| 查看: 747 | 回复: 6 | ||
green_123金虫 (小有名气)
|
[求助]
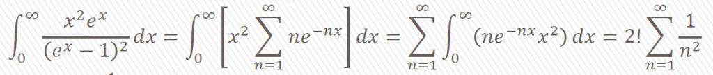
这个怎么计算,算出来的结果是常数,求计算过程
|
或许以后有用 |
» 猜你喜欢
有院领导为了换新车,用横向课题经费买了俩车
已经有4人回复
有时候真觉得大城市人没有县城人甚至个体户幸福
已经有9人回复
CSC & MSCA 博洛尼亚大学能源材料课题组博士/博士后招生|MSCA经费充足、排名优
已经有6人回复
天津大学招2026.09的博士生,欢迎大家推荐交流(博导是本人)
已经有4人回复
同年申请2项不同项目,第1个项目里不写第2个项目的信息,可以吗
已经有3人回复
面上项目申报
已经有3人回复
酰胺脱乙酰基
已经有9人回复
博士延得我,科研能力直往上蹿
已经有7人回复
面上基金申报没有其他的参与者成吗
已经有5人回复
遇见不省心的家人很难过
已经有22人回复
» 本主题相关价值贴推荐,对您同样有帮助:
求助 利用弹性常数计算德拜温度求解
已经有55人回复
根据某种蛋白质的氨基酸分析结果计算htot(水解度要用的常数值)
已经有11人回复
弹性常数计算出现诡异。。。。来看看喽
已经有5人回复
CASTEP计算弹性常数C11,C12,C44严重偏大
已经有13人回复
求,-CF3耦合常数计算
已经有14人回复
求gaussian计算反应速率常数,指前因子方法。
已经有25人回复
转帖:Cubic以及Trigonal cell弹性常数的计算
已经有21人回复
高斯中键伸缩力常数与键角力常数的计算
已经有6人回复
XRD软件晶格常数的计算
已经有14人回复
【求助】耦合常数的计算方法
已经有13人回复
【求助】请帮忙看一下这个偶合常数怎么计算
已经有10人回复
【求助】CASTEP计算弹性常数
已经有15人回复
【求助】CASTEP计算弹性常数得到应力应变曲线
已经有17人回复
【求助】非零压下弹性常数计算的初始结构
已经有9人回复
【求助】MS弹性常数计算分析问题
已经有5人回复
【求助】CASTEP服务器弹性常数的计算
已经有18人回复
【讨论】用vasp计算过弹性常数的请进!!更新中!!
已经有52人回复
archdevil
铁杆木虫 (正式写手)
- 数学EPI: 1
- 应助: 49 (小学生)
- 金币: 7302.5
- 散金: 1
- 红花: 1
- 帖子: 448
- 在线: 339.7小时
- 虫号: 505325
- 注册: 2008-02-17
- 性别: GG
- 专业: 模式识别

2楼2012-12-04 00:28:31
green_123
金虫 (小有名气)
- 应助: 1 (幼儿园)
- 金币: 659.8
- 帖子: 201
- 在线: 139.7小时
- 虫号: 209826
- 注册: 2006-03-06
- 性别: GG
- 专业: 金属材料的磨损与磨蚀
3楼2012-12-04 15:31:20
green_123
金虫 (小有名气)
- 应助: 1 (幼儿园)
- 金币: 659.8
- 帖子: 201
- 在线: 139.7小时
- 虫号: 209826
- 注册: 2006-03-06
- 性别: GG
- 专业: 金属材料的磨损与磨蚀
4楼2012-12-04 15:32:37
archdevil
铁杆木虫 (正式写手)
- 数学EPI: 1
- 应助: 49 (小学生)
- 金币: 7302.5
- 散金: 1
- 红花: 1
- 帖子: 448
- 在线: 339.7小时
- 虫号: 505325
- 注册: 2008-02-17
- 性别: GG
- 专业: 模式识别
【答案】应助回帖
★ ★ ★ ★ ★ ★ ★ ★ ★ ★
green_123: 金币+10, ★★★★★最佳答案 2012-12-05 16:13:07
green_123: 金币+10, ★★★★★最佳答案 2012-12-05 16:13:07
|
关于sum_{n=1}^{infty}1/n^2, 可以设f(x)=|x|, x范围为(-2pi,2pi),将f(x)做Fourier级数展开,因为是偶函数,故展开式中只含cos(n pi x)。 楼主可参考 http://www.math.psu.edu/wysocki/M412/Notes412_8.pdf 的第6页。 也可参考 http://zh.wikipedia.org/wiki/%E5 ... 4%E9%97%AE%E9%A2%98 |

5楼2012-12-05 04:51:22
6楼2012-12-05 08:50:10
green_123
金虫 (小有名气)
- 应助: 1 (幼儿园)
- 金币: 659.8
- 帖子: 201
- 在线: 139.7小时
- 虫号: 209826
- 注册: 2006-03-06
- 性别: GG
- 专业: 金属材料的磨损与磨蚀
7楼2012-12-05 16:13:21













回复此楼
green_123