| 查看: 1438 | 回复: 8 | ||
小木虫zb木虫 (正式写手)
|
[求助]
求助matlab解一个非线性方程组
|
|
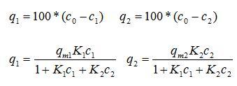
四个方程如图,其中qm1=1.13788,qm2=1.12991, k1=0.58955,k2=0.54607,c0=0.5,1,2,4,6,8,10,15, 20,25,30这几个点,分别求这几个点上的c1, q1,c2,q2,然后作图(横坐标为c,纵坐标为q),我 写的matlab程序如上传文件binaryequlibrum.m中所 示,但提示有错,求大神指教 方程组.jpg |
» 本帖附件资源列表
-
欢迎监督和反馈:小木虫仅提供交流平台,不对该内容负责。
本内容由用户自主发布,如果其内容涉及到知识产权问题,其责任在于用户本人,如对版权有异议,请联系邮箱:xiaomuchong@tal.com - 附件 1 : binaryequlibrum.m
2013-01-04 11:12:37, 736 bytes
» 猜你喜欢
北京纳米能源与系统研究所王中林院士/曹南颖研究员课题组招收2026硕士研究生1名
已经有0人回复
山西大同大学物理学硕士研究生招收调剂生
已经有0人回复
物理学I论文润色/翻译怎么收费?
已经有121人回复
[调剂信息]211智能人工感知方向国家青年特聘专家课题组招收调剂研究生
已经有0人回复
[调剂信息]211智能人工感知方向国家青年特聘专家课题组招收调剂研究生
已经有0人回复
[调剂信息]211智能人工感知方向国家青年特聘专家课题组招收调剂研究生
已经有0人回复
一志愿物理所凝聚态物理352求调剂
已经有0人回复
0702一志愿吉大B区求调剂 本科期间发表一篇Sci
已经有2人回复
0702一志愿吉大B区求调剂 本科期间发表一篇Sci
已经有0人回复
070200求调剂,一志愿某211,288分
已经有18人回复
法国博士后职位
已经有0人回复
» 本主题相关价值贴推荐,对您同样有帮助:
求Matlab高手解决线性方程组的迭代求解问题
已经有17人回复
matlab求解非线性方程组,错误提示怎么解决
已经有5人回复
求助 MATLAB解方程组-fslove
已经有7人回复
求助matlab---fsolve解非线性方程组
已经有6人回复
求助!matlab用fsolve函数求解非线性方程组的问题!
已经有19人回复
Matlab求解偏微分方程组
已经有22人回复
matlab求解非线性方程组
已经有16人回复
高金求助matlab解微分方程组
已经有12人回复
matlab解微分方程组
已经有15人回复
求matlab求解一个方程组的问题
已经有6人回复
求高人指点用matlab求解非线性方程组,解决了追加100金币;
已经有11人回复
matlab的fsove 命令求解非线性方程组
已经有6人回复
【求助】向各位大侠求助matlab求解微分方程组遇到的一个问题
已经有21人回复
【求助】matlab求解非线性方程组,并画图处理。要求y,z是实数解!
已经有18人回复
【求助】MATLAB 有限差分法(FDM)求解偏微分方程
已经有22人回复
【求助】如何求解下列偏微分方程
已经有13人回复
【求助】matlab怎么求解偏微分方程组啊,先谢谢了
已经有13人回复
【求助】 求MAtlab求解程序!!!
已经有20人回复
【求助】100金币求助高人一个程序解方程
已经有15人回复
【求助】求教matlab解非线性方程组
已经有9人回复
【求助】一个时变微分方程组的matlab实现
已经有8人回复
小木虫zb
木虫 (正式写手)
- 应助: 11 (小学生)
- 金币: 1560.9
- 红花: 5
- 帖子: 345
- 在线: 142.1小时
- 虫号: 1227944
- 注册: 2011-03-10
- 性别: GG
- 专业: 分离过程
2楼2013-01-04 11:18:15
dingd
铁杆木虫 (职业作家)
- 计算强帖: 4
- 应助: 1641 (讲师)
- 金币: 15037.3
- 散金: 101
- 红花: 234
- 帖子: 3410
- 在线: 1223.7小时
- 虫号: 291104
- 注册: 2006-10-28
【答案】应助回帖
★ ★ ★ ★ ★ ★ ★ ★ ★ ★ ★ ★
感谢参与,应助指数 +1
小木虫zb: 金币+10, ★有帮助 2013-01-04 12:00:01
csgt0: 金币+2, 谢谢 2013-01-05 10:01:47
感谢参与,应助指数 +1
小木虫zb: 金币+10, ★有帮助 2013-01-04 12:00:01
csgt0: 金币+2, 谢谢 2013-01-05 10:01:47
3楼2013-01-04 11:53:42
小木虫zb
木虫 (正式写手)
- 应助: 11 (小学生)
- 金币: 1560.9
- 红花: 5
- 帖子: 345
- 在线: 142.1小时
- 虫号: 1227944
- 注册: 2011-03-10
- 性别: GG
- 专业: 分离过程
4楼2013-01-04 12:00:39

5楼2013-01-05 10:33:07
小木虫zb
木虫 (正式写手)
- 应助: 11 (小学生)
- 金币: 1560.9
- 红花: 5
- 帖子: 345
- 在线: 142.1小时
- 虫号: 1227944
- 注册: 2011-03-10
- 性别: GG
- 专业: 分离过程
6楼2013-01-05 10:47:22
小木虫zb
木虫 (正式写手)
- 应助: 11 (小学生)
- 金币: 1560.9
- 红花: 5
- 帖子: 345
- 在线: 142.1小时
- 虫号: 1227944
- 注册: 2011-03-10
- 性别: GG
- 专业: 分离过程
7楼2013-01-05 10:47:58

8楼2013-01-05 10:49:58
小木虫zb
木虫 (正式写手)
- 应助: 11 (小学生)
- 金币: 1560.9
- 红花: 5
- 帖子: 345
- 在线: 142.1小时
- 虫号: 1227944
- 注册: 2011-03-10
- 性别: GG
- 专业: 分离过程
9楼2013-01-05 11:14:38














回复此楼
