²é¿´: 915  |  »Ø¸´: 2

apollosun9283

½ð³æ (СÓÐÃûÆø)

½£ÇŹ«¾ô

[ÇóÖú] ³£Î¢·Ö·½³Ì×é³õÖµÎÊÌâµÄ²ÎÊýÈ·¶¨

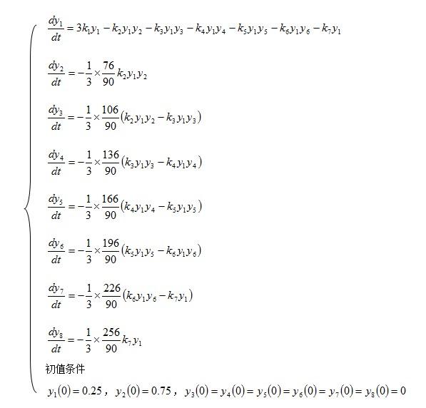
·½³ÌÈ總¼þµÄͼ1ºÍͼ2Ëùʾ¡£

--------------------¶¨Òå·½³Ì×é---------------------------------------------------
function dydt=tangbin(t,y)
global k1 k2 k3 k4 k5 k6 k7
f1=3*k1*y(1)-k2*y(1)*y(2)-k3*y(1)*y(3)-k4*y(1)*y(4)-...
    k5*y(1)*y(5)-k6*y(1)*y(6)-k7*y(1);
f2=-1/3*k2*76/90*y(1)*y(2);
f3=1/3*k2*106/90*y(1)*y(2)-1/3*k3*106/90*y(1)*y(3);
f4=1/3*k3*136/90*y(1)*y(3)-1/3*k4*136/90*y(1)*y(4);
f5=1/3*k4*166/90*y(1)*y(4)-1/3*k5*166/90*y(1)*y(5);
f6=1/3*k5*196/90*y(1)*y(5)-1/3*k6*196/90*y(1)*y(6);
f7=1/3*k6*226/90*y(1)*y(6)-1/3*k7*226/90*y(1);
f8=1/3*k7*256/90*y(1);
dydt=[f1;f2;f3;f4;f5;f6;f7;f8];

--------------------------ÒÔkÖµµÄ²Â²âÖµ¼ÆËãy-----------------------------
clear all;clc
global k1 k2 k3 k4 k5 k6 k7
k1=5;
k2=900;
k3=500;
k4=500;
k5=500;
k6=700;
k7=3;
y0=[0.25 0.75 0 0 0 0 0 0];
[t,y]=ode45(@tangbin,[1/30 1/24 1/18 1/12],y0);
yexp=0.01*[2.21 62.89 19.04 6.86 2.34 0.80 0.27 0.02;...
    1.82 59.76 20.23 8.07 2.97 1.02 0.33 0.05;...
    1.15 55.64 22.27 9.48 3.73 1.34 0.47 0.12;
    1.06 55.13 21.85 9.69 3.99 1.59 0.62 0.22];
s=sum(sum((y-yexp).^2))

-------------------------------------------------------------------------------
ÏÖÔÚÎÒÓöµ½µÄÎÊÌâÊÇ£¬ÏÂÒ»²½ÈçºÎµ÷ÕûkÖµ£¬Ê¹µÃs=sum(sum((y-yexp).^2))¾¡¿ÉÄܵÄС¡£ÎÒÉèÏë¹ý¸øk¹¹½¨Ò»¸öÑ­»·Óï¾äÀ´µ÷Õûk£¬µ«ÊÇÈçºÎµ÷Õû£¬Ã»ÓÐ˼·¡£

Çë¸ßÊÖ°ï°ï棡

1.jpg



2.jpg
»Ø¸´´ËÂ¥

» ²ÂÄãϲ»¶

» ±¾Ö÷ÌâÏà¹Ø¼ÛÖµÌùÍÆ¼ö£¬¶ÔÄúͬÑùÓаïÖú:

ÒÐÂ¥Ìý·çÓ꣬µ­¿´½­ºþ·
ÒÑÔÄ   »Ø¸´´ËÂ¥   ¹Ø×¢TA ¸øTA·¢ÏûÏ¢ ËÍTAºì»¨ TAµÄ»ØÌû

gyctju

½ð³æ (ÕýʽдÊÖ)

Ö±½ÓÊÖ¶¯Çó¼«Öµ²»ÐÐÂð£¿Ó¦¸Ã²»ÊǺܸ´ÔÓ°¡£¿
2Â¥2012-10-12 23:10:08
ÒÑÔÄ   »Ø¸´´ËÂ¥   ¹Ø×¢TA ¸øTA·¢ÏûÏ¢ ËÍTAºì»¨ TAµÄ»ØÌû

ÔÂÖ»À¶

Ö÷¹ÜÇø³¤ (Ö°Òµ×÷¼Ò)

¡¾´ð°¸¡¿Ó¦Öú»ØÌû

¡ï ¡ï ¡ï ¡ï ¡ï ¡ï ¡ï ¡ï ¡ï ¡ï ¡ï ¡ï ¡ï ¡ï ¡ï ¡ï ¡ï ¡ï ¡ï ¡ï ¡ï ¡ï ¡ï ¡ï ¡ï ¡ï ¡ï ¡ï ¡ï ¡ï ¡ï ¡ï ¡ï ¡ï ¡ï ¡ï ¡ï ¡ï ¡ï ¡ï ¡ï ¡ï ¡ï ¡ï ¡ï ¡ï ¡ï ¡ï ¡ï ¡ï ¡ï ¡ï ...
¸Ðл²ÎÓ룬ӦÖúÖ¸Êý +1
apollosun9283: ½ð±Ò+150, ¡ï¡ï¡ï¡ï¡ï×î¼Ñ´ð°¸, Ê®·Ö¸Ðл£¡ 2012-10-13 09:06:40
xiegangmai: ½ð±Ò+3 2012-10-14 08:23:29
²Î¿¼ÊµÓüÆËã»úÄ£ÄâÊ飬³ÌÐòÈçÏ£¬×ö³öÀ´ÎÊÌ⣬ÖÁÓÚЧ¹ûµÄ»°£¬ÇëÂ¥Ö÷µ÷Ò»ÏÂk³õÖµ£º

function canshinihe
clear all;clc
tspan=[0 1/30 1/24 1/18 1/12];
y0=[0.25;0.75;0;0;0;0;0;0];
k0=[1 1 1 1 1 1 1]*0.1;
lb=[0 0 0 0 0 0 0];
ub=[1 1 1 1 1 1 1]*10^5;                                                                                
yexp=0.01*[2.21 62.89 19.04 6.86 2.34 0.80 0.27 0.02;...
    1.82 59.76 20.23 8.07 2.97 1.02 0.33 0.05;...
    1.15 55.64 22.27 9.48 3.73 1.34 0.47 0.12;
    1.06 55.13 21.85 9.69 3.99 1.59 0.62 0.22];


% ʹÓú¯Êýlsqnonlin()½øÐвÎÊý¹À¼Æ
[k,resnorm,residual,exitflag,output,lambda,jacobian] = ...
    lsqnonlin(@ObjFunc,k0,lb,ub,[],tspan,y0,yexp);
ci = nlparci(k,residual,jacobian);
fprintf('\n\nʹÓú¯Êýlsqnonlin()¹À¼ÆµÃµ½µÄ²ÎÊýֵΪ:\n')
fprintf('\tk1 = %.4f ¡À %.4f\n',k(1),ci(1,2)-k(1))
fprintf('\tk2 = %.4f ¡À %.4f\n',k(2),ci(2,2)-k(2))
fprintf('\tk3 = %.4f ¡À %.4f\n',k(3),ci(3,2)-k(3))
fprintf('\tk4 = %.4f ¡À %.4f\n',k(4),ci(4,2)-k(4))
fprintf('\tk5 = %.4f ¡À %.4f\n',k(5),ci(5,2)-k(5))
fprintf('\tk6 = %.4f ¡À %.4f\n',k(6),ci(6,2)-k(6))
fprintf('\tk7 = %.4f ¡À %.4f\n',k(7),ci(7,2)-k(7))
fprintf('  The sum of the squares is: %.1e\n\n',resnorm)

%---------------------------------------------------------
function f = ObjFunc(k,tspan,y0,yexp)           % Ä¿±êº¯Êý
[t Xsim] = ode45(@KineticsEqs,tspan,y0,[],k);   
ysim(:,1) = Xsim(2:end,1);
ysim(:,2) = Xsim(2:end,2);
ysim(:,3) = Xsim(2:end,3);
ysim(:,4) = Xsim(2:end,4);
ysim(:,5) = Xsim(2:end,5);
ysim(:,6) = Xsim(2:end,6);
ysim(:,7) = Xsim(2:end,7);
ysim(:,8) = Xsim(2:end,8);
f =[ysim(:,1)-yexp(:,1); ysim(:,2)-yexp(:,2); ysim(:,3)-yexp(:,3);...
   ysim(:,4)-yexp(:,4); ysim(:,5)-yexp(:,5);  ysim(:,6)-yexp(:,6);...
     ysim(:,7)-yexp(:,7); ysim(:,8)-yexp(:,8)];
%----------------------------------------------------------

function dydt = KineticsEqs(t,y,k)
f1=3*k(1)*y(1)-k(2)*y(1)*y(2)-k(3)*y(1)*y(3)-k(4)*y(1)*y(4)-...
    k(5)*y(1)*y(5)-k(6)*y(1)*y(6)-k(7)*y(1);
f2=-1/3*k(2)*76/90*y(1)*y(2);
f3=1/3*k(2)*106/90*y(1)*y(2)-1/3*k(3)*106/90*y(1)*y(3);
f4=1/3*k(3)*136/90*y(1)*y(3)-1/3*k(4)*136/90*y(1)*y(4);
f5=1/3*k(4)*166/90*y(1)*y(4)-1/3*k(5)*166/90*y(1)*y(5);
f6=1/3*k(5)*196/90*y(1)*y(5)-1/3*k(6)*196/90*y(1)*y(6);
f7=1/3*k(6)*226/90*y(1)*y(6)-1/3*k(7)*226/90*y(1);
f8=1/3*k(7)*256/90*y(1);
dydt=[f1;f2;f3;f4;f5;f6;f7;f8];
MATLAB¡¢MSСÎÊÌâ¡¢ÆÕͨÎÊÌâÇë·¢ÌûÇóÖú£¡Ê±¼ä¾«Á¦ÓÐÏÞ£¬Ë¡²»½ÓÊÜÎÞ³¥Ë½ÐÅÇóÖú¡£
3Â¥2012-10-13 07:13:09
ÒÑÔÄ   »Ø¸´´ËÂ¥   ¹Ø×¢TA ¸øTA·¢ÏûÏ¢ ËÍTAºì»¨ TAµÄ»ØÌû
Ïà¹Ø°æ¿éÌø×ª ÎÒÒª¶©ÔÄÂ¥Ö÷ apollosun9283 µÄÖ÷Ìâ¸üÐÂ
×î¾ßÈËÆøÈÈÌûÍÆ¼ö [²é¿´È«²¿] ×÷Õß »Ø/¿´ ×îºó·¢±í
[¿¼ÑÐ] 326Çóµ÷¼Á +5 ŵ±´¶û»¯Ñ§½±êéê 2026-03-15 8/400 2026-03-21 19:33 by ColorlessPI
[¿¼ÑÐ] 297Çóµ÷¼Á +3 ϲ»¶»¹ÊDz»¸ÊÐÄ 2026-03-20 3/150 2026-03-21 18:33 by ѧԱ8dgXkO
[¿¼ÑÐ] 336Çóµ÷¼Á +5 rmc8866 2026-03-21 5/250 2026-03-21 17:24 by ѧԱ8dgXkO
[»ù½ðÉêÇë] ѧУÒѾ­Ìá½»µ½NSFC£¬»¹ÄÜÐÞ¸ÄÂ𣿠40+4 babangida 2026-03-19 9/450 2026-03-21 16:12 by babangida
[¿¼ÑÐ] 0805²ÄÁÏ320Çóµ÷¼Á +3 ÉÎïÓï 2026-03-20 3/150 2026-03-21 15:46 by Î޼ʵIJÝÔ­
[¿¼ÑÐ] 0856²ÄÁÏר˶353Çóµ÷¼Á +3 NIFFFfff 2026-03-20 3/150 2026-03-21 10:23 by luoyongfeng
[¿¼ÑÐ] 306Çóµ÷¼Á +4 chuanzhu´¨Öò 2026-03-18 4/200 2026-03-21 08:25 by laoshidan
[¿¼ÑÐ] 310Çóµ÷¼Á +3 baibai1314 2026-03-16 3/150 2026-03-21 03:56 by JourneyLucky
[¿¼ÑÐ] Ò»Ö¾Ô¸Ìì½ò´óѧ»¯Ñ§¹¤ÒÕרҵ£¨081702£©315·ÖÇóµ÷¼Á +12 yangfz 2026-03-17 12/600 2026-03-21 03:30 by JourneyLucky
[¿¼ÑÐ] Ò»Ö¾Ô¸ÖйúʯÓÍ´óѧ£¨»ª¶«£© ±¾¿ÆÆë³¹¤Òµ´óѧ +3 ʯÄÜΰ 2026-03-17 3/150 2026-03-21 02:22 by JourneyLucky
[¿¼ÑÐ] 324·Ö 085600²ÄÁÏ»¯¹¤Çóµ÷¼Á +4 llllkkkhh 2026-03-18 4/200 2026-03-21 01:24 by JourneyLucky
[¿¼ÑÐ] Ò»Ö¾Ô¸Öк£Ñó²ÄÁϹ¤³Ìר˶330·ÖÇóµ÷¼Á +8 С²Ä»¯±¾¿Æ 2026-03-18 8/400 2026-03-20 23:16 by JourneyLucky
[¿¼ÑÐ] ±±¿Æ281ѧ˶²ÄÁÏÇóµ÷¼Á +5 tcxiaoxx 2026-03-20 5/250 2026-03-20 21:35 by laoshidan
[¿¼ÑÐ] Ò»Ö¾Ô¸»ªÖÐũҵ071010£¬×Ü·Ö320Çóµ÷¼Á +3 À§À§À§À§À¤À¤ 2026-03-20 3/150 2026-03-20 20:38 by ѧԱ8dgXkO
[¿¼ÑÐ] 293Çóµ÷¼Á +11 zjlµÄºÅ 2026-03-16 16/800 2026-03-18 08:10 by zhukairuo
[˶²©¼ÒÔ°] ºþ±±¹¤Òµ´óѧ ÉúÃü¿ÆÑ§Ó뽡¿µÑ§Ôº-¿ÎÌâ×éÕÐÊÕ2026¼¶Ê³Æ·/ÉúÎï·½Ïò˶ʿ +3 1ϲ´º8 2026-03-17 5/250 2026-03-17 17:18 by ber´¨cool×Ó
[¿¼ÑÐ] Ò»Ö¾Ô¸ËÕÖÝ´óѧ²ÄÁϹ¤³Ì£¨085601£©×¨Ë¶ÓпÆÑо­ÀúÈýÏî¹ú½±Á½¸öʵÓÃÐÍרÀûÒ»ÏîÊ¡¼¶Á¢Ïî +6 ´ó»ðɽС»ðɽ 2026-03-16 8/400 2026-03-17 15:05 by ÎÞи¿É»÷111
[¿¼ÑÐ] ²ÄÁϹ¤³Ìר˶274Ò»Ö¾Ô¸211Çóµ÷¼Á +6 Ñ¦ÔÆÅô 2026-03-15 6/300 2026-03-17 11:05 by ѧԱh26Tkc
[¿¼ÑÐ] ÖпÆÔº²ÄÁÏ273Çóµ÷¼Á +4 yzydy 2026-03-15 4/200 2026-03-16 15:59 by Gaodh_82
[¿¼ÑÐ] 327Çóµ÷¼Á +6 ʰ¹âÈÎȾ 2026-03-15 11/550 2026-03-15 22:47 by ʰ¹âÈÎȾ
ÐÅÏ¢Ìáʾ
ÇëÌî´¦ÀíÒâ¼û