| 查看: 1100 | 回复: 1 | ||
[求助]
DNA二级结构区分家族
|
|
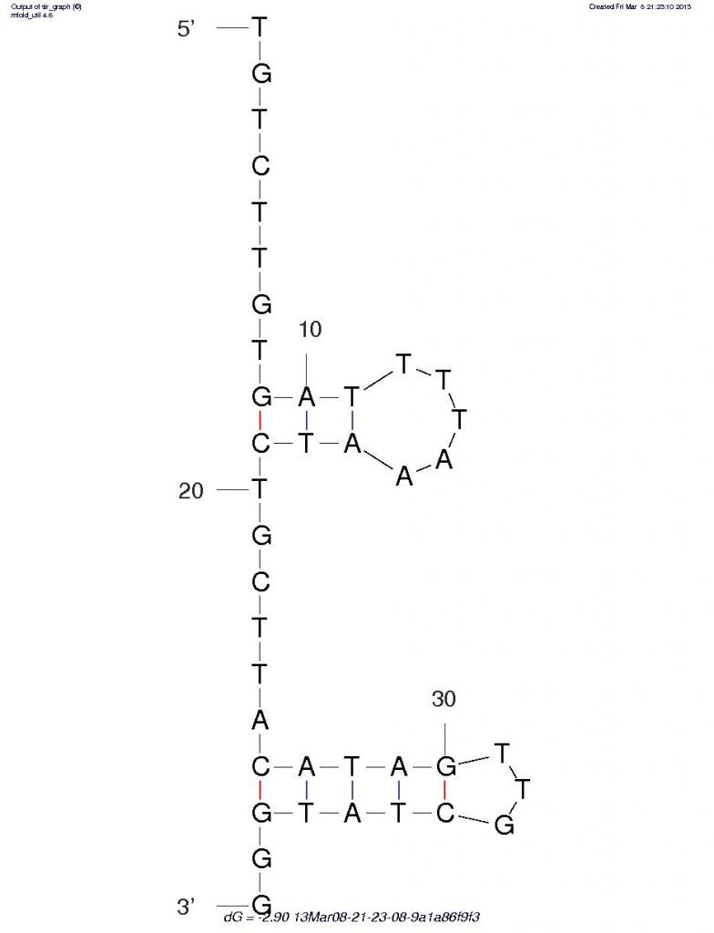
有没有大牛知道DNA根据二级结构,或者一级结构同源序列区分家族???例如下列图怎么分家族?、希望知道的不吝赐教 6a.jpg 6b.jpg 6c.jpg 7.jpg 8.jpg 10a.jpg 10b.jpg 11.jpg 13.jpg 17b.jpg |
» 猜你喜欢
留学--博士招生
已经有16人回复
化学工程,本211,求调剂,ab区不限
已经有4人回复
化学工程及工业化学论文润色/翻译怎么收费?
已经有161人回复
湖北师范大学招调剂啦
已经有7人回复
邵阳学院食品与化学工程学院硕士调剂
已经有0人回复
天津商业大学 生物与医药课题组招生
已经有0人回复
生物化工学硕招收调剂
已经有0人回复
广东石油化工学院2026年硕士研究生需要多名生物,制药工程,食品专业的调剂生
已经有0人回复
317分 一志愿江南大学 化学工程学硕 求调剂
已经有6人回复
化工申博
已经有3人回复
» 本主题相关价值贴推荐,对您同样有帮助:
DNA怎样形成发夹结构
已经有18人回复
查看 DNA 晶体结构 用什么软件 急急急!!!!
已经有4人回复
求高手看下这个DNA单链的结构错误何在?
已经有13人回复
宏基因组学技术在识别复杂环境样品中微生物的结构组成及功能中的应用
已经有5人回复
罗莎琳?富兰克林--发现DNA双螺旋结构的功臣
已经有5人回复
基因中存在发卡结构
已经有5人回复
DNA双螺旋结构中的数据是不是有错误?
已经有2人回复
【求助/交流】除了swiss-model还有别的预测基因蛋白三维结构的工具吗?
已经有8人回复
DNA二级结构预测软件
已经有4人回复
【求助/交流】怎样从一段序列中查找基因结构
已经有12人回复

2楼2013-03-17 00:18:44














回复此楼