| 查看: 4651 | 回复: 5 | |||
hetianbiao木虫 (著名写手)
|
[求助]
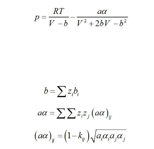
求助Peng-Robinson状态方程!
|
||
|
|
|||
|
★ ★
感谢参与,应助指数 +1 fds329: 金币+2, 感谢应助。辛苦了O(∩_∩)O 2013-02-23 20:23:13
|
|||
|
2楼2013-02-13 00:43:31
|
|
||
sony8620铁杆木虫 (文学泰斗)
|
|||
|
3楼2013-02-13 04:03:48
|
|
||
nono2009超级版主 (文学泰斗)
No gains, no pains.
|
【答案】应助回帖
★ ★
感谢参与,应助指数 +1 fds329: 金币+2, 感谢应助。辛苦了O(∩_∩)O 2013-02-23 20:23:31 |
||
|
4楼2013-02-13 09:33:21
|
|
||
李路lulu金虫 (小有名气)
|
|||
|
5楼2015-07-22 17:03:39
|
|
||
费姚永芬版主 (文学泰斗)
低眉浅笑岁月空
|
|||
![]() |
|||
|
6楼2015-07-24 10:16:53
|
|













回复此楼

