版块导航
正在加载中...
客户端APP下载
论文辅导
申博辅导
登录
注册
帖子
帖子
用户
本版
应《网络安全法》要求,自2017年10月1日起,未进行实名认证将不得使用互联网跟帖服务。为保障您的帐号能够正常使用,请尽快对帐号进行手机号验证,感谢您的理解与支持!
24小时热门版块排行榜
>
论坛更新日志
(2536)
>
虫友互识
(183)
>
导师招生
(78)
>
文献求助
(76)
>
考博
(27)
>
论文道贺祈福
(24)
>
硕博家园
(23)
>
休闲灌水
(22)
>
基金申请
(20)
>
博后之家
(17)
>
考研
(16)
>
招聘信息布告栏
(15)
>
教师之家
(15)
>
绿色求助(高悬赏)
(11)
>
论文投稿
(11)
>
公派出国
(9)
小木虫论坛-学术科研互动平台
»
专业学科区
»
数学
»
计算数学
»
用matlab编程求此方程~~~~~~~~~~~~~
7
1/1
返回列表
查看: 876 | 回复: 6
只看楼主
@他人
存档
新回复提醒
(忽略)
收藏
在APP中查看
郭德纲砸缸
铜虫
(小有名气)
应助: 3
(幼儿园)
金币: 48.8
散金: 140
红花: 3
帖子: 109
在线: 61.3小时
虫号: 1706499
注册: 2012-03-21
性别: GG
专业: 能源化工
[
求助
]
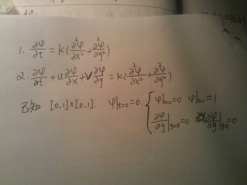
用matlab编程求此方程~~~~~~~~~~~~~
这两道题,初始和边界条件已给定~~
画出解的图。。。。。多谢
79f0f736afc379315c5610c1ebc4b74543a9111f.jpg
回复此楼
» 猜你喜欢
天津大学招2026.09的博士生,欢迎大家推荐交流(博导是本人)
已经有5人回复
有院领导为了换新车,用横向课题经费买了俩车
已经有5人回复
有时候真觉得大城市人没有县城人甚至个体户幸福
已经有9人回复
CSC & MSCA 博洛尼亚大学能源材料课题组博士/博士后招生|MSCA经费充足、排名优
已经有6人回复
同年申请2项不同项目,第1个项目里不写第2个项目的信息,可以吗
已经有3人回复
面上项目申报
已经有3人回复
酰胺脱乙酰基
已经有9人回复
博士延得我,科研能力直往上蹿
已经有7人回复
面上基金申报没有其他的参与者成吗
已经有5人回复
遇见不省心的家人很难过
已经有22人回复
» 本主题相关价值贴推荐,对您同样有帮助:
如何用matlab求解矩阵系数的二阶微分方程
已经有13人回复
求助:如何用MATLAB的偏微分方程工具箱画出不同区域内的温度分布图?
已经有5人回复
各位朋友,如何用matlab编写这个方程,并求解?
已经有15人回复
求助 用matlab拟合三元线性回归方程及分析
已经有9人回复
matlab求解方程中的参数
已经有21人回复
高手进来用matlab求解常微分方程,十分感谢!
已经有17人回复
matlab求解方程组“”
已经有4人回复
Matlab求解偏微分方程组
已经有22人回复
matlab求解非线性方程组
已经有16人回复
matlab 求指点 动力学方程拟合过程中导数的获取
已经有10人回复
求matlab求解一个方程组的问题
已经有6人回复
求高人指点用matlab求解非线性方程组,解决了追加100金币;
已经有11人回复
【求助】matlab 求解微分方程中的未知参数
已经有20人回复
【求助】matlab 解矩阵方程 重金悬赏解决方案
已经有10人回复
【求助】积分微分方程matlab求解
已经有6人回复
【求助】matlab怎么求解偏微分方程组啊,先谢谢了
已经有13人回复
【求助】求教matlab解非线性方程组
已经有9人回复
【求助】使用Matlab拟合反应动力学方程问题
已经有7人回复
【求助】使用Matlab预估动力学方程问题
已经有13人回复
人生苦短,只争朝夕
1楼
2012-12-02 17:55:25
已阅
回复此楼
关注TA
给TA发消息
送TA红花
TA的回帖
郭德纲砸缸
铜虫
(小有名气)
应助: 3
(幼儿园)
金币: 48.8
散金: 140
红花: 3
帖子: 109
在线: 61.3小时
虫号: 1706499
注册: 2012-03-21
性别: GG
专业: 能源化工
额。。忘记了个条件, u=v=1 K=0.01
赞
一下
回复此楼
人生苦短,只争朝夕
2楼
2012-12-02 18:33:59
已阅
回复此楼
关注TA
给TA发消息
送TA红花
TA的回帖
li6761168
金虫
(小有名气)
应助: 4
(幼儿园)
金币: 4821.9
散金: 210
红花: 4
帖子: 147
在线: 615.5小时
虫号: 1302887
注册: 2011-05-22
专业: 固体力学
【答案】应助回帖
感谢参与,应助指数 +1
一个是二维热传导方程,一个是二维扩散对流方程!!!找本偏微分方程求解的书去看看!!用有限差分法求解!!!
在学习中成长,直接找别人要结果!!!你什么也学不会!
赞
一下
回复此楼
3楼
2012-12-03 10:20:38
已阅
回复此楼
关注TA
给TA发消息
送TA红花
TA的回帖
phantomderik
木虫
(小有名气)
应助: 7
(幼儿园)
金币: 2556.7
红花: 1
帖子: 104
在线: 22.3小时
虫号: 2076009
注册: 2012-10-21
专业: 结构陶瓷
【答案】应助回帖
感谢参与,应助指数 +1
楼主在matlab中输入helpwin 然后上面有详细说明。
[ 发自手机版 http://muchong.com/3g ]
赞
一下
回复此楼
顺其自然
4楼
2012-12-04 14:12:37
已阅
回复此楼
关注TA
给TA发消息
送TA红花
TA的回帖
郭德纲砸缸
铜虫
(小有名气)
应助: 3
(幼儿园)
金币: 48.8
散金: 140
红花: 3
帖子: 109
在线: 61.3小时
虫号: 1706499
注册: 2012-03-21
性别: GG
专业: 能源化工
引用回帖:
3楼
:
Originally posted by
li6761168
at 2012-12-03 10:20:38
一个是二维热传导方程,一个是二维扩散对流方程!!!找本偏微分方程求解的书去看看!!用有限差分法求解!!!
在学习中成长,直接找别人要结果!!!你什么也学不会!
亲,这么紧张干嘛?看了下你发帖纪录,抱歉,在您心情不好的时候惹您动怒。。。抱歉。。。
赞
一下
回复此楼
人生苦短,只争朝夕
5楼
2012-12-05 17:22:41
已阅
回复此楼
关注TA
给TA发消息
送TA红花
TA的回帖
郭德纲砸缸
铜虫
(小有名气)
应助: 3
(幼儿园)
金币: 48.8
散金: 140
红花: 3
帖子: 109
在线: 61.3小时
虫号: 1706499
注册: 2012-03-21
性别: GG
专业: 能源化工
引用回帖:
4楼
:
Originally posted by
phantomderik
at 2012-12-04 14:12:37
楼主在matlab中输入helpwin 然后上面有详细说明。
多谢。。我看一下
回复此楼
人生苦短,只争朝夕
6楼
2012-12-05 17:23:08
已阅
回复此楼
关注TA
给TA发消息
送TA红花
TA的回帖
li6761168
金虫
(小有名气)
应助: 4
(幼儿园)
金币: 4821.9
散金: 210
红花: 4
帖子: 147
在线: 615.5小时
虫号: 1302887
注册: 2011-05-22
专业: 固体力学
不好意思!我的回帖确实有点过分!!!
只是,我们师门新来了个师弟!!!什么都不想干,让你帮他,就等于直接要结果!!!搞的我很恼火!
赞
一下
回复此楼
7楼
2012-12-06 10:00:58
已阅
回复此楼
关注TA
给TA发消息
送TA红花
TA的回帖
相关版块跳转
数理科学综合
机械
物理
数学
农林
食品
地学
能源
信息科学
土木建筑
航空航天
转基因
我要订阅楼主
郭德纲砸缸
的主题更新
7
1/1
返回列表
如果回帖内容含有宣传信息,请如实选中。否则帐号将被全论坛禁言
普通表情
龙
兔
虎
猫
百度网盘
|
360云盘
|
千易网盘
|
华为网盘
在新窗口页面中打开自己喜欢的网盘网站,将文件上传后,然后将下载链接复制到帖子内容中就可以了。
信息提示
关闭
请填处理意见
关闭
确定