| 查看: 1690 | 回复: 12 | ||
[求助]
弹簧压缩的时间问题
|
||
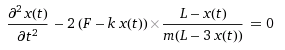
| 给弹簧一个恒定的外力F,使弹簧压缩一定的位移S,弹簧的刚度为k,这个时间t该怎么求? |
» 猜你喜欢
网上报道青年教师午睡中猝死、熬夜猝死的越来越多,主要哪些原因引起的?
已经有3人回复
为什么中国大学工科教授们水了那么多所谓的顶会顶刊,但还是做不出宇树机器人?
已经有10人回复
版面费该交吗
已经有12人回复
面上可以超过30页吧?
已经有5人回复
体制内长辈说体制内绝大部分一辈子在底层,如同你们一样大部分普通教师忙且收入低
已经有13人回复
“人文社科而论,许多学术研究还没有达到民国时期的水平”
已经有5人回复
什么是人一生最重要的?
已经有4人回复
» 本主题相关价值贴推荐,对您同样有帮助:
水性涂料问题,绝望中。。。
已经有15人回复
急求指教:Fluent动网格不变形,,只被拉长
已经有6人回复
机构的优化设计,目标函数是体积
已经有4人回复
2014年度浙江省自然科学基金拟资助项目清单
已经有14人回复
金属高温弹性模量测量的一些问题
已经有3人回复
solidworks扫描弹簧出现问题
已经有6人回复
弹簧单元的问题
已经有3人回复
关于弹簧减振ANSYS分析的问题
已经有5人回复
岛津GC2010plus 点火问题
已经有8人回复
在ansys中结构动力学问题的弹簧、阻尼等的选取
已经有50人回复
65Mn弹簧钢失效分析
已经有10人回复
【求助】请教力学问题,关于作用力与反作用力
已经有22人回复
【求助】钢原奥氏体晶界侵蚀求助
已经有24人回复
【交流】有关塑料的几个问题
已经有47人回复
q1635068839
银虫 (正式写手)
- 应助: 7 (幼儿园)
- 金币: 209.7
- 红花: 16
- 帖子: 512
- 在线: 464.1小时
- 虫号: 1545204
- 注册: 2011-12-20
- 性别: GG
- 专业: 基础物理学

10楼2012-12-26 17:43:42
q1635068839
银虫 (正式写手)
- 应助: 7 (幼儿园)
- 金币: 209.7
- 红花: 16
- 帖子: 512
- 在线: 464.1小时
- 虫号: 1545204
- 注册: 2011-12-20
- 性别: GG
- 专业: 基础物理学

2楼2012-12-24 13:34:45
3楼2012-12-24 22:25:17
q1635068839
银虫 (正式写手)
- 应助: 7 (幼儿园)
- 金币: 209.7
- 红花: 16
- 帖子: 512
- 在线: 464.1小时
- 虫号: 1545204
- 注册: 2011-12-20
- 性别: GG
- 专业: 基础物理学

4楼2012-12-25 13:27:12
5楼2012-12-25 13:49:04
6楼2012-12-25 17:02:00
q1635068839
银虫 (正式写手)
- 应助: 7 (幼儿园)
- 金币: 209.7
- 红花: 16
- 帖子: 512
- 在线: 464.1小时
- 虫号: 1545204
- 注册: 2011-12-20
- 性别: GG
- 专业: 基础物理学

7楼2012-12-25 17:19:24
8楼2012-12-26 13:34:31
9楼2012-12-26 13:35:11













回复此楼