| 查看: 872 | 回复: 7 | ||
[求助]
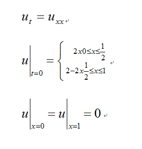
求解方程!!!急急急急!!!
|
||
|
|
||
archdevil铁杆木虫 (正式写手)
|
||
![]() |
||
|
2楼2012-10-16 21:40:38
|
|
|
zhiqiuyiye11木虫 (著名写手)
发现者探索者创造者
|
||
![]() |
||
|
3楼2012-10-16 23:27:25
|
|
|
zhiqiuyiye11木虫 (著名写手)
发现者探索者创造者
|
||
![]() |
||
|
4楼2012-10-16 23:29:06
|
|
|
![]() |
||
|
5楼2012-10-17 09:04:13
|
|
|
|
6楼2012-10-17 09:07:31
|
|
|
zhiqiuyiye11木虫 (著名写手)
发现者探索者创造者
|
【答案】应助回帖
★ ★ ★ ★ ★ ★ ★ ★ ★ ★ ★ ★ ★ ★ ★ ★ ★ ★ ★ ★ ★ ★ ★ ★ ★
duanxy11: 金币+25, ★有帮助, 谢谢! 2012-10-19 15:11:27
|
|
![]() |
||
|
7楼2012-10-17 19:17:45
|
|
|
|
8楼2012-10-17 19:55:06
|
|














回复此楼

10