| ²é¿´: 5015 | »Ø¸´: 21 | |||||||
| ±¾Ìû²úÉú 1 ¸ö 1STÇ¿Ìû £¬µã»÷ÕâÀï½øÐв鿴 | |||||||
wuli8ÈÙÓþ°æÖ÷ (ÖªÃû×÷¼Ò)
¡¡¡¡
|
[½»Á÷]
תÌû£ºCubicÒÔ¼°Trigonal cellµ¯ÐÔ³£ÊýµÄ¼ÆËã ÒÑÓÐ11È˲ÎÓë
|
||||||
|
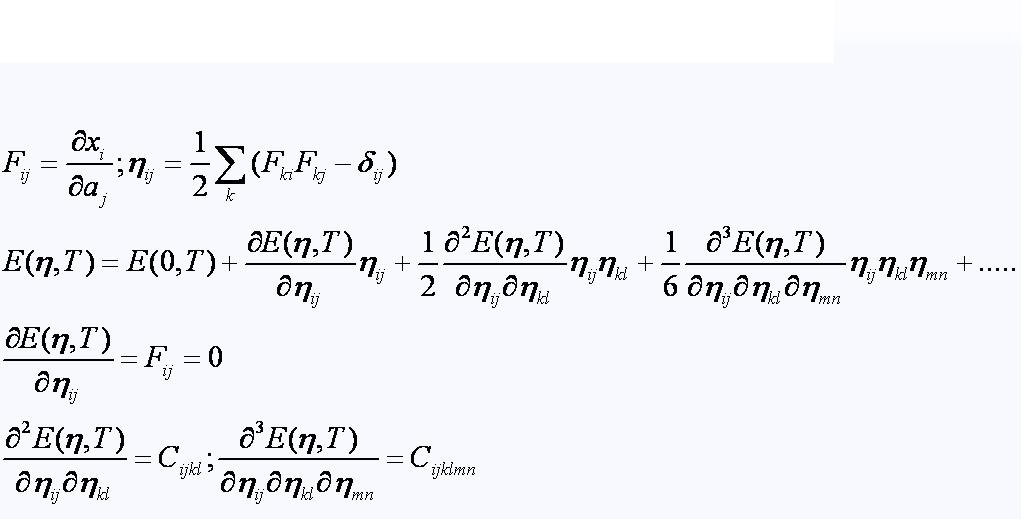
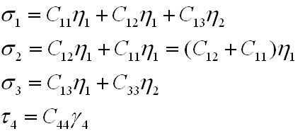
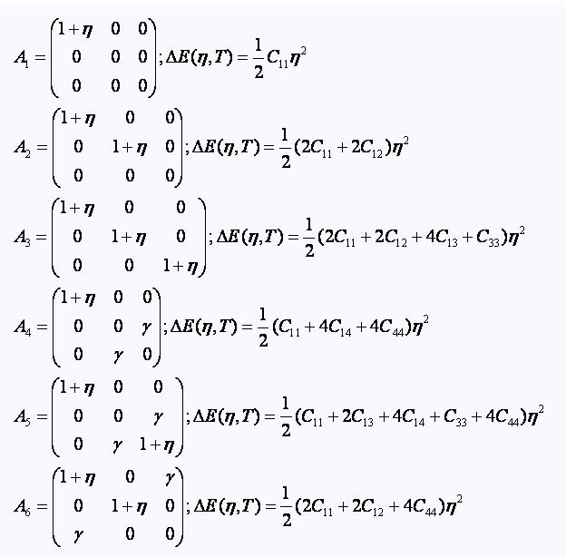
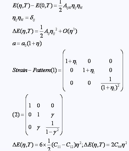
ÔÎĵØÖ·£ºhttp://cyh.xjtu.edu.cn/bbs/viewt ... p;extra=&page=1 CubicºÍTrigonal¾§ÌåµÄµ¯ÐÔ³£Êý¸öÊý±È½ÏÉÙ£¬¼ÆËãÄâºËÒ²±È½Ï·½±ã£¬Ä¿Ç°¼ÆË㵯ÐÔ³£ÊýÖ÷ÒªÓÐÁ½¸ö˼·£¬Ò»¸öÊÇÓ¦Á¦£Ó¦±äÇúÏß¹ØÏµ£¬´ËÍâ¾ÍÊÇÓ¦±äÄÜ£Ó¦±ä¹ØÏµ£¬ÔÚÁ½ÖÖÇé¿öϵ¯ÐÔ³£Êý¶¼ÊÇÇúÏßµÄÒ»½×µ¼Êý¡£ÔÚ¼ÆËã¹ý³Ì²ÉÓÃÄÇÖÖ¹ØÏµÀ´ÄâºËµ¯ÐÔ³£ÊýûÓÐʲôȷ¶¨±ê×¼£¬Ä¿Ç°Êµ¼ÊÉÏ×î´óµÄÏÞÖÆÊǺܶàDFT¼ÆËãÈí¼þʵ¼ÊÉϲ»ÄܰÑÓ¦±ä½á¹¹Ó¦±äÄÜת»»³ÉÓ¦Á¦ÕÅÁ¿ÐÎʽ£¬ÈçDMOL£¬Crystal£¬Wine2KµÈ¶¼²»¾ß±¸Õâ¸ö¼ÆË㹦ÄÜ£¬CASTEPÊÇÉÙÊýÖ±½Ó¿ÉÒÔÊä³öÓ¦Á¦µÄÈí¼þ£¬Òò´ËÔÚCASTEPÖвÉÓÃÁËStress£Strain¹ØÏµÀ´ÄâºÍµ¯ÐÔ³£Êý£º Ê×Ïȸø³öMSÄâºËµ¯ÐÔ³£ÊýÎļþµÄ¸ñʽ£º Elastic constants from Materials Studio: CASTEP =============================================== Summary of the calculated stresses ********************************** Strain pattern: 1 £¨Ó¦±ä·½Ê½£© ====================== Current amplitude: 1 £¨µÚÒ»ÖÖÓ¦±äģʽ£¬ÈýÖáÖ÷Ó¦±ä£¬x£y·½ÏòѹËõ£¬z·½ÏòÀÉ죬Ϊһ¸öVolume conserving mode£© Transformed stress tensor (GPa) : 0.523249 0.000000 0.000000 0.000000 0.523249 0.000000 0.000000 0.000000 1.574015 Current amplitude: 2 £¨µÚ¶þÖÖÓ¦±äÇ¿¶È£¬ÈýÖáÖ÷Ó¦Á¦Ä£Ê½£¬Volume Conserving Mode£© Transformed stress tensor (GPa) : -0.468860 0.000000 0.000000 0.000000 -0.468860 0.000000 0.000000 0.000000 -1.384910 Stress corresponds to elastic coefficients (compact notation): 8 8 3 0 0 0 as induced by the strain components: 3 3 3 0 0 0 Stress Cij value of value of index index stress strain 1 8 0.523249 -0.003000 1 8 -0.468860 0.003000£¨Hooke ¶¨ÀíÄâºË£¬Ó¦Á¦£Ó¦±ä¹ØÏµ£© C (gradient) : 165.351500 £¨µ¯ÐÔ³£ÊýÊÇStress£strainÇúÏßµÄÒ»½×µ¹Êý£¬¼´Gradient£© Stress intercept : 0.027194 2 8 0.523249 -0.003000 2 8 -0.468860 0.003000 C (gradient) : 165.351500 Stress intercept : 0.027194 3 3 1.574015 -0.003000 3 3 -1.384910 0.003000 C (gradient) : 493.154167 Stress intercept : 0.094552 Strain pattern: 2 (µÚ¶þÖÖÓ¦±äģʽ£¬ÈýÖáÖ÷Ó¦Á¦£«¼ôÇÐÓ¦Á¦£© ====================== Current amplitude: 1 Transformed stress tensor (GPa) : 1.367027 0.000000 0.000000 0.000000 0.352390 0.264719 0.000000 0.264719 0.469198 Current amplitude: 2 Transformed stress tensor (GPa) : -1.382814 0.000000 0.000000 0.000000 -0.399398 -0.258369 0.000000 -0.258369 -0.455322 Stress corresponds to elastic coefficients (compact notation): 1 7 8 4 0 0 as induced by the strain components: 1 1 1 4 0 0 Stress Cij value of value of index index stress strain 1 1 1.367027 -0.003000 1 1 -1.382814 0.003000 C (gradient) : 458.306833 Stress intercept : -0.007893 2 7 0.352390 -0.003000 2 7 -0.399398 0.003000 C (gradient) : 125.298000 Stress intercept : -0.023504 3 8 0.469198 -0.003000 3 8 -0.455322 0.003000 C (gradient) : 154.086667 Stress intercept : 0.006938 4 4 0.264719 -0.002121 4 4 -0.258369 0.002121 C (gradient) : 123.293024 Stress intercept : 0.003175 ============================ Summary of elastic constants ============================ id i j Cij (GPa) 1 1 1 458.30683 +/- 0.000 3 3 3 493.15417 +/- 0.000 4 4 4 123.29302 +/- 0.000 7 1 2 125.29800 +/- 0.000 8 1 3 161.59656 +/- 0.000 ===================================== Elastic Stiffness Constants Cij (GPa) £¨¾¢¶ÈÕÅÁ¿£© ===================================== 458.30683 125.29800 161.59656 0.00000 0.00000 0.00000 125.29800 458.30683 161.59656 0.00000 0.00000 0.00000 161.59656 161.59656 493.15417 0.00000 0.00000 0.00000 0.00000 0.00000 0.00000 123.29302 0.00000 0.00000 0.00000 0.00000 0.00000 0.00000 123.29302 0.00000 0.00000 0.00000 0.00000 0.00000 0.00000 166.50442 ======================================== Elastic Compliance Constants Sij (1/GPa) £¨Ë³¶ÈÕÅÁ¿£© SijCij£½I £¨Uinty£© ======================================== 0.0025481 -0.0004548 -0.0006860 0.0000000 0.0000000 0.0000000 -0.0004548 0.0025481 -0.0006860 0.0000000 0.0000000 0.0000000 -0.0006860 -0.0006860 0.0024773 0.0000000 0.0000000 0.0000000 0.0000000 0.0000000 0.0000000 0.0081108 0.0000000 0.0000000 0.0000000 0.0000000 0.0000000 0.0000000 0.0081108 0.0000000 0.0000000 0.0000000 0.0000000 0.0000000 0.0000000 0.0060058 Bulk modulus = 255.08759 (GPa) £¨Ì嵯ÐÔÄ£Á¿£© Compressibility = 0.00392 (1/GPa) £¨Ñ¹ËõϵÊý£© Axis Young Modulus Poisson Ratios £¨YoungÄ£Á¿ºÍPoisison±È£© Eƽ¾ùÖµ£½1/3(Ex+Ey+Ez),ͬÀív=1/3(vxy+vxz+vyz) (GPa) X 392.44290 Exy= 0.1785 Exz= 0.2692 Y 392.44290 Eyx= 0.1785 Eyz= 0.2692 Z 403.66400 Ezx= 0.2769 Ezy= 0.2769 Lame constants for isotropic material (GPa) (Lambe¸÷ÏòÒìÐÔ³£ÊýºÍ¼ôÇÐÄ£Á¿Mu£© Lambda = 194.5290, Mu = 137.6968 Òò´Ë¿ÉÒÔ¿´µ½ÔÚÄâºËÕâ¸ö¾§ÌåµÄµ¯ÐÔ³£ÊýµÄʱºò²ÉÓÃÁËÁ½ÖÖÓ¦±äģʽ£¬Ã¿ÖÖÓ¦±äģʽ¼ÆËãÁËÁ½¸öÓ¦±äÇ¿¶ÈϵÄÓ¦Á¦£¬´Ó¶ø²ÉÓÃÏßµ¯ÐÔÀíÂÛ¼ÆËãÁËÓëÌØ¶¨Ó¦±äģʽÓйصĵ¯ÐÔ³£Êý¡£ÏÂÃæÀ´ËµÃ÷Ó¦±äģʽºÍµ¯ÐÔ³£ÊýÖ®¼äµÄ¹ØÏµ£º |
» ÊÕ¼±¾ÌûµÄÌÔÌûר¼ÍƼö
µÚÒ»ÔÀí×ÊÁÏ»ã±à | ¿ÆÑÐÏà¹Ø×ÊÁÏ | µÚÒ»ÔÀí | ÎҵķÖÏí |
» ±¾ÌûÒÑ»ñµÃµÄºì»¨£¨×îÐÂ10¶ä£©
» ²ÂÄãϲ»¶
0703Çóµ÷¼Á383·Ö
ÒѾÓÐ9È˻ظ´
Çóµ÷¼Á
ÒѾÓÐ8È˻ظ´
»¯Ñ§µ÷¼ÁÇóÖú
ÒѾÓÐ7È˻ظ´
Ò»Ö¾Ô¸¹þ¶û±õ¹¤Òµ´óѧ085600Ó¢Ò»Êý¶þ337·ÖÇóµ÷¼Á
ÒѾÓÐ12È˻ظ´
085600£¬320·ÖÇóµ÷¼Á
ÒѾÓÐ16È˻ظ´
Ò»Ö¾Ô¸211£¬»¯Ñ§Ñ§Ë¶£¬310·Ö£¬±¾¿ÆÖصãË«·Ç£¬Çóµ÷¼Á
ÒѾÓÐ12È˻ظ´
0703»¯Ñ§µ÷¼Á325·Ö
ÒѾÓÐ10È˻ظ´
085600£¬321·ÖÇóµ÷¼Á
ÒѾÓÐ12È˻ظ´
»¯Ñ§357·Ö£¬¿¼Ñе÷¼Á
ÒѾÓÐ12È˻ظ´
Ò»Ö¾Ô¸Äϲý´óѧ£¬085600£¬344·ÖÇóµ÷¼Á
ÒѾÓÐ8È˻ظ´
» ±¾Ö÷ÌâÏà¹Ø¼ÛÖµÌùÍÆ¼ö£¬¶ÔÄúͬÑùÓаïÖú:
¹ØÓÚBCC-FeµÄµ¯ÐÔ³£ÊýµÄÄÜÁ¿-Ó¦±ä¼ÆËã
ÒѾÓÐ47È˻ظ´
ÈçºÎÓõÚÒ»ÔÀí¼ÆËãîѺϽðµÄµ¯ÐÔÄ£Á¿
ÒѾÓÐ3È˻ظ´
²»Í¬ÏàµÄµ¯ÐÔ³£Êý£¨Cij£©ËæÑ¹Á¦±ä»¯µÄ¹æÂɲ»Í¬µÄÔÒò£¿
ÒѾÓÐ9È˻ظ´
¼ÆË㵯ÐÔ³£Êý¿¨×¡ÁË
ÒѾÓÐ5È˻ظ´
ÈçºÎ¿´MSÈí¼þµÄµ¯ÐÔ³£Êý¼ÆËã½á¹û
ÒѾÓÐ5È˻ظ´
¼ÆË㵯ÐÔ³£Êýʱ·¢ÏÖËÄ·½¾§ÏµµÄ36¸öµ¯ÐÔ³£Êý¶¼²»Îª0
ÒѾÓÐ7È˻ظ´
¾§°ûÄÜÁ¿ÔÚÄÄ¿´£¿
ÒѾÓÐ6È˻ظ´
ÈçºÎTaylorÕ¹¿ª
ÒѾÓÐ3È˻ظ´
µ¯ÐÔ³£ÊýÔ×Óµ¥Î»×ª»»
ÒѾÓÐ3È˻ظ´
µ¯ÐÔ¼ÆËãÓи£ÁË
ÒѾÓÐ3È˻ظ´
matlabÇó¶þ½×Æ«µ¼Êý
ÒѾÓÐ3È˻ظ´
Ç󼸸öÓÃPWscf¼ÆË㵯ÐÔ³£ÊýµÄ½Å±¾
ÒѾÓÐ3È˻ظ´
¼ôÇÐÄ£Á¿Óë¼ôÇÐÇ¿¶ÈµÄÇø±ð
ÒѾÓÐ8È˻ظ´
µ¯ÐÔ³£ÊýµÄ¼ÆËã
ÒѾÓÐ12È˻ظ´
²ôÔÓºóµÄ½á¹¹¼ÆË㵯ÐÔ³£Êý³öÏÖÎÊÌ⣨¼±£©£¬Çë´ó¼ÒÒ»¶¨Òª°ï°ïæ°¡~~
ÒѾÓÐ4È˻ظ´
MS 6.0¼ÆË㵯ÐÔµ¯ÐÔ³£Êý¾¡È»Ã»Óнá¹ûÎļþ£¬´óÉñÃÇ¿´¿´ÕâÊÇʲôÎÊÌâ
ÒѾÓÐ4È˻ظ´
Óúʿ¼ÆË㵯ÐÔ³£ÊýµÄ·½·¨£¬¼ÆËãNITI B2ÏàµÄC11ºÍC12³öÏÖÁËÎÊÌâ¡£ÇóÖú¸ßÊÖ£¡
ÒѾÓÐ6È˻ظ´
¸ß½×µ¼ÊýµÄ¼ÆËã
ÒѾÓÐ9È˻ظ´
¹ØÓÚµ¯ÐÔ³£Êý¶ÔÓ¦µÄÖáÏò
ÒѾÓÐ8È˻ظ´
100½ð±ÒÇ󸽼þÏÂÔØ¡¶CubicÒÔ¼°Trigonal cellµ¯ÐÔ³£ÊýµÄ¼ÆËã¡·
ÒѾÓÐ12È˻ظ´
¡¾ÇóÖú¡¿CASTEP¼ÆË㵯ÐÔ³£ÊýµÃµ½Ó¦Á¦Ó¦±äÇúÏß
ÒѾÓÐ17È˻ظ´

wuli8
ÈÙÓþ°æÖ÷ (ÖªÃû×÷¼Ò)
¡¡¡¡
- 1STÇ¿Ìû: 2
- Ó¦Öú: 35 (СѧÉú)
- ¹ó±ö: 12.924
- ½ð±Ò: 20190.4
- É¢½ð: 15888
- ºì»¨: 88
- ɳ·¢: 4
- Ìû×Ó: 7840
- ÔÚÏß: 1114.6Сʱ
- ³æºÅ: 465889
- ×¢²á: 2007-11-23
- רҵ: ÎïÀíѧI
- ¹ÜϽ: ¼ÆËãÄ£Äâ

2Â¥2011-08-04 15:36:51
wuli8
ÈÙÓþ°æÖ÷ (ÖªÃû×÷¼Ò)
¡¡¡¡
- 1STÇ¿Ìû: 2
- Ó¦Öú: 35 (СѧÉú)
- ¹ó±ö: 12.924
- ½ð±Ò: 20190.4
- É¢½ð: 15888
- ºì»¨: 88
- ɳ·¢: 4
- Ìû×Ó: 7840
- ÔÚÏß: 1114.6Сʱ
- ³æºÅ: 465889
- ×¢²á: 2007-11-23
- רҵ: ÎïÀíѧI
- ¹ÜϽ: ¼ÆËãÄ£Äâ

3Â¥2011-08-04 15:37:49
wuli8
ÈÙÓþ°æÖ÷ (ÖªÃû×÷¼Ò)
¡¡¡¡
- 1STÇ¿Ìû: 2
- Ó¦Öú: 35 (СѧÉú)
- ¹ó±ö: 12.924
- ½ð±Ò: 20190.4
- É¢½ð: 15888
- ºì»¨: 88
- ɳ·¢: 4
- Ìû×Ó: 7840
- ÔÚÏß: 1114.6Сʱ
- ³æºÅ: 465889
- ×¢²á: 2007-11-23
- רҵ: ÎïÀíѧI
- ¹ÜϽ: ¼ÆËãÄ£Äâ

4Â¥2011-08-04 15:38:21
wuli8
ÈÙÓþ°æÖ÷ (ÖªÃû×÷¼Ò)
¡¡¡¡
- 1STÇ¿Ìû: 2
- Ó¦Öú: 35 (СѧÉú)
- ¹ó±ö: 12.924
- ½ð±Ò: 20190.4
- É¢½ð: 15888
- ºì»¨: 88
- ɳ·¢: 4
- Ìû×Ó: 7840
- ÔÚÏß: 1114.6Сʱ
- ³æºÅ: 465889
- ×¢²á: 2007-11-23
- רҵ: ÎïÀíѧI
- ¹ÜϽ: ¼ÆËãÄ£Äâ

5Â¥2011-08-04 15:40:28
wuli8
ÈÙÓþ°æÖ÷ (ÖªÃû×÷¼Ò)
¡¡¡¡
- 1STÇ¿Ìû: 2
- Ó¦Öú: 35 (СѧÉú)
- ¹ó±ö: 12.924
- ½ð±Ò: 20190.4
- É¢½ð: 15888
- ºì»¨: 88
- ɳ·¢: 4
- Ìû×Ó: 7840
- ÔÚÏß: 1114.6Сʱ
- ³æºÅ: 465889
- ×¢²á: 2007-11-23
- רҵ: ÎïÀíѧI
- ¹ÜϽ: ¼ÆËãÄ£Äâ

6Â¥2011-08-04 15:43:06
wuli8
ÈÙÓþ°æÖ÷ (ÖªÃû×÷¼Ò)
¡¡¡¡
- 1STÇ¿Ìû: 2
- Ó¦Öú: 35 (СѧÉú)
- ¹ó±ö: 12.924
- ½ð±Ò: 20190.4
- É¢½ð: 15888
- ºì»¨: 88
- ɳ·¢: 4
- Ìû×Ó: 7840
- ÔÚÏß: 1114.6Сʱ
- ³æºÅ: 465889
- ×¢²á: 2007-11-23
- רҵ: ÎïÀíѧI
- ¹ÜϽ: ¼ÆËãÄ£Äâ

7Â¥2011-08-04 15:43:44
wuli8
ÈÙÓþ°æÖ÷ (ÖªÃû×÷¼Ò)
¡¡¡¡
- 1STÇ¿Ìû: 2
- Ó¦Öú: 35 (СѧÉú)
- ¹ó±ö: 12.924
- ½ð±Ò: 20190.4
- É¢½ð: 15888
- ºì»¨: 88
- ɳ·¢: 4
- Ìû×Ó: 7840
- ÔÚÏß: 1114.6Сʱ
- ³æºÅ: 465889
- ×¢²á: 2007-11-23
- רҵ: ÎïÀíѧI
- ¹ÜϽ: ¼ÆËãÄ£Äâ

8Â¥2011-08-04 15:44:44
wuli8
ÈÙÓþ°æÖ÷ (ÖªÃû×÷¼Ò)
¡¡¡¡
- 1STÇ¿Ìû: 2
- Ó¦Öú: 35 (СѧÉú)
- ¹ó±ö: 12.924
- ½ð±Ò: 20190.4
- É¢½ð: 15888
- ºì»¨: 88
- ɳ·¢: 4
- Ìû×Ó: 7840
- ÔÚÏß: 1114.6Сʱ
- ³æºÅ: 465889
- ×¢²á: 2007-11-23
- רҵ: ÎïÀíѧI
- ¹ÜϽ: ¼ÆËãÄ£Äâ

9Â¥2011-08-04 15:45:06
wuli8
ÈÙÓþ°æÖ÷ (ÖªÃû×÷¼Ò)
¡¡¡¡
- 1STÇ¿Ìû: 2
- Ó¦Öú: 35 (СѧÉú)
- ¹ó±ö: 12.924
- ½ð±Ò: 20190.4
- É¢½ð: 15888
- ºì»¨: 88
- ɳ·¢: 4
- Ìû×Ó: 7840
- ÔÚÏß: 1114.6Сʱ
- ³æºÅ: 465889
- ×¢²á: 2007-11-23
- רҵ: ÎïÀíѧI
- ¹ÜϽ: ¼ÆËãÄ£Äâ

10Â¥2011-08-04 15:45:39














»Ø¸´´ËÂ¥
gaojunfeng83