版块导航
正在加载中...
客户端APP下载
论文辅导
申博辅导
登录
注册
帖子
帖子
用户
本版
应《网络安全法》要求,自2017年10月1日起,未进行实名认证将不得使用互联网跟帖服务。为保障您的帐号能够正常使用,请尽快对帐号进行手机号验证,感谢您的理解与支持!
24小时热门版块排行榜
>
论坛更新日志
(1310)
>
虫友互识
(104)
>
导师招生
(25)
>
论文道贺祈福
(19)
>
基金申请
(12)
>
休闲灌水
(12)
>
硕博家园
(10)
>
博后之家
(9)
>
考博
(8)
>
教师之家
(7)
>
考研
(6)
>
论文投稿
(6)
>
文献求助
(5)
>
招聘信息布告栏
(4)
>
有机资源
(4)
>
公派出国
(4)
小木虫论坛-学术科研互动平台
»
专业学科区
»
数学
»
基础数学
»
请大牛帮忙解一下一个积分公式
7
1/1
返回列表
查看: 1002 | 回复: 6
只看楼主
@他人
存档
新回复提醒
(忽略)
收藏
在APP中查看
xielunxu
新虫
(初入文坛)
应助: 0
(幼儿园)
金币: 127
帖子: 9
在线: 2.6小时
虫号: 622738
注册: 2008-10-11
专业: 机械结构强度学
[
求助
]
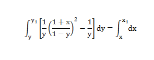
请大牛帮忙解一下一个积分公式
公式如下。
希望某位牛人帮忙解一下。
就是就一个x用y表达的公式
谢谢
formula.PNG
[
Last edited by xielunxu on 2013-2-10 at 02:20
]
回复此楼
» 猜你喜欢
有时候真觉得大城市人没有县城人甚至个体户幸福
已经有9人回复
CSC & MSCA 博洛尼亚大学能源材料课题组博士/博士后招生|MSCA经费充足、排名优
已经有6人回复
天津大学招2026.09的博士生,欢迎大家推荐交流(博导是本人)
已经有4人回复
同年申请2项不同项目,第1个项目里不写第2个项目的信息,可以吗
已经有3人回复
退学或坚持读
已经有28人回复
面上项目申报
已经有3人回复
酰胺脱乙酰基
已经有9人回复
博士延得我,科研能力直往上蹿
已经有7人回复
面上基金申报没有其他的参与者成吗
已经有5人回复
遇见不省心的家人很难过
已经有22人回复
» 本主题相关价值贴推荐,对您同样有帮助:
关于雅思复议的几个问题!大牛帮忙!
已经有7人回复
用柠檬酸钠做银颗粒的各位大牛进来帮忙小弟下,谢谢啦
已经有16人回复
各位大牛帮忙指点啊,我这条件本科毕业申请出国读研的话能申请个啥学校?现在本科大三
已经有18人回复
求大牛帮忙翻译,主要是那些药品名
已经有3人回复
arcgis的捕捉,大牛帮忙
已经有10人回复
求助 一阶线性偏微分方程 拉格朗日法求解
已经有6人回复
[Warald美国职业谈]为PhD正名-说说phd博士就业的一些问题 (全文)
已经有21人回复
循环伏安法沉积铂,沉积的铂量怎么确定
已经有3人回复
随机矩阵相乘的问题(请大牛帮忙)
已经有5人回复
矩阵的范数问题,望大牛们帮忙解答!
已经有13人回复
【公式拟合问题】如何拟合下面这样的一个公式,多谢大牛。
已经有6人回复
Fluent气流模拟的理论基础及模型,各位大牛帮帮忙啊
已经有9人回复
关于介孔材料,哪些大牛帮忙看看哈。
已经有8人回复
SCI论文从入门到精通(第一版)
已经有93人回复
1楼
2013-02-10 02:18:21
已阅
回复此楼
关注TA
给TA发消息
送TA红花
TA的回帖
zeallnln
木虫
(小有名气)
应助: 9
(幼儿园)
金币: 4388.7
散金: 122
红花: 8
帖子: 210
在线: 354.7小时
虫号: 419044
注册: 2007-07-04
性别: GG
专业: 固体力学
【答案】应助回帖
感谢参与,应助指数 +1
matlab符号积分试试
赞
一下
回复此楼
2楼
2013-02-10 11:21:14
已阅
回复此楼
关注TA
给TA发消息
送TA红花
TA的回帖
ssszhangxx
铁杆木虫
(正式写手)
应助: 0
(幼儿园)
金币: 7016.6
红花: 3
帖子: 428
在线: 184.2小时
虫号: 14413
注册: 2003-06-04
专业: 数理逻辑和与计算机相关的
自己求解最后的结果吧,可能和y的取值有一定的关联,因为有ln
de.png
赞
一下
回复此楼
3楼
2013-02-10 14:53:08
已阅
回复此楼
关注TA
给TA发消息
送TA红花
TA的回帖
vect
至尊木虫
(著名写手)
应助: 171
(高中生)
金币: 18942.5
散金: 31
红花: 19
帖子: 2033
在线: 938.3小时
虫号: 545022
注册: 2008-04-13
性别: GG
专业: 数学
【答案】应助回帖
感谢参与,应助指数 +1
我觉得可以考虑先两边对y求导,则原式消去一个负号化成一个微分方程
{[(1+x)/(1-y)]^2-1}/y=dx/dy,从表达式上看,是一个一阶非线性方程。
赞
一下
回复此楼
4楼
2013-02-10 22:48:02
已阅
回复此楼
关注TA
给TA发消息
送TA红花
TA的回帖
xielunxu
新虫
(初入文坛)
应助: 0
(幼儿园)
金币: 127
帖子: 9
在线: 2.6小时
虫号: 622738
注册: 2008-10-11
专业: 机械结构强度学
引用回帖:
3楼
:
Originally posted by
ssszhangxx
at 2013-02-10 14:53:08
自己求解最后的结果吧,可能和y的取值有一定的关联,因为有ln
de.png
x是y的函数,不能直接把(1+x)^2提出来吧?!
有没有的方法?
谢谢
赞
一下
回复此楼
5楼
2013-02-10 23:54:18
已阅
回复此楼
关注TA
给TA发消息
送TA红花
TA的回帖
xielunxu
新虫
(初入文坛)
应助: 0
(幼儿园)
金币: 127
帖子: 9
在线: 2.6小时
虫号: 622738
注册: 2008-10-11
专业: 机械结构强度学
引用回帖:
4楼
:
Originally posted by
vect
at 2013-02-10 22:48:02
我觉得可以考虑先两边对y求导,则原式消去一个负号化成一个微分方程
{^2-1}/y=dx/dy,从表达式上看,是一个一阶非线性方程。
这个方法也考虑过。就是后面怎么分项没有弄出来,所以才发帖求助。
谢谢
赞
一下
回复此楼
6楼
2013-02-10 23:55:15
已阅
回复此楼
关注TA
给TA发消息
送TA红花
TA的回帖
xielunxu
新虫
(初入文坛)
应助: 0
(幼儿园)
金币: 127
帖子: 9
在线: 2.6小时
虫号: 622738
注册: 2008-10-11
专业: 机械结构强度学
这个公式中x是y的函数,我个人认为左边第一项中(1+x)^2不能直接提出来然后对y进行积分,希望大牛们想一想 x作为y的函数 这种情况下的积分。
谢谢
赞
一下
回复此楼
7楼
2013-02-11 00:01:10
已阅
回复此楼
关注TA
给TA发消息
送TA红花
TA的回帖
相关版块跳转
数理科学综合
机械
物理
数学
农林
食品
地学
能源
信息科学
土木建筑
航空航天
转基因
我要订阅楼主
xielunxu
的主题更新
7
1/1
返回列表
如果回帖内容含有宣传信息,请如实选中。否则帐号将被全论坛禁言
普通表情
龙
兔
虎
猫
百度网盘
|
360云盘
|
千易网盘
|
华为网盘
在新窗口页面中打开自己喜欢的网盘网站,将文件上传后,然后将下载链接复制到帖子内容中就可以了。
信息提示
关闭
请填处理意见
关闭
确定