| ²é¿´: 2306 | »Ø¸´: 25 | |||
wqqlbÌú³æ (ÕýʽдÊÖ)
|
[ÇóÖú]
origin8.0ÖÐ ½«ÁùͼºÍÔÚһͼÉÏ£¿£¿¾´Çë¸ßÊÖÖ¸µã~~~
|
|
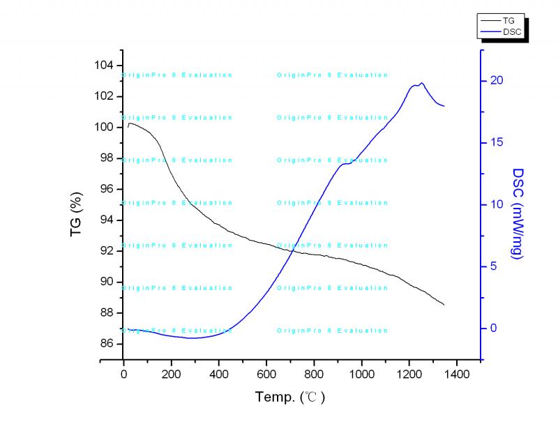
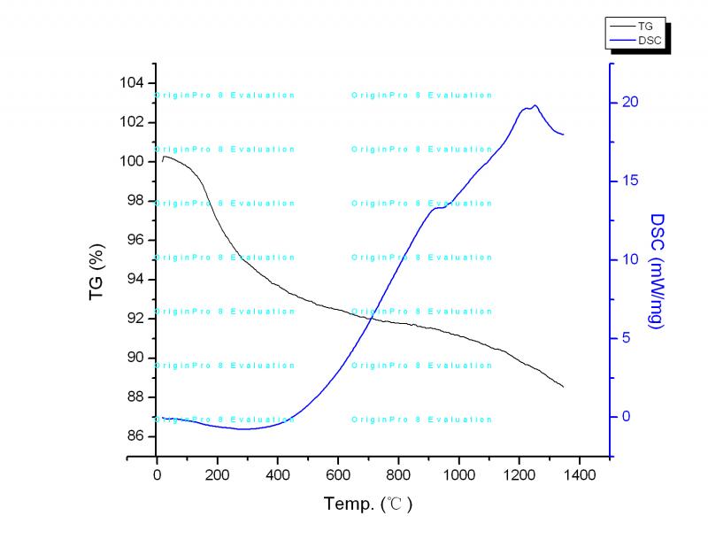
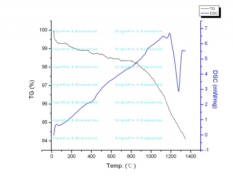
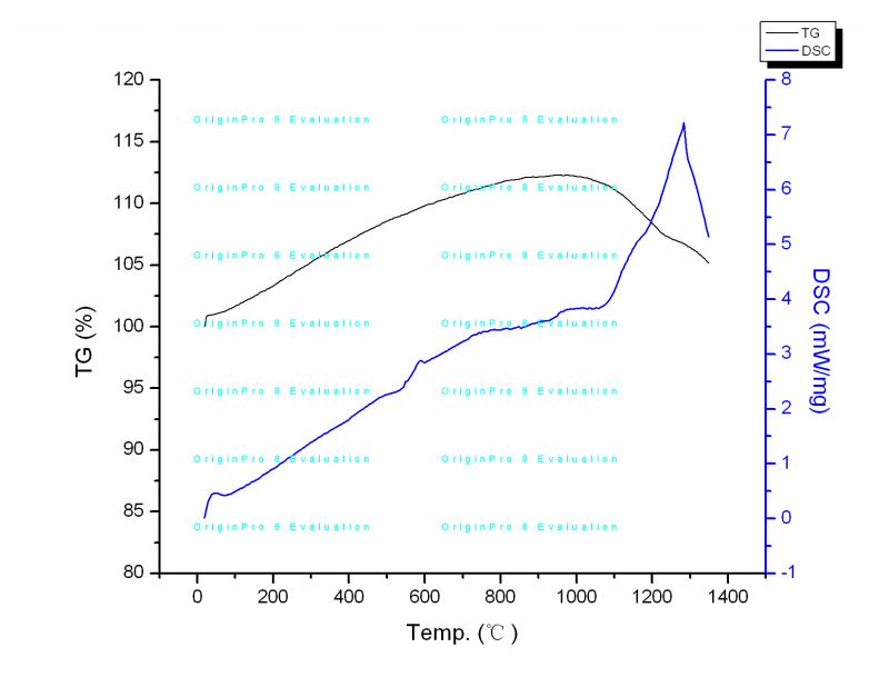
ÔõÑùÔÚorigin8.0Öн«Áù¸öͼ·ÅÔÚÒ»¿é£¬ÕâÁù¸öͼÖРÿ¸öͼ¾ùÓÐÁ½¸öYÖᣬËùÓеÄͼ¶¼¹²ÓÐÒ»¸öXÖ᣿£¿£¿£¿£¿¶àл´óÏÀ³öÊÖÏàÖú¡£¡£¡£¡£ [ Last edited by nsp27 on 2012-8-29 at 10:22 ] |
» ÊÕ¼±¾ÌûµÄÌÔÌûר¼ÍƼö
°²½ÝÂ×ÒºÏà |
» ²ÂÄãϲ»¶
283Çóµ÷¼Á 086004¿¼Ó¢¶þÊý¶þ
ÒѾÓÐ4È˻ظ´
¸´ÊÔµ÷¼Á
ÒѾÓÐ9È˻ظ´
²ÄÁÏÓ뻯¹¤µ÷¼Á
ÒѾÓÐ35È˻ظ´
µ÷¼ÁÇóÊÕÁô
ÒѾÓÐ10È˻ظ´
Ò»Ö¾Ô¸¹þ¹¤´ó 085600 277 12²Ä¿Æ»ùÇóµ÷¼Á
ÒѾÓÐ18È˻ظ´
0831ÉúÒ½¹¤µÚÒ»ÂÖµ÷¼Áʧ°ÜÇóÖú
ÒѾÓÐ9È˻ظ´
ÉúÎïѧ308Çóµ÷¼Á£¨Ò»Ö¾Ô¸»ª¶«Ê¦´ó£©
ÒѾÓÐ6È˻ظ´
272·Ö²ÄÁÏ×ÓÇóµ÷¼Á
ÒѾÓÐ36È˻ظ´
275Çóµ÷¼Á
ÒѾÓÐ8È˻ظ´
Ò»Ö¾Ô¸211£¬»¯Ñ§Ñ§Ë¶£¬310·Ö£¬±¾¿ÆÖصãË«·Ç£¬Çóµ÷¼Á
ÒѾÓÐ20È˻ظ´
» ±¾Ö÷ÌâÏà¹Ø¼ÛÖµÌùÍÆ¼ö£¬¶ÔÄúͬÑùÓаïÖú:
¾ÍÒª±»µ°°×ÖʵçÓ¾£¨SDS-PAGE£©ÃðÁË£¬ÓÐͼÓÐÕæÏ࣬Íû¸ßÊÖÖ¸µã
ÒѾÓÐ28È˻ظ´
ÇëÎÊODFͼ¿ÉÒÔÕâÑù·ÖÎöô£¿Çë¸ßÊÖÖ¸µãÒ»¶þ£¡
ÒѾÓÐ8È˻ظ´
Çë¸ßÊÖÖ¸µãÈçºÎÔÚarcgisÖÐ×öÍÁµØÀûÓÃÀàÐÍת»¯Í¼
ÒѾÓÐ11È˻ظ´
ºË´ÅͼµÄÁÑ·Ö²»ÖªµÀÔõô½âÊÍ£¬Ïò´ó¼ÒÇë½Ì£¬Íû¸ßÊÖÖ¸µã
ÒѾÓÐ25È˻ظ´
Çó¸ßÊÖÖ¸µã¹ØÓÚ2DͼÆ×µãµÄ¼ø¶¨ÈçºÎ½âÊÍ
ÒѾÓÐ6È˻ظ´
DNAÇиî Èçͼ ÇŸßÊÖÖ¸µã
ÒѾÓÐ4È˻ظ´
ºÐ״ͼ±íʾµÄÊý¾ÝÒâÒåÊÇʲô£¿ÈçºÎ×öºÐ״ͼ£¿Çë¸ßÊÖÖ¸µã£¬Ð»Ð»£¡
ÒѾÓÐ9È˻ظ´
Çë½Ì¸ßÊÖÔÚWin7ϵͳÏÂÈçºÎ½«Êý¾ÝÀûÓÃorigin 8.0»³ÉÈýάͼ
ÒѾÓÐ12È˻ظ´
Çó¸ßÊÖÖ¸µãRNAµçӾͼ~~~~
ÒѾÓÐ25È˻ظ´
ÈÈ·ÖÎö²âÊÔ Í¼Æ×·ÖÎö¸Ðµ½Óеã³ÔÁ¦¡£Ï£Íû¸ßÊÖÖ¸µãÒ»¶þ£¡£¡£¡·Ç³£¸Ðл£¡
ÒѾÓÐ5È˻ظ´
Origin×öµÄºÐÐÎͼÓе㿴²»¶®¡¡¼±Çó¸ßÊÖÖ¸µã!
ÒѾÓÐ4È˻ظ´
origin8.0 µ¼³öͼÏñÇóÖú
ÒѾÓÐ10È˻ظ´
ÇóÖúOrigin8.0»Í¼µÄÎÊÌâ
ÒѾÓÐ9È˻ظ´
ÇóÖú¸ßÊÖ£ºorigin×÷Á£¶È·Ö²¼Í¼£¡£¡·Ç³£¸Ðл£¡£¡
ÒѾÓÐ5È˻ظ´

yaozi358
½ð³æ (ÕýʽдÊÖ)
- Ó¦Öú: 62 (³õÖÐÉú)
- ½ð±Ò: 409.1
- É¢½ð: 289
- Ìû×Ó: 749
- ÔÚÏß: 97.5Сʱ
- ³æºÅ: 1165225
- ×¢²á: 2010-12-08
- ÐÔ±ð: GG
- רҵ: Äý¾Û̬ÎïÐÔ II £ºµç×ӽṹ

2Â¥2012-08-26 12:14:30
ailuwuya
ľ³æ (ÕýʽдÊÖ)
- Ó¦Öú: 59 (³õÖÐÉú)
- ½ð±Ò: 4075.6
- É¢½ð: 415
- Ìû×Ó: 326
- ÔÚÏß: 331.7Сʱ
- ³æºÅ: 1866831
- ×¢²á: 2012-06-22
- רҵ: ½¨Öþ»·¾³Óë½á¹¹¹¤³Ì
3Â¥2012-08-26 13:51:40
xiajimu
Ìú¸Ëľ³æ (ÖªÃû×÷¼Ò)
- Ó¦Öú: 1703 (½²Ê¦)
- ½ð±Ò: 12573.5
- É¢½ð: 9739
- ºì»¨: 35
- Ìû×Ó: 5940
- ÔÚÏß: 2164.6Сʱ
- ³æºÅ: 288243
- ×¢²á: 2006-10-21
- ÐÔ±ð: GG
- רҵ: »¯Ñ§¹¤³Ì¼°¹¤Òµ»¯Ñ§
4Â¥2012-08-26 14:40:25
wqqlb
Ìú³æ (ÕýʽдÊÖ)
- Ó¦Öú: 2 (Ó×¶ùÔ°)
- ½ð±Ò: 1633.6
- É¢½ð: 159
- ºì»¨: 1
- Ìû×Ó: 757
- ÔÚÏß: 258.7Сʱ
- ³æºÅ: 1443999
- ×¢²á: 2011-10-15
- ÐÔ±ð: GG
- רҵ: »·¾³Î¢ÉúÎïѧ

5Â¥2012-08-26 15:10:31
yaozi358
½ð³æ (ÕýʽдÊÖ)
- Ó¦Öú: 62 (³õÖÐÉú)
- ½ð±Ò: 409.1
- É¢½ð: 289
- Ìû×Ó: 749
- ÔÚÏß: 97.5Сʱ
- ³æºÅ: 1165225
- ×¢²á: 2010-12-08
- ÐÔ±ð: GG
- רҵ: Äý¾Û̬ÎïÐÔ II £ºµç×ӽṹ

6Â¥2012-08-26 17:52:35
wqqlb
Ìú³æ (ÕýʽдÊÖ)
- Ó¦Öú: 2 (Ó×¶ùÔ°)
- ½ð±Ò: 1633.6
- É¢½ð: 159
- ºì»¨: 1
- Ìû×Ó: 757
- ÔÚÏß: 258.7Сʱ
- ³æºÅ: 1443999
- ×¢²á: 2011-10-15
- ÐÔ±ð: GG
- רҵ: »·¾³Î¢ÉúÎïѧ

7Â¥2012-08-26 19:48:00
yaozi358
½ð³æ (ÕýʽдÊÖ)
- Ó¦Öú: 62 (³õÖÐÉú)
- ½ð±Ò: 409.1
- É¢½ð: 289
- Ìû×Ó: 749
- ÔÚÏß: 97.5Сʱ
- ³æºÅ: 1165225
- ×¢²á: 2010-12-08
- ÐÔ±ð: GG
- רҵ: Äý¾Û̬ÎïÐÔ II £ºµç×ӽṹ
¡¾´ð°¸¡¿Ó¦Öú»ØÌû
¡ï ¡ï
wqqlb: ½ð±Ò+2, ¡ï¡ï¡ïºÜÓаïÖú 2012-08-27 11:48:46
wqqlb: ½ð±Ò+2, ¡ï¡ï¡ïºÜÓаïÖú 2012-08-27 11:48:46
| Õâ¸ö²»ÄѰ¡ Äãÿ¸öͼmerge֮ǰ¾ÍҪɾµôXÖá Ö»ÁôÒ»¸ö×îµ×ϵÄͼµÄXÖá mergeÖ®ºó ÊÖ¶¯µ÷ÕûÉÏͼXÖáÓëÏÂͼµÄÉϱ߽çÖØºÏ ÕâÑù¾ÍºÃÁË ÁíÍâ ¿ÉÒÔÉèÖÃmergeºóµÄpageµÄ´óС ÕâÑù»á¸üÇåÎúЩ ±ÈÈçÄãÊÇ6¸öͼ ËùÒÔ×îºÃ°ÑͼֽÉèÖóÉheight±È½Ï´óµÄÄÇÖÖ ²»È»Í¼»á¼·µ½Ò»Æð ²»ºÃ¿´ |

8Â¥2012-08-26 21:44:58
wqqlb
Ìú³æ (ÕýʽдÊÖ)
- Ó¦Öú: 2 (Ó×¶ùÔ°)
- ½ð±Ò: 1633.6
- É¢½ð: 159
- ºì»¨: 1
- Ìû×Ó: 757
- ÔÚÏß: 258.7Сʱ
- ³æºÅ: 1443999
- ×¢²á: 2011-10-15
- ÐÔ±ð: GG
- רҵ: »·¾³Î¢ÉúÎïѧ

9Â¥2012-08-27 11:52:11
yaozi358
½ð³æ (ÕýʽдÊÖ)
- Ó¦Öú: 62 (³õÖÐÉú)
- ½ð±Ò: 409.1
- É¢½ð: 289
- Ìû×Ó: 749
- ÔÚÏß: 97.5Сʱ
- ³æºÅ: 1165225
- ×¢²á: 2010-12-08
- ÐÔ±ð: GG
- רҵ: Äý¾Û̬ÎïÐÔ II £ºµç×ӽṹ

10Â¥2012-08-27 12:55:56













»Ø¸´´ËÂ¥
wqqlb
5