| 查看: 1506 | 回复: 7 | |||
[求助]
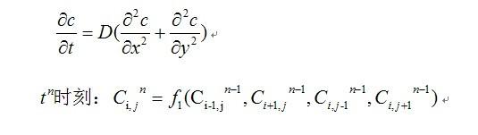
这样一个微分方程怎么实现差分??????
|
|
如图所示的微分方程,怎么实现图上格式的差分呀?????????? 即在n时刻,C ij可以用图上的形式表达 我百度了下,没找到想要的。。。。 [ Last edited by 淸夏木笔 on 2012-7-5 at 11:32 ] |
» 猜你喜欢
求国际会议网站
已经有1人回复
求取一些关于纳米材料和纳米技术相关的英文PPT。
已经有0人回复
物理学I论文润色/翻译怎么收费?
已经有137人回复
【复旦大学】二维材料方向招收2026年博士研究生1名
已经有0人回复
北京纳米能源与系统研究所 王中林院士/曹南颖研究员课题组2026级硕/博/博后招生
已经有10人回复
荷兰Utrecht University超快太赫兹光谱王海教授课题招收2026 CSC博士生
已经有22人回复
反铁磁体中的磁性切换:两种不同的机制已成功可视化
已经有0人回复
26申博推荐:南京航空航天大学国际前沿科学研究院光学方向招收博士生!
已经有0人回复
求标准粉末衍射卡号 ICDD 01-076-1802
已经有0人回复
» 本主题相关价值贴推荐,对您同样有帮助:
求助 一阶线性偏微分方程 拉格朗日法求解
已经有6人回复
这样一个偏微分方程有没有解析解?
已经有4人回复
椭圆形偏微分方程标准化后该如何解?
已经有6人回复
请问如何求解二元一阶微分方程组
已经有24人回复
【求助】向各位大侠求助matlab求解微分方程组遇到的一个问题
已经有21人回复
【求助】MATLAB 有限差分法(FDM)求解偏微分方程
已经有22人回复
求张文生《科学计算中的偏微分方程有限差分法》和胡建伟,汤怀民《微分方程数值解法》
已经有3人回复
【求助】一个时变微分方程组的matlab实现
已经有8人回复
dbb627
荣誉版主 (著名写手)
-

专家经验: +4 - 计算强帖: 12
- 应助: 289 (大学生)
- 贵宾: 0.589
- 金币: 24640.4
- 散金: 551
- 红花: 61
- 沙发: 1
- 帖子: 1246
- 在线: 1794.8小时
- 虫号: 149791
- 注册: 2005-12-29
- 性别: GG
- 专业: 污染控制化学
- 管辖: 计算模拟

2楼2012-07-06 20:22:11
3楼2012-07-08 13:18:07
4楼2012-07-08 16:43:19
dbb627
荣誉版主 (著名写手)
-

专家经验: +4 - 计算强帖: 12
- 应助: 289 (大学生)
- 贵宾: 0.589
- 金币: 24640.4
- 散金: 551
- 红花: 61
- 沙发: 1
- 帖子: 1246
- 在线: 1794.8小时
- 虫号: 149791
- 注册: 2005-12-29
- 性别: GG
- 专业: 污染控制化学
- 管辖: 计算模拟

5楼2012-07-09 10:57:43
匿名
用户注销 (知名作家)
- 应助: 1 (幼儿园)
- 金币: 3228.2
- 散金: 24
- 红花: 1
- 帖子: 6711
- 在线: 384.6小时
- 虫号: 0
- 注册: 2009-11-17
- 专业: 大气环境与全球气候变化
6楼2012-09-02 15:30:54
dbb627
荣誉版主 (著名写手)
-

专家经验: +4 - 计算强帖: 12
- 应助: 289 (大学生)
- 贵宾: 0.589
- 金币: 24640.4
- 散金: 551
- 红花: 61
- 沙发: 1
- 帖子: 1246
- 在线: 1794.8小时
- 虫号: 149791
- 注册: 2005-12-29
- 性别: GG
- 专业: 污染控制化学
- 管辖: 计算模拟

7楼2012-09-06 16:50:06
匿名
用户注销 (知名作家)
- 应助: 1 (幼儿园)
- 金币: 3228.2
- 散金: 24
- 红花: 1
- 帖子: 6711
- 在线: 384.6小时
- 虫号: 0
- 注册: 2009-11-17
- 专业: 大气环境与全球气候变化
8楼2012-09-06 17:14:57













回复此楼


