| ²é¿´: 1283 | »Ø¸´: 6 | ||
taiyanghefÌú³æ (ÖøÃûдÊÖ)
|
[ÇóÖú]
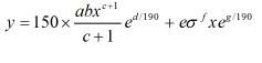
ÇëÎÊ´óÏÀÃÇ£¬¸Ã·½³ÌÔõôÇó½âÕâЩ³£ÊýÄØ
|
|
|
|
||
dingdÌú¸Ëľ³æ (Ö°Òµ×÷¼Ò)
|
||
|
2Â¥2012-06-08 20:34:15
|
|
|
zÂÜÀòÒø³æ (СÓÐÃûÆø)
|
¡¾´ð°¸¡¿Ó¦Öú»ØÌû
¡ï ¡ï ¡ï ¡ï ¡ï ¡ï ¡ï ¡ï ¡ï
¸Ðл²ÎÓ룬ӦÖúÖ¸Êý +1 fegg7502: ½ð±Ò+4, 3ks 2012-06-09 20:25:41 taiyanghef: ½ð±Ò+5, ¡ïÓаïÖú, ºÃµÄ£¬²»¹ýÎÒ¹«Ê½±à¼´íÁË£¬Ó¦¸ÃÊÇsigmaµÄb´Î·½£¬sigmaÊÇÓ¦Á¦£ºÆäֵΪ150£¬Âé·³ÂÜÀò½ã½ã°ïæËãË㣬 2012-06-10 12:18:35
|
|
![]() |
||
|
3Â¥2012-06-09 19:50:29
|
|
|
zÂÜÀòÒø³æ (СÓÐÃûÆø)
|
||
![]() |
||
|
4Â¥2012-06-09 20:05:07
|
|
|
taiyanghefÌú³æ (ÖøÃûдÊÖ)
|
|
|
|
5Â¥2012-06-10 12:27:11
|
|
|
zÂÜÀòÒø³æ (СÓÐÃûÆø)
|
||
![]() |
||
|
6Â¥2012-06-10 15:54:01
|
|
|
zÂÜÀòÒø³æ (СÓÐÃûÆø)
|
||
![]() |
||
|
7Â¥2012-06-10 16:20:27
|
|
















»Ø¸´´ËÂ¥

·½³ÌµÄÖ¸ÊýÉÏÃæÓ¦¸Ã»¹ÓÐÁ½¸ö¸ººÅ¡£
ËãºÃºó£¬ÎÒ¸øÄãËùÓеÄBB