 抢金币啦!回帖就可以得到:
哈尔滨工程大学(青岛)动力工程及工程热物理专业招聘博士1名
+1/486
攀枝花学院大量招收调剂:材料科学与工程(学硕:0805)和材料工程(专硕:0856)。
+1/190
生物化工学硕招收调剂
+1/41
南京地区,有要戴森洗地机吗?仅限自取
+1/35
武汉工程大学化学与环境工程学院2026年硕士研究生调剂公告
+1/15
长江大学智能钻井方向硕士调剂
+1/8
大连工业大学招生 08工学:化工、环境、材料 07理学:化学 调剂招生!
+1/8
海南大学2026研究生调剂-海洋科学类、地质类、分析化学、环境类、生态学/生物学
+1/7
济南大学物理科学与技术学院粒子物理方向招收调剂研究生
+1/7
中国林科院木材所硕士调剂
+1/6
国家大人才课题组招收化学、材料化工类2026年调剂生
+1/5
西南石油大学招收2026年“申请-考核“博士研究生 方向:不对称催化氢化
+1/4
大连工业杰青、长江团队-生物质材料方向招收2026级博士生
+1/4
【博士招生】广东工业大学国家优青课题组招收2026年博士生(环境/化学/材料/微生物)
+1/2
苏州科技大学胡老师课题组招2026年硕士生若干名
+1/2
【#上海调剂急录#】能接受985联合培养的速来!带你发一区文章!
+1/2
2026年鲁东大学水产专业考研调剂-滨海生态高等研究院
+1/2
差旅首选:第一次出差佛山开住宿餐饮发票实体店电子专用,保姆级教程请收好
+1/2
2026年北京服装学院- 纺织化学与染整工程-刘老师可招收化学相关专业考研调剂
+1/1
哈尔滨工程大学动力学院赵建辉团队招收2026博士研究生
+1/1
3楼2013-04-01 12:19:10
4楼2013-04-01 14:44:09
9楼2013-04-01 16:21:45
10楼2013-04-01 17:38:09
12楼2013-04-02 08:08:49
13楼2013-04-02 08:56:02
14楼2013-04-02 09:24:09
15楼2013-04-02 14:42:01
18楼2013-04-03 16:33:48
19楼2013-04-20 21:16:02
20楼2013-04-20 23:04:43
★
小木虫: 金币+0.5, 给个红包,谢谢回帖
小木虫: 金币+0.5, 给个红包,谢谢回帖
|
曾经跟别人做过两年腐蚀,依个人看,这个曲线反映出一个现象:在电流大致低于0.1mA的时候,整个腐蚀溶液系统就变得不太稳定,以至于电流出现相对比较大的变动。 个人分析原因如下:1.样品表面被气泡或是反应后的生成物覆盖,以致影响电化学反应的正常进行;2.仪器的带容性负载性能差,当溶液体系达到一定状态是,形成的等效电容导致电化学仪器发生自激,从而影响采集到的数据。 对应的解决方法:1.可以在反应的时候适当的搅拌,或者条件允许直接使用电磁搅拌,使用尽量多的溶液,减小样品跟溶液的反应面积;2.检查仪器,看是否有故障,查看说明书,看是否需要在电极上并联电容,通过增加极点缓解或是消除电路自激现象。 另外不少同志已经提出扫描速度快的问题,个人也认为确实太快了点,我之前一般都是先用60mV/s快扫,扫描中间小电流区域时,用20mV/s甚至更低的速度扫描,扫描速度太快,测试的溶液体系不能等效于稳态的,所以个人认为还是最好慢点,用慢扫。测试前,最好还是要浸泡至少半个小时,尽量使溶液体系趋于稳定(但本人原来测试的Al合金体系没有一个稳定的下来,都是在不断漂移的)。尽量在仪器允许的范围内减小采样时间,可以设为1s或是2s采集一次数据,在小电流区域由于电流变化迅速,如果间隔时间太长,描出的点连贯性太差。 |
21楼2013-04-26 21:24:02
22楼2013-05-29 14:16:24
简单回复
黄山松502楼
2013-04-01 12:18
回复
水滴123(金币+1): 谢谢参与

2013-04-01 15:01
回复
水滴123(金币+1): 谢谢参与
2013-04-01 15:13
回复
水滴123(金币+1): 谢谢参与
2013-04-01 15:18
回复
水滴123(金币+1): 谢谢参与



2013-04-01 15:18
回复
水滴123(金币+1): 谢谢参与




yingying158811楼
2013-04-01 21:33
回复
水滴123(金币+1): 谢谢参与
cly060216楼
2013-04-02 18:37
回复
水滴123(金币+1): 谢谢参与


cly060217楼
2013-04-02 18:37
回复

















回复此楼