| ²é¿´: 2076 | »Ø¸´: 9 | |||
mhyuan½ð³æ (СÓÐÃûÆø)
|
[ÇóÖú]
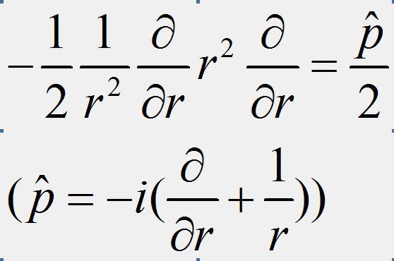
ÇóÖúÁ¿×ÓÁ¦Ñ§ÀïÃæµÄÓйØËã·ûµÄÖ¤Ã÷Ìâ
|
||
|
|
|||
huow005ÖÁ×ðľ³æ (СÓÐÃûÆø)
|
¡¾´ð°¸¡¿Ó¦Öú»ØÌû
¡ï ¡ï ¡ï ¡ï ¡ï
¸Ðл²ÎÓ룬ӦÖúÖ¸Êý +1 mhyuan: ½ð±Ò+5, ¡ï¡ï¡ïºÜÓаïÖú 2012-12-01 09:13:54
|
||
![]() |
|||
|
2Â¥2012-12-01 00:23:22
|
|
||
mhyuan½ð³æ (СÓÐÃûÆø)
|
|||
|
3Â¥2012-12-01 09:16:12
|
|
||
racoon01ר¼Ò¹ËÎÊ (ÖøÃûдÊÖ)
|
|||
![]() |
|||
|
4Â¥2012-12-01 12:04:07
|
|
||
mhyuan½ð³æ (СÓÐÃûÆø)
|
|||
|
5Â¥2012-12-01 14:17:21
|
|
||
racoon01ר¼Ò¹ËÎÊ (ÖøÃûдÊÖ)
|
|||
![]() |
|||
|
6Â¥2012-12-01 19:42:52
|
|
||
huow005ÖÁ×ðľ³æ (СÓÐÃûÆø)
|
|||
![]() |
|||
|
7Â¥2012-12-01 22:14:04
|
|
||
huow005ÖÁ×ðľ³æ (СÓÐÃûÆø)
|
¡ï ¡ï
ϦÑôÎ÷ÏÂ: ½ð±Ò+2, ½±ÀøÒ»Ï 2012-12-02 10:18:10
» ±¾ÌûÒÑ»ñµÃµÄºì»¨£¨×îÐÂ10¶ä£© |
||
![]() |
|||
|
8Â¥2012-12-01 22:31:56
|
|
||
mhyuan½ð³æ (СÓÐÃûÆø)
|
|||
|
9Â¥2012-12-03 09:05:07
|
|
||
mhyuan½ð³æ (СÓÐÃûÆø)
|
|||
|
10Â¥2012-12-03 09:06:29
|
|














»Ø¸´´ËÂ¥


mhyuan
10